Get the free Checklist for Adult Sponsor 1 - Ohio State University - osumarion osu
Show details
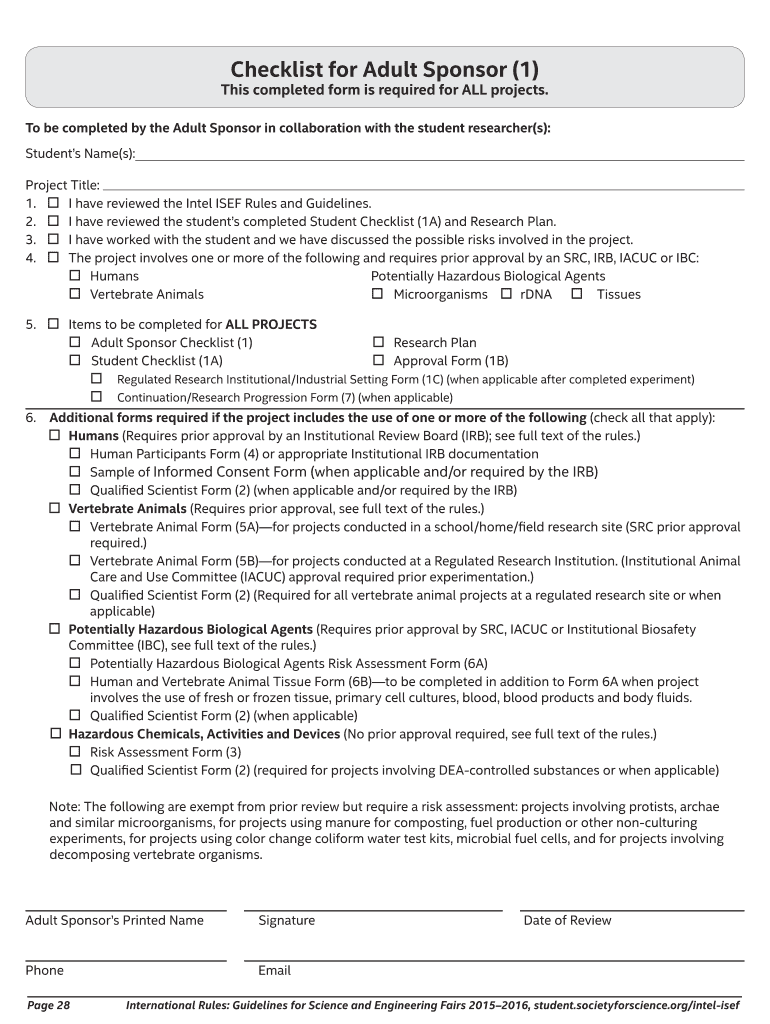
Downloadable PDF. The Intel ISAF Rules Wizard An interactive tool ... http:// apps2.societyforscience.org/ssp-affiliate-fair/. For Intel ISAF questions, contact:.
We are not affiliated with any brand or entity on this form
Get, Create, Make and Sign checklist for adult sponsor
Edit your checklist for adult sponsor form online
Type text, complete fillable fields, insert images, highlight or blackout data for discretion, add comments, and more.
Add your legally-binding signature
Draw or type your signature, upload a signature image, or capture it with your digital camera.
Share your form instantly
Email, fax, or share your checklist for adult sponsor form via URL. You can also download, print, or export forms to your preferred cloud storage service.
How to edit checklist for adult sponsor online
To use the professional PDF editor, follow these steps below:
1
Log in. Click Start Free Trial and create a profile if necessary.
2
Simply add a document. Select Add New from your Dashboard and import a file into the system by uploading it from your device or importing it via the cloud, online, or internal mail. Then click Begin editing.
3
Edit checklist for adult sponsor. Rearrange and rotate pages, add and edit text, and use additional tools. To save changes and return to your Dashboard, click Done. The Documents tab allows you to merge, divide, lock, or unlock files.
4
Save your file. Select it in the list of your records. Then, move the cursor to the right toolbar and choose one of the available exporting methods: save it in multiple formats, download it as a PDF, send it by email, or store it in the cloud.
pdfFiller makes working with documents easier than you could ever imagine. Try it for yourself by creating an account!
Uncompromising security for your PDF editing and eSignature needs
Your private information is safe with pdfFiller. We employ end-to-end encryption, secure cloud storage, and advanced access control to protect your documents and maintain regulatory compliance.
