Get the free CSE Form 7 -September 2016 Monthly Progress Report final
Show details
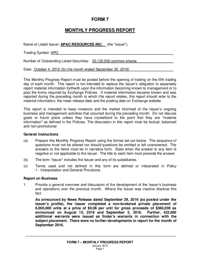
FORM 7 MONTHLY PROGRESS REPORT Name of Listed Issuer: APAC RESOURCES INC.(the Issuer). Trading Symbol: APG Number of Outstanding Listed Securities: 20,132,000 common shares Date: October 4, 2016 (for
We are not affiliated with any brand or entity on this form
Get, Create, Make and Sign cse form 7 -september
Edit your cse form 7 -september form online
Type text, complete fillable fields, insert images, highlight or blackout data for discretion, add comments, and more.
Add your legally-binding signature
Draw or type your signature, upload a signature image, or capture it with your digital camera.
Share your form instantly
Email, fax, or share your cse form 7 -september form via URL. You can also download, print, or export forms to your preferred cloud storage service.
How to edit cse form 7 -september online
To use the professional PDF editor, follow these steps below:
1
Set up an account. If you are a new user, click Start Free Trial and establish a profile.
2
Prepare a file. Use the Add New button to start a new project. Then, using your device, upload your file to the system by importing it from internal mail, the cloud, or adding its URL.
3
Edit cse form 7 -september. Rearrange and rotate pages, insert new and alter existing texts, add new objects, and take advantage of other helpful tools. Click Done to apply changes and return to your Dashboard. Go to the Documents tab to access merging, splitting, locking, or unlocking functions.
4
Get your file. Select your file from the documents list and pick your export method. You may save it as a PDF, email it, or upload it to the cloud.
With pdfFiller, dealing with documents is always straightforward.
Uncompromising security for your PDF editing and eSignature needs
Your private information is safe with pdfFiller. We employ end-to-end encryption, secure cloud storage, and advanced access control to protect your documents and maintain regulatory compliance.
How to fill out cse form 7 -september
How to fill out cse form 7 -september
01
To fill out CSE form 7 - September, follow these steps:
02
Start by obtaining the CSE form 7 - September from the appropriate authority or office.
03
Read the instructions and the guidelines provided with the form carefully.
04
Fill in your personal information accurately in the designated fields, such as your name, contact details, and date of birth.
05
Provide the necessary information about your educational background, including the name of the institution, the degree or qualification obtained, and the year of completion.
06
Specify the purpose for which you are filling out the form, such as applying for a job or seeking admission to a program.
07
If required, attach any supporting documents or certificates specified in the form.
08
Double-check all the information you have provided to ensure its accuracy and completeness.
09
Sign and date the form at the designated space.
10
Submit the completed CSE form 7 - September to the appropriate authority or office within the stipulated deadline.
Who needs cse form 7 -september?
01
CSE form 7 - September is required by individuals who need to provide their educational and personal information for various purposes such as job applications, college admissions, scholarship applications, and other official procedures.
Fill
form
: Try Risk Free
For pdfFiller’s FAQs
Below is a list of the most common customer questions. If you can’t find an answer to your question, please don’t hesitate to reach out to us.
How do I edit cse form 7 -september straight from my smartphone?
The pdfFiller apps for iOS and Android smartphones are available in the Apple Store and Google Play Store. You may also get the program at https://edit-pdf-ios-android.pdffiller.com/. Open the web app, sign in, and start editing cse form 7 -september.
How can I fill out cse form 7 -september on an iOS device?
Make sure you get and install the pdfFiller iOS app. Next, open the app and log in or set up an account to use all of the solution's editing tools. If you want to open your cse form 7 -september, you can upload it from your device or cloud storage, or you can type the document's URL into the box on the right. After you fill in all of the required fields in the document and eSign it, if that is required, you can save or share it with other people.
How do I fill out cse form 7 -september on an Android device?
Complete cse form 7 -september and other documents on your Android device with the pdfFiller app. The software allows you to modify information, eSign, annotate, and share files. You may view your papers from anywhere with an internet connection.
What is cse form 7 -september?
CSE Form 7 - September is a form used for reporting the financial status of a company during the month of September.
Who is required to file cse form 7 -september?
All companies registered with the regulatory authority are required to file CSE Form 7 - September.
How to fill out cse form 7 -september?
CSE Form 7 - September can be filled out by providing accurate financial information as per the guidelines provided by the regulatory authority.
What is the purpose of cse form 7 -september?
The purpose of CSE Form 7 - September is to ensure transparency and accountability in the financial reporting of companies.
What information must be reported on cse form 7 -september?
Information such as revenue, expenses, profit/loss, assets, liabilities, and other relevant financial data must be reported on CSE Form 7 - September.
Fill out your cse form 7 -september online with pdfFiller!
pdfFiller is an end-to-end solution for managing, creating, and editing documents and forms in the cloud. Save time and hassle by preparing your tax forms online.
Cse Form 7 -September is not the form you're looking for?Search for another form here.
Relevant keywords
Related Forms
If you believe that this page should be taken down, please follow our DMCA take down process
here
.
This form may include fields for payment information. Data entered in these fields is not covered by PCI DSS compliance.