Get the free CATALOG & STUDENT HANDBOOK
Show details
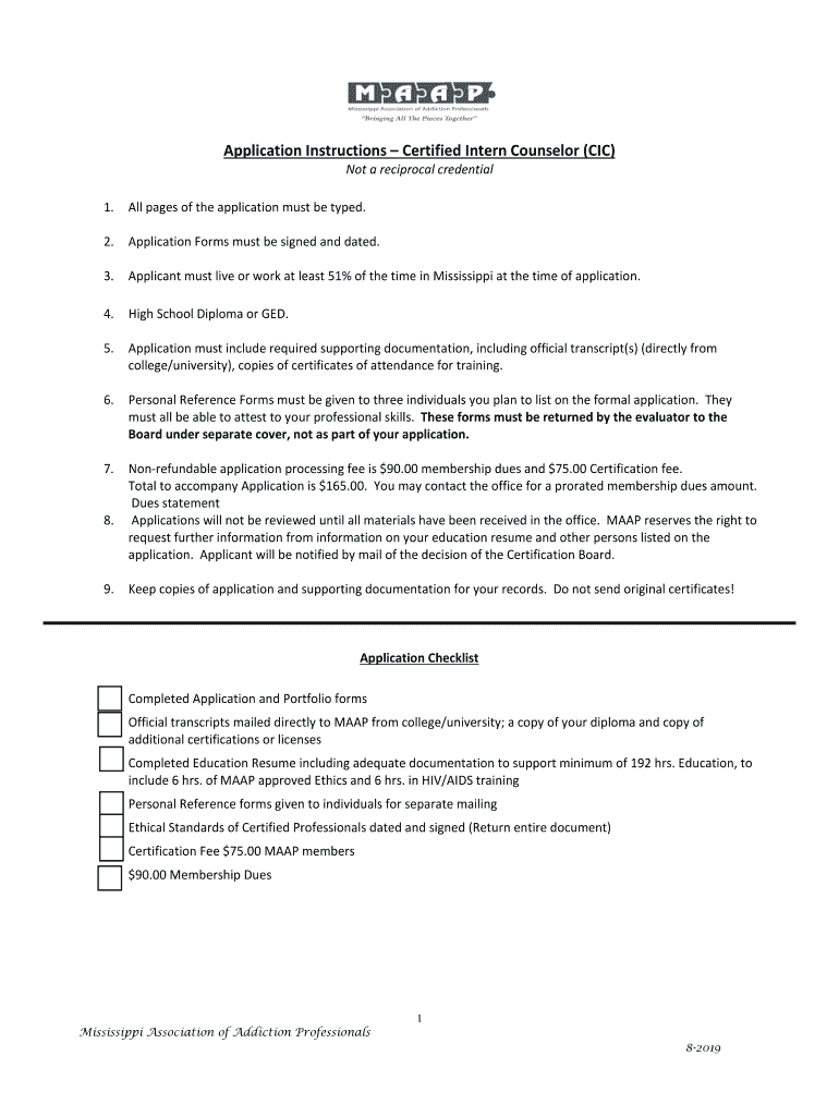
Application Instructions Certified Intern Counselor (CIC) Not a reciprocal credential1. All pages of the application must be typed.2. Application Forms must be signed and dated.3. Applicant must live
We are not affiliated with any brand or entity on this form
Get, Create, Make and Sign catalog ampampamp student handbook
Edit your catalog ampampamp student handbook form online
Type text, complete fillable fields, insert images, highlight or blackout data for discretion, add comments, and more.
Add your legally-binding signature
Draw or type your signature, upload a signature image, or capture it with your digital camera.
Share your form instantly
Email, fax, or share your catalog ampampamp student handbook form via URL. You can also download, print, or export forms to your preferred cloud storage service.
Editing catalog ampampamp student handbook online
To use the services of a skilled PDF editor, follow these steps:
1
Sign into your account. If you don't have a profile yet, click Start Free Trial and sign up for one.
2
Prepare a file. Use the Add New button. Then upload your file to the system from your device, importing it from internal mail, the cloud, or by adding its URL.
3
Edit catalog ampampamp student handbook. Add and change text, add new objects, move pages, add watermarks and page numbers, and more. Then click Done when you're done editing and go to the Documents tab to merge or split the file. If you want to lock or unlock the file, click the lock or unlock button.
