Get the free catalogue.nla.gov.auRecord2612462The Garden of Fand / Ashok MahajanNational Library ...
Show details
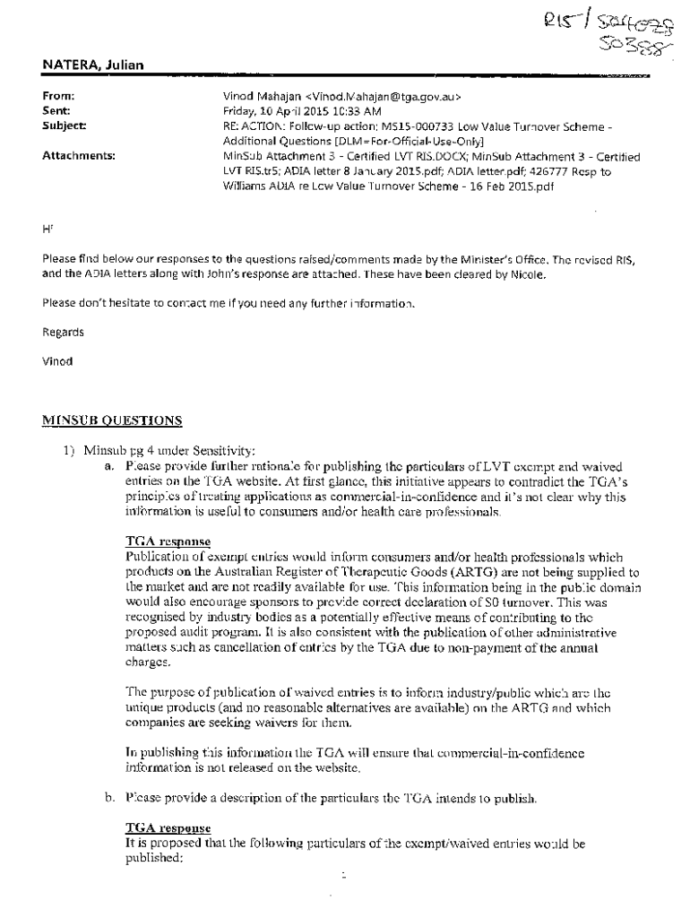
F2.l/ SoC(So:;, LATER, Julian
From:Vi nod Malayan Vinod.Mahajan@tga.gov.au
Friday, 10 April 2015 10:33 AM
RE: ACTION: Followup action: MSlS000733 Low Value Turnover Scheme Additional Questions [OLD
We are not affiliated with any brand or entity on this form
Get, Create, Make and Sign cataloguenlagovaurecord2612462form garden of fand
Edit your cataloguenlagovaurecord2612462form garden of fand form online
Type text, complete fillable fields, insert images, highlight or blackout data for discretion, add comments, and more.
Add your legally-binding signature
Draw or type your signature, upload a signature image, or capture it with your digital camera.
Share your form instantly
Email, fax, or share your cataloguenlagovaurecord2612462form garden of fand form via URL. You can also download, print, or export forms to your preferred cloud storage service.
Editing cataloguenlagovaurecord2612462form garden of fand online
Follow the steps down below to benefit from a competent PDF editor:
1
Register the account. Begin by clicking Start Free Trial and create a profile if you are a new user.
2
Upload a document. Select Add New on your Dashboard and transfer a file into the system in one of the following ways: by uploading it from your device or importing from the cloud, web, or internal mail. Then, click Start editing.
3
Edit cataloguenlagovaurecord2612462form garden of fand. Replace text, adding objects, rearranging pages, and more. Then select the Documents tab to combine, divide, lock or unlock the file.
4
Save your file. Select it from your list of records. Then, move your cursor to the right toolbar and choose one of the exporting options. You can save it in multiple formats, download it as a PDF, send it by email, or store it in the cloud, among other things.
With pdfFiller, dealing with documents is always straightforward. Try it now!
Uncompromising security for your PDF editing and eSignature needs
Your private information is safe with pdfFiller. We employ end-to-end encryption, secure cloud storage, and advanced access control to protect your documents and maintain regulatory compliance.
