Get the free computer science (2) sample paper of class 12 - bloompublicschool
Show details
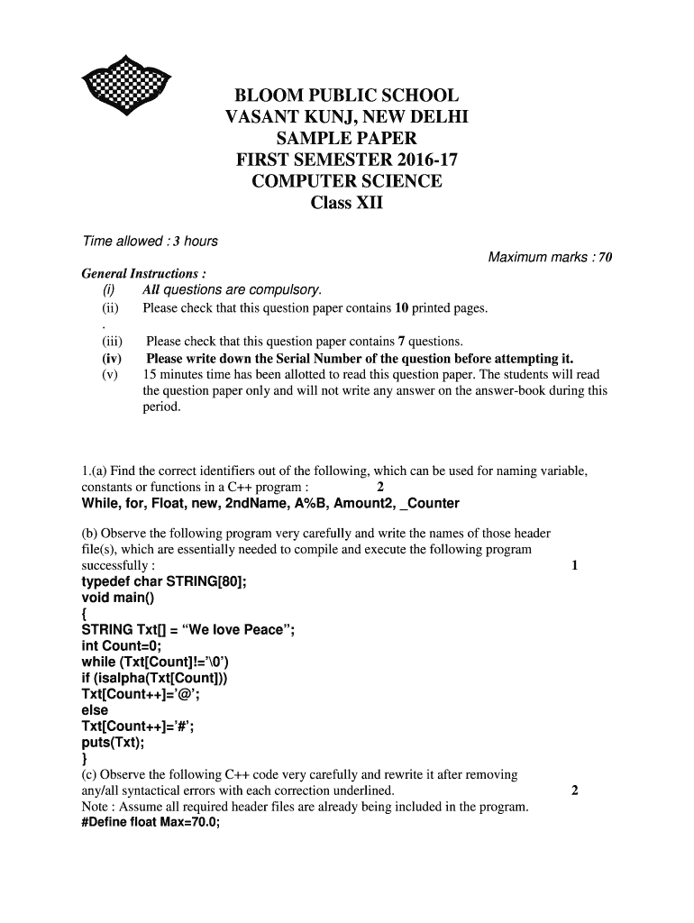
BLOOM PUBLIC SCHOOL
VACANT KU NJ, NEW DELHI
SAMPLE PAPER
FIRST SEMESTER 201617
COMPUTER SCIENCE
Class XII
Time allowed : 3 hours
Maximum marks : 70
General Instructions :
(i)
All questions are compulsory.
(ii)
Please
We are not affiliated with any brand or entity on this form
Get, Create, Make and Sign computer science 2 sample
Edit your computer science 2 sample form online
Type text, complete fillable fields, insert images, highlight or blackout data for discretion, add comments, and more.
Add your legally-binding signature
Draw or type your signature, upload a signature image, or capture it with your digital camera.
Share your form instantly
Email, fax, or share your computer science 2 sample form via URL. You can also download, print, or export forms to your preferred cloud storage service.
Editing computer science 2 sample online
To use our professional PDF editor, follow these steps:
1
Set up an account. If you are a new user, click Start Free Trial and establish a profile.
2
Prepare a file. Use the Add New button to start a new project. Then, using your device, upload your file to the system by importing it from internal mail, the cloud, or adding its URL.
3
Edit computer science 2 sample. Text may be added and replaced, new objects can be included, pages can be rearranged, watermarks and page numbers can be added, and so on. When you're done editing, click Done and then go to the Documents tab to combine, divide, lock, or unlock the file.
4
Get your file. When you find your file in the docs list, click on its name and choose how you want to save it. To get the PDF, you can save it, send an email with it, or move it to the cloud.
pdfFiller makes dealing with documents a breeze. Create an account to find out!
Uncompromising security for your PDF editing and eSignature needs
Your private information is safe with pdfFiller. We employ end-to-end encryption, secure cloud storage, and advanced access control to protect your documents and maintain regulatory compliance.
How to fill out computer science 2 sample
How to fill out computer science 2 sample
01
Read the instructions carefully to understand the requirements of the computer science 2 sample.
02
Gather all the necessary information and resources needed to complete the sample.
03
Start by outlining the structure or format of your answer.
04
Begin filling out each section of the computer science 2 sample one by one, providing relevant and detailed information.
05
Make sure to include any supporting examples or references that may be required.
06
Proofread and revise your answers for any grammatical or typographical errors.
07
Double-check that you have answered all the questions or prompts provided in the computer science 2 sample.
08
Format the sample according to the specified guidelines or instructions.
09
Review your completed sample to ensure accuracy and coherence before submitting it.
10
Submit the filled-out computer science 2 sample on time and according to the specified submission method.
Who needs computer science 2 sample?
01
Computer science students who are studying or taking a course in computer science 2 may need the computer science 2 sample as a practical exercise or evaluation.
02
Educational institutions or instructors who require students to complete a computer science 2 sample as part of the curriculum or assessment process would also need it.
Fill
form
: Try Risk Free
For pdfFiller’s FAQs
Below is a list of the most common customer questions. If you can’t find an answer to your question, please don’t hesitate to reach out to us.
How can I get computer science 2 sample?
The pdfFiller premium subscription gives you access to a large library of fillable forms (over 25 million fillable templates) that you can download, fill out, print, and sign. In the library, you'll have no problem discovering state-specific computer science 2 sample and other forms. Find the template you want and tweak it with powerful editing tools.
How do I fill out the computer science 2 sample form on my smartphone?
Use the pdfFiller mobile app to fill out and sign computer science 2 sample on your phone or tablet. Visit our website to learn more about our mobile apps, how they work, and how to get started.
How do I fill out computer science 2 sample on an Android device?
Use the pdfFiller Android app to finish your computer science 2 sample and other documents on your Android phone. The app has all the features you need to manage your documents, like editing content, eSigning, annotating, sharing files, and more. At any time, as long as there is an internet connection.
What is computer science 2 sample?
Computer Science 2 sample is a set of exercises and problems designed to test a student's understanding and knowledge of computer science concepts.
Who is required to file computer science 2 sample?
Computer science students and professionals are required to complete and submit computer science 2 samples.
How to fill out computer science 2 sample?
To fill out a computer science 2 sample, one must carefully read and follow the instructions provided, solve the given problems, and write down the solutions.
What is the purpose of computer science 2 sample?
The purpose of computer science 2 sample is to assess and evaluate a person's proficiency in computer science and problem-solving skills.
What information must be reported on computer science 2 sample?
Information such as solutions to problems, code snippets, explanations, and any other required details must be reported on a computer science 2 sample.
Fill out your computer science 2 sample online with pdfFiller!
pdfFiller is an end-to-end solution for managing, creating, and editing documents and forms in the cloud. Save time and hassle by preparing your tax forms online.
Computer Science 2 Sample is not the form you're looking for?Search for another form here.
Relevant keywords
Related Forms
If you believe that this page should be taken down, please follow our DMCA take down process
here
.
This form may include fields for payment information. Data entered in these fields is not covered by PCI DSS compliance.