How to fill out checklist for adult sponsor
How to fill out checklist for adult sponsor:
01
Gather all necessary information: Start by collecting the required details for the adult sponsor, such as their full name, address, phone number, and email. Make sure to have this information readily available before starting to fill out the checklist.
02
Verify eligibility criteria: Review the eligibility criteria for adult sponsors to ensure that the individual meets all the necessary qualifications. This can include age requirements, citizenship or residency status, and any background checks or legal clearances needed.
03
Complete personal information: Begin filling out the checklist by providing the adult sponsor's personal information. This may include their date of birth, Social Security number, and any other relevant identification details.
04
Provide contact information: Input the sponsor's contact details accurately, including their address, phone number, and email address. Double-check this information to ensure it is error-free.
05
Indicate relationship to the person for whom sponsorship is being sought: Specify the relationship between the adult sponsor and the individual they are sponsoring. This could include being a parent, legal guardian, family member, or close friend.
06
Confirm financial responsibilities: Provide details on the financial responsibilities the adult sponsor is willing to undertake for the individual they are sponsoring. This can include proof of income, ability to provide housing, and willingness to support the sponsored person financially.
07
Sign and date the checklist: Once all the necessary information has been filled out, the adult sponsor should carefully review the checklist. After ensuring the accuracy of the details provided, they should sign and date the document as an acknowledgment of its completeness.
Who needs checklist for adult sponsor:
01
Individuals seeking to sponsor an adult: Those who wish to sponsor an adult in various circumstances, such as immigration processes or education programs, may need to fill out a checklist for an adult sponsor. This can include individuals who are responsible for adult family members, friends, or individuals in need of support.
02
Organizations or institutions requiring sponsorship: Certain organizations or institutions may require adult sponsors to complete a checklist as part of their application or approval process. This can include government agencies, educational institutions, or non-profit organizations that have specific requirements for adult sponsorship.
03
Legal and immigration authorities: In some cases, legal or immigration authorities may request a checklist for an adult sponsor to ensure that the sponsoring individual meets all necessary criteria and responsibilities. This is often done to maintain transparency and protect the interests of the sponsored person.
Remember to always refer to the specific requirements and guidelines provided by the relevant authority or organization when filling out a checklist for an adult sponsor.
Fill
form
: Try Risk Free
For pdfFiller’s FAQs
Below is a list of the most common customer questions. If you can’t find an answer to your question, please don’t hesitate to reach out to us.
How do I edit checklist for adult sponsor in Chrome?
Install the pdfFiller Google Chrome Extension to edit checklist for adult sponsor and other documents straight from Google search results. When reading documents in Chrome, you may edit them. Create fillable PDFs and update existing PDFs using pdfFiller.
How do I fill out the checklist for adult sponsor form on my smartphone?
You can quickly make and fill out legal forms with the help of the pdfFiller app on your phone. Complete and sign checklist for adult sponsor and other documents on your mobile device using the application. If you want to learn more about how the PDF editor works, go to pdfFiller.com.
How do I edit checklist for adult sponsor on an Android device?
You can make any changes to PDF files, like checklist for adult sponsor, with the help of the pdfFiller Android app. Edit, sign, and send documents right from your phone or tablet. You can use the app to make document management easier wherever you are.
What is checklist for adult sponsor?
The checklist for adult sponsor is a form that must be completed by an adult who agrees to take financial responsibility for a foreign student studying in the US.
Who is required to file checklist for adult sponsor?
The adult sponsor who agrees to financially support a foreign student studying in the US is required to file the checklist.
How to fill out checklist for adult sponsor?
The checklist for adult sponsor must be filled out with accurate and detailed information about the sponsor's financial situation, as well as their agreement to take responsibility for the student.
What is the purpose of checklist for adult sponsor?
The purpose of the checklist for adult sponsor is to ensure that the sponsor is financially capable of supporting the foreign student during their studies in the US.
What information must be reported on checklist for adult sponsor?
The checklist for adult sponsor must include information about the sponsor's income, assets, and liabilities, as well as their agreement to provide financial support for the student.
Fill out your checklist for adult sponsor online with pdfFiller!
pdfFiller is an end-to-end solution for managing, creating, and editing documents and forms in the cloud. Save time and hassle by preparing your tax forms online.
Checklist For Adult Sponsor is not the form you're looking for?Search for another form here.
Relevant keywords
Related Forms
If you believe that this page should be taken down, please follow our DMCA take down process
here
.
This form may include fields for payment information. Data entered in these fields is not covered by PCI DSS compliance.