Get the free cdn.cocodoc.comcocodoc-form-pdfpdfYACHT BROKERAGE CENTRAL LISTING AGREEMENT
Show details
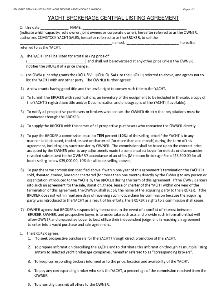
STANDARD FORM AS USED BY THE YACHT BROKERS ASSOCIATION O F Americana 1 of 2YACHT BROKERAGE CENTRAL LISTING AGREEMENT On this date ___, NAME: ___ (indicate which capacity: sole owner, joint owners
We are not affiliated with any brand or entity on this form
Get, Create, Make and Sign cdncocodoccomcocodoc-form-pdfpdfyacht brokerage central listing
Edit your cdncocodoccomcocodoc-form-pdfpdfyacht brokerage central listing form online
Type text, complete fillable fields, insert images, highlight or blackout data for discretion, add comments, and more.
Add your legally-binding signature
Draw or type your signature, upload a signature image, or capture it with your digital camera.
Share your form instantly
Email, fax, or share your cdncocodoccomcocodoc-form-pdfpdfyacht brokerage central listing form via URL. You can also download, print, or export forms to your preferred cloud storage service.
How to edit cdncocodoccomcocodoc-form-pdfpdfyacht brokerage central listing online
Use the instructions below to start using our professional PDF editor:
1
Log in to account. Start Free Trial and register a profile if you don't have one.
2
Prepare a file. Use the Add New button to start a new project. Then, using your device, upload your file to the system by importing it from internal mail, the cloud, or adding its URL.
3
Edit cdncocodoccomcocodoc-form-pdfpdfyacht brokerage central listing. Text may be added and replaced, new objects can be included, pages can be rearranged, watermarks and page numbers can be added, and so on. When you're done editing, click Done and then go to the Documents tab to combine, divide, lock, or unlock the file.
4
Get your file. Select the name of your file in the docs list and choose your preferred exporting method. You can download it as a PDF, save it in another format, send it by email, or transfer it to the cloud.
It's easier to work with documents with pdfFiller than you could have believed. You can sign up for an account to see for yourself.
Uncompromising security for your PDF editing and eSignature needs
Your private information is safe with pdfFiller. We employ end-to-end encryption, secure cloud storage, and advanced access control to protect your documents and maintain regulatory compliance.
How to fill out cdncocodoccomcocodoc-form-pdfpdfyacht brokerage central listing
How to fill out cdncocodoccomcocodoc-form-pdfpdfyacht brokerage central listing
01
Start by visiting the website cdncocodoccomcocodoc-form-pdfpdfyacht brokerage central listing.
02
On the website, you will find a form to fill out.
03
Begin by providing your personal information such as your name, contact details, and address.
04
Next, provide details about the yacht you wish to list, including its make, model, year, and any additional features or specifications.
05
You may also be required to upload photos or documents related to the yacht.
06
Double-check all the information you have provided to ensure accuracy.
07
Once you are confident that all the information is correct, submit the form.
08
You may receive a confirmation or acknowledgment of your submission, which may include further instructions or contact information if needed.
09
Wait for the yacht brokerage central listing team to process your submission and take necessary actions to list your yacht on their platform.
10
Keep an eye on your email or other communication channels for updates and inquiries regarding your listed yacht.
11
Make sure to follow any additional steps or instructions provided by the yacht brokerage central listing team to complete the listing process.
Who needs cdncocodoccomcocodoc-form-pdfpdfyacht brokerage central listing?
01
Individuals or companies who are looking to sell their yacht and want to list it on a reputable platform can benefit from cdncocodoccomcocodoc-form-pdfpdfyacht brokerage central listing.
02
Yacht brokers or agents who want to centralize their listings and reach a wider audience can also make use of this service.
03
Potential buyers who are specifically interested in purchasing a yacht from a trusted source can refer to the yacht brokerage central listing to explore available options.
Fill
form
: Try Risk Free
For pdfFiller’s FAQs
Below is a list of the most common customer questions. If you can’t find an answer to your question, please don’t hesitate to reach out to us.
How do I complete cdncocodoccomcocodoc-form-pdfpdfyacht brokerage central listing online?
pdfFiller has made it simple to fill out and eSign cdncocodoccomcocodoc-form-pdfpdfyacht brokerage central listing. The application has capabilities that allow you to modify and rearrange PDF content, add fillable fields, and eSign the document. Begin a free trial to discover all of the features of pdfFiller, the best document editing solution.
Can I create an electronic signature for the cdncocodoccomcocodoc-form-pdfpdfyacht brokerage central listing in Chrome?
You certainly can. You get not just a feature-rich PDF editor and fillable form builder with pdfFiller, but also a robust e-signature solution that you can add right to your Chrome browser. You may use our addon to produce a legally enforceable eSignature by typing, sketching, or photographing your signature with your webcam. Choose your preferred method and eSign your cdncocodoccomcocodoc-form-pdfpdfyacht brokerage central listing in minutes.
How do I edit cdncocodoccomcocodoc-form-pdfpdfyacht brokerage central listing on an iOS device?
You certainly can. You can quickly edit, distribute, and sign cdncocodoccomcocodoc-form-pdfpdfyacht brokerage central listing on your iOS device with the pdfFiller mobile app. Purchase it from the Apple Store and install it in seconds. The program is free, but in order to purchase a subscription or activate a free trial, you must first establish an account.
What is cdncocodoccomcocodoc-form-pdfpdfyacht brokerage central listing?
The cdncocodoccomcocodoc-form-pdfpdfyacht brokerage central listing is a form used to list yachts on a centralized platform for brokerage purposes.
Who is required to file cdncocodoccomcocodoc-form-pdfpdfyacht brokerage central listing?
Yacht brokers and owners are required to file the cdncocodoccomcocodoc-form-pdfpdfyacht brokerage central listing.
How to fill out cdncocodoccomcocodoc-form-pdfpdfyacht brokerage central listing?
To fill out the cdncocodoccomcocodoc-form-pdfpdfyacht brokerage central listing, you need to provide detailed information about the yacht including specifications, pricing, and contact information.
What is the purpose of cdncocodoccomcocodoc-form-pdfpdfyacht brokerage central listing?
The purpose of the cdncocodoccomcocodoc-form-pdfpdfyacht brokerage central listing is to streamline the process of buying and selling yachts by centralizing listings.
What information must be reported on cdncocodoccomcocodoc-form-pdfpdfyacht brokerage central listing?
Information such as yacht specifications, pricing, location, and contact details must be reported on the cdncocodoccomcocodoc-form-pdfpdfyacht brokerage central listing.
Fill out your cdncocodoccomcocodoc-form-pdfpdfyacht brokerage central listing online with pdfFiller!
pdfFiller is an end-to-end solution for managing, creating, and editing documents and forms in the cloud. Save time and hassle by preparing your tax forms online.
Cdncocodoccomcocodoc-Form-Pdfpdfyacht Brokerage Central Listing is not the form you're looking for?Search for another form here.
Relevant keywords
Related Forms
If you believe that this page should be taken down, please follow our DMCA take down process
here
.
This form may include fields for payment information. Data entered in these fields is not covered by PCI DSS compliance.