Get the free Conditional Sales Agreement Sample ContractsLaw Insider
Show details
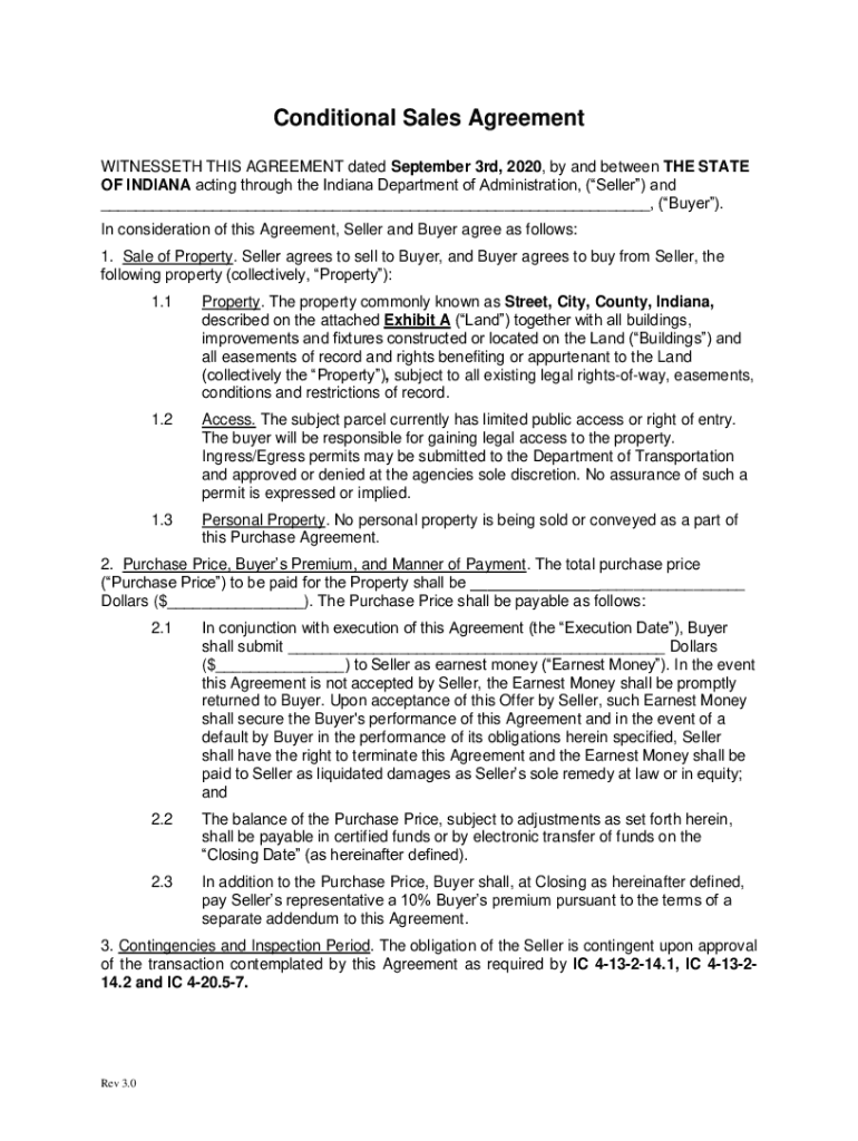
Conditional Sales Agreement WITNESSED THIS AGREEMENT dated September 3rd, 2020, by and between THE STATE OF INDIANA acting through the Indiana Department of Administration, (Seller) and ___, (Buyer).
We are not affiliated with any brand or entity on this form
Get, Create, Make and Sign conditional sales agreement sample
Edit your conditional sales agreement sample form online
Type text, complete fillable fields, insert images, highlight or blackout data for discretion, add comments, and more.
Add your legally-binding signature
Draw or type your signature, upload a signature image, or capture it with your digital camera.
Share your form instantly
Email, fax, or share your conditional sales agreement sample form via URL. You can also download, print, or export forms to your preferred cloud storage service.
Editing conditional sales agreement sample online
To use our professional PDF editor, follow these steps:
1
Register the account. Begin by clicking Start Free Trial and create a profile if you are a new user.
2
Upload a file. Select Add New on your Dashboard and upload a file from your device or import it from the cloud, online, or internal mail. Then click Edit.
