Get the free COPYRIGHT AND TRADEMARK LICENSE AGREEMENT dated EFFECTIVE DATE
Show details
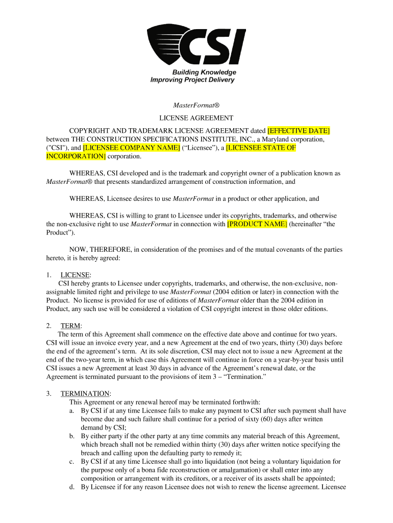
MasterFormat LICENSE AGREEMENT COPYRIGHT AND TRADEMARK LICENSE AGREEMENT dated EFFECTIVE DATE between THE CONSTRUCTION SPECIFICATIONS INSTITUTE, INC., a Maryland corporation, (“CSI “), and LICENSEE
We are not affiliated with any brand or entity on this form
Get, Create, Make and Sign copyright and trademark license
Edit your copyright and trademark license form online
Type text, complete fillable fields, insert images, highlight or blackout data for discretion, add comments, and more.
Add your legally-binding signature
Draw or type your signature, upload a signature image, or capture it with your digital camera.
Share your form instantly
Email, fax, or share your copyright and trademark license form via URL. You can also download, print, or export forms to your preferred cloud storage service.
How to edit copyright and trademark license online
Follow the steps down below to benefit from a competent PDF editor:
1
Check your account. If you don't have a profile yet, click Start Free Trial and sign up for one.
2
Simply add a document. Select Add New from your Dashboard and import a file into the system by uploading it from your device or importing it via the cloud, online, or internal mail. Then click Begin editing.
3
Edit copyright and trademark license. Add and replace text, insert new objects, rearrange pages, add watermarks and page numbers, and more. Click Done when you are finished editing and go to the Documents tab to merge, split, lock or unlock the file.
4
Save your file. Select it from your records list. Then, click the right toolbar and select one of the various exporting options: save in numerous formats, download as PDF, email, or cloud.
The use of pdfFiller makes dealing with documents straightforward.
Uncompromising security for your PDF editing and eSignature needs
Your private information is safe with pdfFiller. We employ end-to-end encryption, secure cloud storage, and advanced access control to protect your documents and maintain regulatory compliance.
How to fill out copyright and trademark license
How to fill out copyright and trademark license
01
Begin by gathering all the necessary documents and information related to the copyright or trademark you wish to license.
02
Identify the specific intellectual property being licensed and the terms of use or restrictions that should be included in the license agreement.
03
Determine the scope of the license, whether it is an exclusive or non-exclusive license, and for what purpose it will be granted.
04
Consult with legal experts or intellectual property attorneys to ensure compliance with local copyright and trademark laws.
05
Prepare a comprehensive license agreement that clearly outlines the rights and responsibilities of both parties involved.
06
Include specific details such as the duration of the license, any royalty or payment obligations, and any conditions for termination or renewal.
07
Review the license agreement carefully to ensure accuracy and clarity, and make any necessary revisions.
08
Execute the license agreement by obtaining signatures from both parties involved in the licensing agreement.
09
Keep copies of the license agreement for record-keeping purposes and to refer back to in the future.
10
Monitor and enforce the terms of the license agreement to protect your intellectual property rights.
Who needs copyright and trademark license?
01
Anyone who creates or owns original artistic, literary, or intellectual works may need a copyright license to protect their creations.
02
Similarly, individuals or businesses that have developed unique brands, logos, or product names may require a trademark license to safeguard their intellectual property.
03
Copyright and trademark licenses are also commonly used in business transactions, such as franchising, licensing agreements, and collaborations, to ensure legal protection and permission for the use of intellectual property.
Fill
form
: Try Risk Free
For pdfFiller’s FAQs
Below is a list of the most common customer questions. If you can’t find an answer to your question, please don’t hesitate to reach out to us.
How do I edit copyright and trademark license online?
The editing procedure is simple with pdfFiller. Open your copyright and trademark license in the editor, which is quite user-friendly. You may use it to blackout, redact, write, and erase text, add photos, draw arrows and lines, set sticky notes and text boxes, and much more.
How can I fill out copyright and trademark license on an iOS device?
Install the pdfFiller app on your iOS device to fill out papers. If you have a subscription to the service, create an account or log in to an existing one. After completing the registration process, upload your copyright and trademark license. You may now use pdfFiller's advanced features, such as adding fillable fields and eSigning documents, and accessing them from any device, wherever you are.
How do I fill out copyright and trademark license on an Android device?
Use the pdfFiller mobile app and complete your copyright and trademark license and other documents on your Android device. The app provides you with all essential document management features, such as editing content, eSigning, annotating, sharing files, etc. You will have access to your documents at any time, as long as there is an internet connection.
What is copyright and trademark license?
A copyright license is a legal agreement that allows the licensee to use the copyrighted material of the licensor under specified conditions. A trademark license permits the licensee to use the trademark of the licensor for their goods or services, often to avoid trademark infringement.
Who is required to file copyright and trademark license?
Creators, artists, authors, businesses, and anyone who wishes to use copyrighted material or trademarks belonging to others are required to file copyright and trademark licenses.
How to fill out copyright and trademark license?
To fill out a copyright and trademark license, one must provide detailed information including the names of the licensor and licensee, the description of the work or trademark, the terms of use, duration of the license, and any royalties or payment terms.
What is the purpose of copyright and trademark license?
The purpose of a copyright and trademark license is to protect the intellectual property rights of the licensor while allowing the licensee the legal right to use the copyrighted material or trademark under agreed conditions.
What information must be reported on copyright and trademark license?
The information that must be reported includes the identities of the parties involved, description of the intellectual property, scope of the license, payment terms, duration, and any other specific conditions.
Fill out your copyright and trademark license online with pdfFiller!
pdfFiller is an end-to-end solution for managing, creating, and editing documents and forms in the cloud. Save time and hassle by preparing your tax forms online.
Copyright And Trademark License is not the form you're looking for?Search for another form here.
Relevant keywords
Related Forms
If you believe that this page should be taken down, please follow our DMCA take down process
here
.
This form may include fields for payment information. Data entered in these fields is not covered by PCI DSS compliance.