Form preview

Get the free CPT Form - College of Engineering - Wayne State University - engineering wayne

Get Form
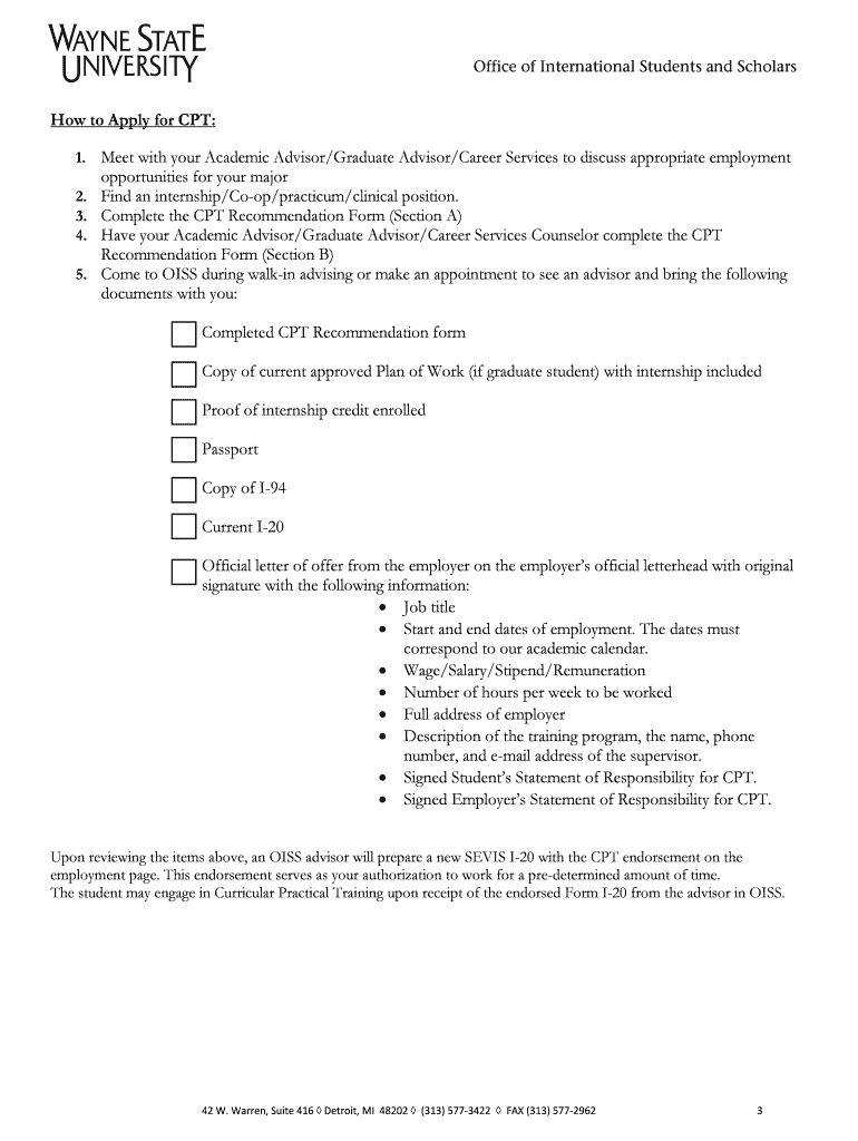
Office of International Students and Scholarship to Apply for CPT: 1. Meet with your Academic Advisor/Graduate Advisor/Career Services to discuss appropriate employment opportunities for your major 2.
We are not affiliated with any brand or entity on this form

Get, Create, Make and Sign cpt form - college

Edit
Edit your cpt form - college form online
Type text, complete fillable fields, insert images, highlight or blackout data for discretion, add comments, and more.
Add
Add your legally-binding signature
Draw or type your signature, upload a signature image, or capture it with your digital camera.
Share
Share your form instantly
Email, fax, or share your cpt form - college form via URL. You can also download, print, or export forms to your preferred cloud storage service.