3
Edit conditional sales agreement sample. Add and change text, add new objects, move pages, add watermarks and page numbers, and more. Then click Done when you're done editing and go to the Documents tab to merge or split the file. If you want to lock or unlock the file, click the lock or unlock button.
4
Get your file. Select your file from the documents list and pick your export method. You may save it as a PDF, email it, or upload it to the cloud.
It's easier to work with documents with pdfFiller than you can have believed. You may try it out for yourself by signing up for an account.
Uncompromising security for your PDF editing and eSignature needs
Your private information is safe with pdfFiller. We employ end-to-end encryption, secure cloud storage, and advanced access control to protect your documents and maintain regulatory compliance.
How to fill out conditional sales agreement sample
How to fill out conditional sales agreement sample
01
Start by downloading a conditional sales agreement sample template from a reliable source or website.
02
Read through the entire agreement to understand its terms and conditions.
03
Fill out the basic information section, including the names and addresses of both the buyer and seller.
04
Specify the details of the item being sold, such as its description, quantity, and any applicable serial numbers or identification marks.
05
Indicate the purchase price and payment terms, including any down payment or installments.
06
Include provisions for any warranties or guarantees, if applicable.
07
Include clauses for late payment penalties, default remedies, and dispute resolution.
08
Both parties should review and sign the agreement, acknowledging their understanding and acceptance of its terms.
09
Make copies of the signed agreement for both parties for future reference.
10
Keep the original agreement in a safe and secure location.
Who needs conditional sales agreement sample?
01
Individuals or businesses involved in selling goods on an installment basis.
02
Companies offering financing options for purchasing goods.
03
Buyers who require a structured payment plan for a purchase.
04
Sellers who want to establish legal obligations and protections in a sales transaction.
05
Anyone involved in a conditional sale or hire purchase arrangement.
Fill
form
: Try Risk Free
For pdfFiller’s FAQs
Below is a list of the most common customer questions. If you can’t find an answer to your question, please don’t hesitate to reach out to us.
How can I send conditional sales agreement sample for eSignature?
conditional sales agreement sample is ready when you're ready to send it out. With pdfFiller, you can send it out securely and get signatures in just a few clicks. PDFs can be sent to you by email, text message, fax, USPS mail, or notarized on your account. You can do this right from your account. Become a member right now and try it out for yourself!
How do I fill out conditional sales agreement sample using my mobile device?
On your mobile device, use the pdfFiller mobile app to complete and sign conditional sales agreement sample. Visit our website (https://edit-pdf-ios-android.pdffiller.com/) to discover more about our mobile applications, the features you'll have access to, and how to get started.
How do I complete conditional sales agreement sample on an Android device?
Use the pdfFiller app for Android to finish your conditional sales agreement sample. The application lets you do all the things you need to do with documents, like add, edit, and remove text, sign, annotate, and more. There is nothing else you need except your smartphone and an internet connection to do this.
What is conditional sales agreement sample?
A conditional sales agreement sample is a contract where the sale of goods is contingent upon certain conditions being met.
Who is required to file conditional sales agreement sample?
The seller and buyer involved in the transaction are typically required to file the conditional sales agreement sample.
How to fill out conditional sales agreement sample?
The conditional sales agreement sample can be filled out by providing details of the buyer, seller, goods being sold, conditions of the sale, payment terms, and signatures of both parties.
What is the purpose of conditional sales agreement sample?
The purpose of a conditional sales agreement sample is to outline the terms and conditions of a sale, including the conditions that need to be met for the sale to be finalized.
What information must be reported on conditional sales agreement sample?
The information that must be reported on a conditional sales agreement sample includes details of the buyer and seller, description of the goods being sold, sale price, payment terms, and conditions of the sale.
Fill out your conditional sales agreement sample online with pdfFiller!
pdfFiller is an end-to-end solution for managing, creating, and editing documents and forms in the cloud. Save time and hassle by preparing your tax forms online.
Conditional Sales Agreement Sample is not the form you're looking for?Search for another form here.
Relevant keywords
Related Forms
If you believe that this page should be taken down, please follow our DMCA take down process
here
.
This form may include fields for payment information. Data entered in these fields is not covered by PCI DSS compliance.