Get the free PDF The Colorado Cultural Resources Inventory forms for ... - CDOT
Show details
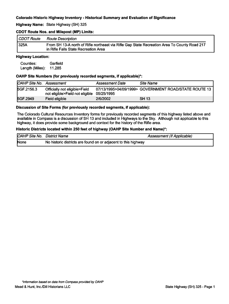
Colorado Historic Highway Inventory Historical Summary and Evaluation of Significance Highway Name: State Highway (SH) 325 DOT Route Nos. And Milepost (MP) Limits: DOT Reroute Description325AFrom
We are not affiliated with any brand or entity on this form
Get, Create, Make and Sign pdf form colorado cultural
Edit your pdf form colorado cultural form online
Type text, complete fillable fields, insert images, highlight or blackout data for discretion, add comments, and more.
Add your legally-binding signature
Draw or type your signature, upload a signature image, or capture it with your digital camera.
Share your form instantly
Email, fax, or share your pdf form colorado cultural form via URL. You can also download, print, or export forms to your preferred cloud storage service.
How to edit pdf form colorado cultural online
Follow the steps below to use a professional PDF editor:
1
Log in. Click Start Free Trial and create a profile if necessary.
2
Prepare a file. Use the Add New button. Then upload your file to the system from your device, importing it from internal mail, the cloud, or by adding its URL.
3
Edit pdf form colorado cultural. Replace text, adding objects, rearranging pages, and more. Then select the Documents tab to combine, divide, lock or unlock the file.
4
Save your file. Select it in the list of your records. Then, move the cursor to the right toolbar and choose one of the available exporting methods: save it in multiple formats, download it as a PDF, send it by email, or store it in the cloud.
pdfFiller makes working with documents easier than you could ever imagine. Register for an account and see for yourself!
Uncompromising security for your PDF editing and eSignature needs
Your private information is safe with pdfFiller. We employ end-to-end encryption, secure cloud storage, and advanced access control to protect your documents and maintain regulatory compliance.
How to fill out pdf form colorado cultural
How to fill out pdf form colorado cultural
01
Step 1: Download the PDF form colorado cultural from the official website.
02
Step 2: Open the PDF form using a PDF reader software.
03
Step 3: Read the instructions provided on the form carefully.
04
Step 4: Fill in the required information in each field of the form.
05
Step 5: Use the appropriate color codes for filling out the form if specified.
06
Step 6: Review the filled form to ensure all the information is accurate.
07
Step 7: Save a copy of the filled form for your records.
08
Step 8: Print the filled form if you need to submit a physical copy.
09
Step 9: Sign the form if required.
10
Step 10: Submit the filled form as per the instructions mentioned on the form or the official website.
Who needs pdf form colorado cultural?
01
Individuals or organizations who are required to provide information for Colorado cultural purposes need the PDF form Colorado Cultural. This form is relevant for people involved in cultural activities, events, or organizations in Colorado that require documentation or data related to their cultural activities.
Fill
form
: Try Risk Free
For pdfFiller’s FAQs
Below is a list of the most common customer questions. If you can’t find an answer to your question, please don’t hesitate to reach out to us.
Can I create an eSignature for the pdf form colorado cultural in Gmail?
With pdfFiller's add-on, you may upload, type, or draw a signature in Gmail. You can eSign your pdf form colorado cultural and other papers directly in your mailbox with pdfFiller. To preserve signed papers and your personal signatures, create an account.
How do I fill out the pdf form colorado cultural form on my smartphone?
Use the pdfFiller mobile app to complete and sign pdf form colorado cultural on your mobile device. Visit our web page (https://edit-pdf-ios-android.pdffiller.com/) to learn more about our mobile applications, the capabilities you’ll have access to, and the steps to take to get up and running.
Can I edit pdf form colorado cultural on an Android device?
You can make any changes to PDF files, like pdf form colorado cultural, with the help of the pdfFiller Android app. Edit, sign, and send documents right from your phone or tablet. You can use the app to make document management easier wherever you are.
What is pdf form colorado cultural?
The PDF form Colorado Cultural is a document used for reporting and documenting transactions or activities related to cultural organizations in Colorado.
Who is required to file pdf form colorado cultural?
Organizations and entities that engage in cultural activities in Colorado and meet certain criteria are required to file the Colorado Cultural PDF form.
How to fill out pdf form colorado cultural?
To fill out the Colorado Cultural PDF form, download the form from the official website, provide the required information accurately, and submit it by the deadline specified.
What is the purpose of pdf form colorado cultural?
The purpose of the PDF form Colorado Cultural is to collect data on cultural activities and organizations, which aids in policy making and funding allocation within the state.
What information must be reported on pdf form colorado cultural?
The information required includes organizational details, financial activities, event descriptions, and any relevant metrics relating to cultural contributions.
Fill out your pdf form colorado cultural online with pdfFiller!
pdfFiller is an end-to-end solution for managing, creating, and editing documents and forms in the cloud. Save time and hassle by preparing your tax forms online.
Pdf Form Colorado Cultural is not the form you're looking for?Search for another form here.
Relevant keywords
Related Forms
If you believe that this page should be taken down, please follow our DMCA take down process
here
.
This form may include fields for payment information. Data entered in these fields is not covered by PCI DSS compliance.