4
Get your file. Select your file from the documents list and pick your export method. You may save it as a PDF, email it, or upload it to the cloud.
pdfFiller makes dealing with documents a breeze. Create an account to find out!
Uncompromising security for your PDF editing and eSignature needs
Your private information is safe with pdfFiller. We employ end-to-end encryption, secure cloud storage, and advanced access control to protect your documents and maintain regulatory compliance.
How to fill out catalog ampampamp student handbook
How to fill out catalog ampampamp student handbook
01
To fill out the catalog and student handbook, follow these steps:
02
Start by gathering all the necessary information and resources needed to complete the catalog and student handbook.
03
Open the catalog and student handbook template or document provided.
04
Begin by entering the basic information such as the title, date, and any relevant contact information.
05
Proceed to the table of contents and ensure all the sections and subsections are correctly labeled.
06
For each section, carefully review the content and make any necessary updates or additions.
07
Pay attention to any formatting guidelines provided and ensure that the text is clear and easy to read.
08
Include any required policies, procedures, or guidelines specific to the catalog and student handbook.
09
Check for consistency in formatting, language, and style throughout the document.
10
Proofread the entire catalog and student handbook for any typos, grammatical errors, or inconsistencies.
11
Save the completed catalog and student handbook document in the desired format or submit it as instructed.
12
If required, print copies of the catalog and student handbook for distribution.
13
Review the final version for accuracy and completeness before sharing it with the intended audience.
Who needs catalog ampampamp student handbook?
01
The catalog and student handbook is needed by educational institutions such as schools, colleges, and universities.
02
Students and parents also benefit from having access to the catalog and student handbook as it provides important information about courses, programs, policies, and procedures.
03
Faculty and staff members may need the catalog and student handbook to understand and enforce institutional guidelines and regulations.
04
Prospective students and their families often rely on the catalog and student handbook to make informed decisions about educational institutions.
05
Government agencies and accreditation bodies may require the catalog and student handbook as part of their evaluation and approval process.
Fill
form
: Try Risk Free
For pdfFiller’s FAQs
Below is a list of the most common customer questions. If you can’t find an answer to your question, please don’t hesitate to reach out to us.
Where do I find catalog ampampamp student handbook?
It's simple with pdfFiller, a full online document management tool. Access our huge online form collection (over 25M fillable forms are accessible) and find the catalog ampampamp student handbook in seconds. Open it immediately and begin modifying it with powerful editing options.
How do I fill out the catalog ampampamp student handbook form on my smartphone?
Use the pdfFiller mobile app to complete and sign catalog ampampamp student handbook on your mobile device. Visit our web page (https://edit-pdf-ios-android.pdffiller.com/) to learn more about our mobile applications, the capabilities you’ll have access to, and the steps to take to get up and running.
How can I fill out catalog ampampamp student handbook on an iOS device?
pdfFiller has an iOS app that lets you fill out documents on your phone. A subscription to the service means you can make an account or log in to one you already have. As soon as the registration process is done, upload your catalog ampampamp student handbook. You can now use pdfFiller's more advanced features, like adding fillable fields and eSigning documents, as well as accessing them from any device, no matter where you are in the world.
What is catalog ampampamp student handbook?
The catalog and student handbook is a document that provides information about the courses, programs, policies, and procedures of an educational institution.
Who is required to file catalog ampampamp student handbook?
Educational institutions are required to file the catalog and student handbook.
How to fill out catalog ampampamp student handbook?
The catalog and student handbook can be filled out by including information about courses, programs, policies, and procedures in a structured manner.
What is the purpose of catalog ampampamp student handbook?
The purpose of the catalog and student handbook is to inform students, faculty, and staff about the offerings and policies of the educational institution.
What information must be reported on catalog ampampamp student handbook?
The catalog and student handbook must include information about courses, programs, policies, and procedures of the educational institution.
Fill out your catalog ampampamp student handbook online with pdfFiller!
pdfFiller is an end-to-end solution for managing, creating, and editing documents and forms in the cloud. Save time and hassle by preparing your tax forms online.
Catalog Ampampamp Student Handbook is not the form you're looking for?Search for another form here.
Relevant keywords
Related Forms
If you believe that this page should be taken down, please follow our DMCA take down process
here
.
This form may include fields for payment information. Data entered in these fields is not covered by PCI DSS compliance.