How to edit cpt form - college online

9.5
Ease of Setup
pdfFiller User Ratings on G2
9.0
Ease of Use
pdfFiller User Ratings on G2
Use the instructions below to start using our professional PDF editor:
1
Create an account. Begin by choosing Start Free Trial and, if you are a new user, establish a profile.
2
Prepare a file. Use the Add New button. Then upload your file to the system from your device, importing it from internal mail, the cloud, or by adding its URL.
3
Edit cpt form - college. Rearrange and rotate pages, add and edit text, and use additional tools. To save changes and return to your Dashboard, click Done. The Documents tab allows you to merge, divide, lock, or unlock files.
4
Get your file. Select your file from the documents list and pick your export method. You may save it as a PDF, email it, or upload it to the cloud.
With pdfFiller, dealing with documents is always straightforward. Try it right now!

Uncompromising security for your PDF editing and eSignature needs

Your private information is safe with pdfFiller. We employ end-to-end encryption, secure cloud storage, and advanced access control to protect your documents and maintain regulatory compliance.
GDPR
AICPA SOC 2
PCI
HIPAA
CCPA
FDA

How to fill out cpt form - college

Illustration

How to fill out cpt form - college

01
To fill out a CPT form for college, follow these steps:
02
Obtain a copy of the CPT form from your college's administration office or website.
03
Read the instructions and familiarize yourself with the purpose and requirements of the form.
04
Provide your personal information such as name, contact details, and student ID number.
05
Indicate the course for which you require CPT authorization.
06
Fill in your expected employment start and end dates.
07
If applicable, provide details of your employer, including the company name, address, and contact information.
08
Clearly state the job title or position you will hold during the CPT period.
09
Attach the necessary supporting documents, which may include an offer letter from the employer or a training plan.
10
Double-check all the entered information for accuracy and completeness.
11
Submit the completed form along with the supporting documents to the designated college authority.
12
Follow up with the college administration to ensure the processing of your CPT form.
13
Wait for confirmation or approval of your CPT request from the college.
14
Note: The specific steps and requirements may vary depending on your college's policies and procedures. It is advisable to consult with your college advisor or the administration office for any additional guidance or specific instructions.

Who needs cpt form - college?

01
The CPT form is usually required by college students who are seeking to participate in Curricular Practical Training (CPT) programs.
02
CPT is a work authorization program that allows eligible international students to gain practical work experience related to their field of study while maintaining their F-1 visa status.
03
If you are an international student enrolled in a college or university program in the United States and wish to engage in off-campus paid or unpaid employment for academic credit, you will likely need to fill out a CPT form.
04
It is essential to consult your college's international student services or a designated advisor to determine if you are eligible for CPT and the specific requirements and procedures to follow.
Fill form : Try Risk Free
Users Most Likely To Recommend - Summer 2025
Grid Leader in Small-Business - Summer 2025
High Performer - Summer 2025
Regional Leader - Summer 2025
Easiest To Do Business With - Summer 2025
Best Meets Requirements- Summer 2025
Rate the form
4.9
Satisfied
30 Votes

For pdfFiller’s FAQs

Below is a list of the most common customer questions. If you can’t find an answer to your question, please don’t hesitate to reach out to us.

The premium pdfFiller subscription gives you access to over 25M fillable templates that you can download, fill out, print, and sign. The library has state-specific cpt form - college and other forms. Find the template you need and change it using powerful tools.
Adding the pdfFiller Google Chrome Extension to your web browser will allow you to start editing cpt form - college and other documents right away when you search for them on a Google page. People who use Chrome can use the service to make changes to their files while they are on the Chrome browser. pdfFiller lets you make fillable documents and make changes to existing PDFs from any internet-connected device.
Use the pdfFiller mobile app to create, edit, and share cpt form - college from your iOS device. Install it from the Apple Store in seconds. You can benefit from a free trial and choose a subscription that suits your needs.
Fill out your cpt form - college online with pdfFiller!

pdfFiller is an end-to-end solution for managing, creating, and editing documents and forms in the cloud. Save time and hassle by preparing your tax forms online.

Get started now
Form preview
If you believe that this page should be taken down, please follow our DMCA take down process here .
This form may include fields for payment information. Data entered in these fields is not covered by PCI DSS compliance.