Form preview

Get the free Condo for Rent - 700 S Harbour Island Blvd Unit 624, Tampa ...

Get Form
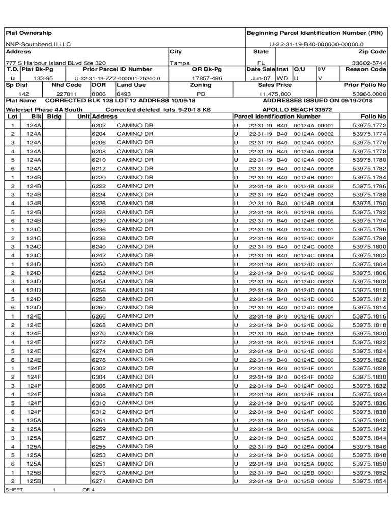
Plat OwnershipBeginning Parcel Identification Number (PIN)NNPSouthbend II LLC Address 777 S Harbor Island Blvd Ste 320 T.D. Plat BKP Prior Parcel ID Number USP Dist13395 U223119ZZZ00000175240.0 NHD
We are not affiliated with any brand or entity on this form

Get, Create, Make and Sign condo for rent

Edit
Edit your condo for rent form online
Type text, complete fillable fields, insert images, highlight or blackout data for discretion, add comments, and more.
Add
Add your legally-binding signature
Draw or type your signature, upload a signature image, or capture it with your digital camera.
Share
Share your form instantly
Email, fax, or share your condo for rent form via URL. You can also download, print, or export forms to your preferred cloud storage service.

Editing condo for rent online

9.5
Ease of Setup
pdfFiller User Ratings on G2
9.0
Ease of Use
pdfFiller User Ratings on G2
To use our professional PDF editor, follow these steps:
1
Log in. Click Start Free Trial and create a profile if necessary.
2
Simply add a document. Select Add New from your Dashboard and import a file into the system by uploading it from your device or importing it via the cloud, online, or internal mail. Then click Begin editing.
3
Edit condo for rent. Add and change text, add new objects, move pages, add watermarks and page numbers, and more. Then click Done when you're done editing and go to the Documents tab to merge or split the file. If you want to lock or unlock the file, click the lock or unlock button.
4
Save your file. Select it in the list of your records. Then, move the cursor to the right toolbar and choose one of the available exporting methods: save it in multiple formats, download it as a PDF, send it by email, or store it in the cloud.
pdfFiller makes working with documents easier than you could ever imagine. Create an account to find out for yourself how it works!

Uncompromising security for your PDF editing and eSignature needs

Your private information is safe with pdfFiller. We employ end-to-end encryption, secure cloud storage, and advanced access control to protect your documents and maintain regulatory compliance.
GDPR
AICPA SOC 2
PCI
HIPAA
CCPA
FDA

How to fill out condo for rent

Illustration

How to fill out condo for rent

01
Start by gathering all the necessary documents such as identification proof, employment or income proof, and references.
02
Research about available condos for rent in your desired location and contact the relevant rental agencies or landlords.
03
Schedule appointments to view the condos and ask any specific questions about the rental terms and conditions, amenities, and maintenance responsibilities.
04
Once you find a suitable condo, carefully read and understand the lease agreement provided by the landlord or rental agency.
05
Fill out all the required information in the rental application form, including personal details, rental history, and employment information.
06
Attach the necessary supporting documents such as identification copies, income proof, and references.
07
Pay any required application fees or security deposits as per the instructions provided.
08
Review the filled-out application form, documents, and payment details for accuracy and completeness.
09
Submit the completed application form along with the supporting documents to the landlord or rental agency.
10
Follow up with the landlord or rental agency to ensure that your application is being processed and inquire about any additional steps or information required.
11
Once your application is approved, review and sign the lease agreement as provided.
12
Arrange for the payment of any remaining balance, security deposit, and first month's rent as per the lease agreement terms.
13
Conduct a thorough inspection of the condo before moving in and document any existing damages or issues to avoid future disputes.
14
Make sure to keep a copy of the signed lease agreement, payment receipts, and any communications with the landlord or rental agency for future reference.

Who needs condo for rent?

01
Anyone who is looking for a temporary or long-term housing solution can consider renting a condo.
02
Individuals who prefer a more private and spacious living arrangement compared to apartments.
03
Families or individuals who desire access to amenities such as swimming pools, fitness centers, or gated communities.
04
People who do not want the responsibilities of homeownership like maintenance and repairs.
05
Professionals or students who require proximity to their workplace or educational institutions.
06
Individuals who value flexibility and do not intend to stay in one place for a long period.
Fill form : Try Risk Free
Users Most Likely To Recommend - Summer 2025
Grid Leader in Small-Business - Summer 2025
High Performer - Summer 2025
Regional Leader - Summer 2025
Easiest To Do Business With - Summer 2025
Best Meets Requirements- Summer 2025
Rate the form
4.8
Satisfied
24 Votes

For pdfFiller’s FAQs

Below is a list of the most common customer questions. If you can’t find an answer to your question, please don’t hesitate to reach out to us.

Once you are ready to share your condo for rent, you can easily send it to others and get the eSigned document back just as quickly. Share your PDF by email, fax, text message, or USPS mail, or notarize it online. You can do all of this without ever leaving your account.
Filling out and eSigning condo for rent is now simple. The solution allows you to change and reorganize PDF text, add fillable fields, and eSign the document. Start a free trial of pdfFiller, the best document editing solution.
In order to fill out documents on your iOS device, install the pdfFiller app. Create an account or log in to an existing one if you have a subscription to the service. Once the registration process is complete, upload your condo for rent. You now can take advantage of pdfFiller's advanced functionalities: adding fillable fields and eSigning documents, and accessing them from any device, wherever you are.
Condo for rent is a property that is available for individuals to lease or rent for a specified period of time.
Owners or landlords of the condo are required to file for rent.
To fill out condo for rent, you need to provide information such as the address, rental price, lease terms, and any other relevant details about the property.
The purpose of condo for rent is to generate income for the owner or landlord by renting out the property to tenants.
Information such as the address, rental price, lease terms, amenities, and any other relevant details about the property must be reported on condo for rent.
Fill out your condo for rent online with pdfFiller!

pdfFiller is an end-to-end solution for managing, creating, and editing documents and forms in the cloud. Save time and hassle by preparing your tax forms online.

Get started now
Form preview
If you believe that this page should be taken down, please follow our DMCA take down process here .
This form may include fields for payment information. Data entered in these fields is not covered by PCI DSS compliance.