Form preview

Get the free cos 5x dx by making the substitution u 5x - bauerle math ucsc

Get Form
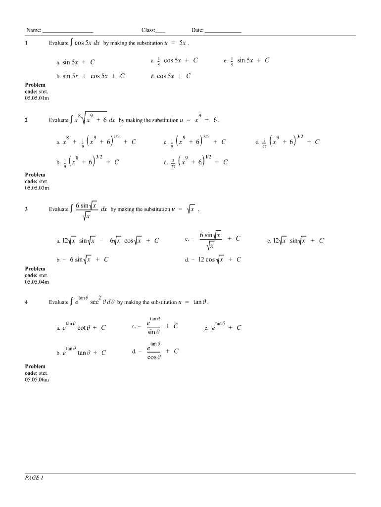
Name: 1 Class: Date: cos 5x DX by making the substitution u 5x. Evaluate 1 5 cos 5x + C a. sin 5x + C. b. sin 5x + cos 5x + C e. 1 5 sin 5x + C d. cos 5x + C Problem code: stet. 05.05.01 m 2 x Evaluate
We are not affiliated with any brand or entity on this form

Get, Create, Make and Sign cos 5x dx by

Edit
Edit your cos 5x dx by form online
Type text, complete fillable fields, insert images, highlight or blackout data for discretion, add comments, and more.
Add
Add your legally-binding signature
Draw or type your signature, upload a signature image, or capture it with your digital camera.
Share
Share your form instantly
Email, fax, or share your cos 5x dx by form via URL. You can also download, print, or export forms to your preferred cloud storage service.

How to edit cos 5x dx by online

9.5
Ease of Setup
pdfFiller User Ratings on G2
9.0
Ease of Use
pdfFiller User Ratings on G2
To use the professional PDF editor, follow these steps:
1
Log in to your account. Start Free Trial and sign up a profile if you don't have one yet.
2
Prepare a file. Use the Add New button to start a new project. Then, using your device, upload your file to the system by importing it from internal mail, the cloud, or adding its URL.
3
Edit cos 5x dx by. Replace text, adding objects, rearranging pages, and more. Then select the Documents tab to combine, divide, lock or unlock the file.
4
Get your file. Select the name of your file in the docs list and choose your preferred exporting method. You can download it as a PDF, save it in another format, send it by email, or transfer it to the cloud.
Dealing with documents is simple using pdfFiller.

Uncompromising security for your PDF editing and eSignature needs

Your private information is safe with pdfFiller. We employ end-to-end encryption, secure cloud storage, and advanced access control to protect your documents and maintain regulatory compliance.
GDPR
AICPA SOC 2
PCI
HIPAA
CCPA
FDA

How to fill out cos 5x dx by

Illustration

How to fill out cos 5x dx by:

01
First, identify the integral given as cos 5x dx.
02
Recognize that this integral represents the antiderivative of the function cos 5x with respect to x.
03
Apply the power rule of integration, which states that the integral of cos ax dx is equal to (1/a) sin ax + C, where C is the constant of integration.
04
Using the power rule, we can rewrite the integral as (1/5) sin 5x + C.
05
Therefore, the answer to filling out cos 5x dx by is (1/5) sin 5x + C, where C represents the constant of integration.

Who needs cos 5x dx by:

01
Students studying calculus or mathematics may encounter the need to solve integrals like cos 5x dx as part of their coursework.
02
Researchers or professionals in fields such as physics or engineering may come across similar integrals when analyzing waveforms or solving differential equations.
03
Anyone interested in understanding and applying the principles of calculus or integration may find the need to calculate integrals like cos 5x dx in various contexts.
Fill form : Try Risk Free
Users Most Likely To Recommend - Summer 2025
Grid Leader in Small-Business - Summer 2025
High Performer - Summer 2025
Regional Leader - Summer 2025
Easiest To Do Business With - Summer 2025
Best Meets Requirements- Summer 2025
Rate the form
4.0
Satisfied
24 Votes

For pdfFiller’s FAQs

Below is a list of the most common customer questions. If you can’t find an answer to your question, please don’t hesitate to reach out to us.

With pdfFiller, you may easily complete and sign cos 5x dx by online. It lets you modify original PDF material, highlight, blackout, erase, and write text anywhere on a page, legally eSign your document, and do a lot more. Create a free account to handle professional papers online.
pdfFiller not only allows you to edit the content of your files but fully rearrange them by changing the number and sequence of pages. Upload your cos 5x dx by to the editor and make any required adjustments in a couple of clicks. The editor enables you to blackout, type, and erase text in PDFs, add images, sticky notes and text boxes, and much more.
Create, modify, and share cos 5x dx by using the pdfFiller iOS app. Easy to install from the Apple Store. You may sign up for a free trial and then purchase a membership.
Fill out your cos 5x dx by online with pdfFiller!

pdfFiller is an end-to-end solution for managing, creating, and editing documents and forms in the cloud. Save time and hassle by preparing your tax forms online.

Get started now
Form preview
If you believe that this page should be taken down, please follow our DMCA take down process here .
This form may include fields for payment information. Data entered in these fields is not covered by PCI DSS compliance.