Get the free confidentiality agreement - CBCDRColdwell Banker ...
Show details
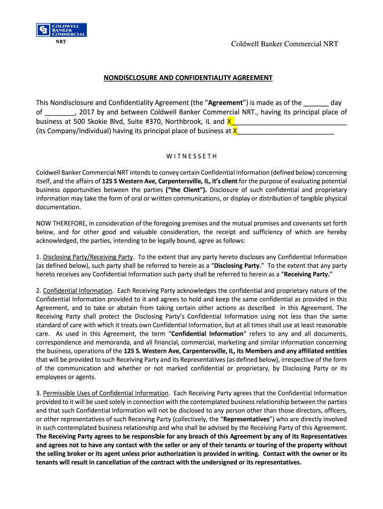
Caldwell Banker Commercial NONDISCLOSURE AND CONFIDENTIALITY AGREEMENT This Nondisclosure and Confidentiality Agreement (the Agreement) is made as of the day of, 2017 by and between Caldwell Banker
We are not affiliated with any brand or entity on this form
Get, Create, Make and Sign confidentiality agreement - cbcdrcoldwell
Edit your confidentiality agreement - cbcdrcoldwell form online
Type text, complete fillable fields, insert images, highlight or blackout data for discretion, add comments, and more.
Add your legally-binding signature
Draw or type your signature, upload a signature image, or capture it with your digital camera.
Share your form instantly
Email, fax, or share your confidentiality agreement - cbcdrcoldwell form via URL. You can also download, print, or export forms to your preferred cloud storage service.
How to edit confidentiality agreement - cbcdrcoldwell online
To use the professional PDF editor, follow these steps:
1
Register the account. Begin by clicking Start Free Trial and create a profile if you are a new user.
2
Prepare a file. Use the Add New button. Then upload your file to the system from your device, importing it from internal mail, the cloud, or by adding its URL.
3
Edit confidentiality agreement - cbcdrcoldwell. Add and change text, add new objects, move pages, add watermarks and page numbers, and more. Then click Done when you're done editing and go to the Documents tab to merge or split the file. If you want to lock or unlock the file, click the lock or unlock button.
4
Save your file. Select it from your records list. Then, click the right toolbar and select one of the various exporting options: save in numerous formats, download as PDF, email, or cloud.
With pdfFiller, it's always easy to work with documents. Try it out!
Uncompromising security for your PDF editing and eSignature needs
Your private information is safe with pdfFiller. We employ end-to-end encryption, secure cloud storage, and advanced access control to protect your documents and maintain regulatory compliance.
How to fill out confidentiality agreement - cbcdrcoldwell
How to fill out confidentiality agreement - cbcdrcoldwell
01
To fill out a confidentiality agreement, follow these steps:
02
Start by writing the date at the top of the agreement.
03
Identify the parties involved in the agreement, including their full names and addresses.
04
Clearly state the purpose of the agreement and the confidential information that will be protected.
05
Determine the duration of the confidentiality obligations. Specify if the agreement will expire after a certain period of time or if it will continue indefinitely.
06
Define the scope of the agreement by specifying what information is considered confidential and what is not.
07
Include any exceptions or limitations to the confidentiality obligations, such as if the information becomes publicly available.
08
Specify the consequences of breaching the agreement, including any legal actions that can be taken.
09
Sign and date the agreement, ensuring that all parties involved do the same.
10
Store the signed agreement in a secure location for future reference.
Who needs confidentiality agreement - cbcdrcoldwell?
01
Confidentiality agreements are commonly used by businesses and individuals who want to protect sensitive information from unauthorized disclosure.
02
Some examples of who may need a confidentiality agreement include:
03
- Employers and employees when sharing trade secrets or proprietary information.
04
- Business partners or joint venture parties who need to exchange confidential business information.
05
- Freelancers or contractors who have access to confidential client information.
06
- Inventors or creators who want to safeguard their intellectual property.
07
- Parties involved in mergers or acquisitions to ensure confidentiality during the negotiation process.
08
- Healthcare professionals who need to maintain patient confidentiality.
09
- Any individual or organization that wants to protect sensitive information from being shared without permission.
Fill
form
: Try Risk Free
For pdfFiller’s FAQs
Below is a list of the most common customer questions. If you can’t find an answer to your question, please don’t hesitate to reach out to us.
Can I create an electronic signature for the confidentiality agreement - cbcdrcoldwell in Chrome?
You certainly can. You get not just a feature-rich PDF editor and fillable form builder with pdfFiller, but also a robust e-signature solution that you can add right to your Chrome browser. You may use our addon to produce a legally enforceable eSignature by typing, sketching, or photographing your signature with your webcam. Choose your preferred method and eSign your confidentiality agreement - cbcdrcoldwell in minutes.
Can I create an electronic signature for signing my confidentiality agreement - cbcdrcoldwell in Gmail?
You can easily create your eSignature with pdfFiller and then eSign your confidentiality agreement - cbcdrcoldwell directly from your inbox with the help of pdfFiller’s add-on for Gmail. Please note that you must register for an account in order to save your signatures and signed documents.
How can I edit confidentiality agreement - cbcdrcoldwell on a smartphone?
Using pdfFiller's mobile-native applications for iOS and Android is the simplest method to edit documents on a mobile device. You may get them from the Apple App Store and Google Play, respectively. More information on the apps may be found here. Install the program and log in to begin editing confidentiality agreement - cbcdrcoldwell.
What is confidentiality agreement - cbcdrcoldwell?
A confidentiality agreement is a legal contract that outlines sensitive information that the parties wish to share with each other but wish to restrict access to by third parties.
Who is required to file confidentiality agreement - cbcdrcoldwell?
Parties involved in a business transaction or partnership are required to file a confidentiality agreement.
How to fill out confidentiality agreement - cbcdrcoldwell?
Confidentiality agreements can be filled out by including the names of the parties involved, the sensitive information to be protected, the duration of the agreement, and any exceptions to confidentiality.
What is the purpose of confidentiality agreement - cbcdrcoldwell?
The purpose of a confidentiality agreement is to protect sensitive information from disclosure to third parties.
What information must be reported on confidentiality agreement - cbcdrcoldwell?
The confidentiality agreement must report the names of the parties involved, the specific information to be protected, and any exceptions to confidentiality.
Fill out your confidentiality agreement - cbcdrcoldwell online with pdfFiller!
pdfFiller is an end-to-end solution for managing, creating, and editing documents and forms in the cloud. Save time and hassle by preparing your tax forms online.
Confidentiality Agreement - Cbcdrcoldwell is not the form you're looking for?Search for another form here.
Relevant keywords
Related Forms
If you believe that this page should be taken down, please follow our DMCA take down process
here
.
This form may include fields for payment information. Data entered in these fields is not covered by PCI DSS compliance.