How to fill out cataloguenlagovaurecord2612462form garden of fand
How to fill out cataloguenlagovaurecord2612462form garden of fand
01
Begin by gathering all the necessary information and documents required for filling out the cataloguenlagovaurecord2612462form garden of fand.
02
Open the form and read all the instructions and guidelines carefully to understand the information that needs to be provided.
03
Start filling out the form by entering your personal details such as name, address, contact information, etc. Make sure all the information is accurate and up to date.
04
Proceed to fill out the specific sections of the form related to the garden of fand. Provide details about the garden's location, size, type of plants or flowers grown, maintenance practices, and any additional relevant information.
05
Double-check all the filled-out information for any errors or missing details. Ensure that the form is complete and all required fields are filled.
06
Once you are satisfied with the accuracy of the information provided, sign and date the form as required.
07
Review the completed form one last time before submitting it. Make a copy of the form for your records if necessary.
08
Submit the filled-out cataloguenlagovaurecord2612462form garden of fand as per the instructions provided in the form. This may involve mailing the form to the appropriate address or submitting it online through a designated portal.
09
Await any further instructions or notifications regarding the cataloguenlagovaurecord2612462form garden of fand. Keep track of the submission and follow up if necessary.
Who needs cataloguenlagovaurecord2612462form garden of fand?
01
The cataloguenlagovaurecord2612462form garden of fand is needed by individuals or organizations who are interested in registering or documenting their garden of fand. This form is essential for maintaining records and providing necessary information about the garden's location, type, and other relevant details. It may be required for administrative purposes, research, or any other activities related to the garden.
Fill
form
: Try Risk Free
For pdfFiller’s FAQs
Below is a list of the most common customer questions. If you can’t find an answer to your question, please don’t hesitate to reach out to us.
How can I edit cataloguenlagovaurecord2612462form garden of fand from Google Drive?
You can quickly improve your document management and form preparation by integrating pdfFiller with Google Docs so that you can create, edit and sign documents directly from your Google Drive. The add-on enables you to transform your cataloguenlagovaurecord2612462form garden of fand into a dynamic fillable form that you can manage and eSign from any internet-connected device.
Can I create an electronic signature for signing my cataloguenlagovaurecord2612462form garden of fand in Gmail?
It's easy to make your eSignature with pdfFiller, and then you can sign your cataloguenlagovaurecord2612462form garden of fand right from your Gmail inbox with the help of pdfFiller's add-on for Gmail. This is a very important point: You must sign up for an account so that you can save your signatures and signed documents.
How do I fill out cataloguenlagovaurecord2612462form garden of fand on an Android device?
On an Android device, use the pdfFiller mobile app to finish your cataloguenlagovaurecord2612462form garden of fand. The program allows you to execute all necessary document management operations, such as adding, editing, and removing text, signing, annotating, and more. You only need a smartphone and an internet connection.
What is cataloguenlagovaurecord2612462form garden of fand?
The cataloguenlagovaurecord2612462form garden of fand is a specific form used for the management and reporting of garden-related activities and records.
Who is required to file cataloguenlagovaurecord2612462form garden of fand?
Individuals or entities engaging in garden management, landscaping, or related horticultural activities may be required to file this form.
How to fill out cataloguenlagovaurecord2612462form garden of fand?
To fill out the form, gather all necessary information about the garden, including plant species, maintenance practices, and any relevant observations, and complete each section as instructed.
What is the purpose of cataloguenlagovaurecord2612462form garden of fand?
The purpose of this form is to document garden activities, monitor plant health, and ensure compliance with local horticultural regulations.
What information must be reported on cataloguenlagovaurecord2612462form garden of fand?
Required information typically includes details about plant varieties, planting dates, maintenance routines, and any significant occurrences or issues in the garden.
Fill out your cataloguenlagovaurecord2612462form garden of fand online with pdfFiller!
pdfFiller is an end-to-end solution for managing, creating, and editing documents and forms in the cloud. Save time and hassle by preparing your tax forms online.
cataloguenlagovaurecord2612462form Garden Of Fand is not the form you're looking for?Search for another form here.
Relevant keywords
Related Forms
If you believe that this page should be taken down, please follow our DMCA take down process
here
.
This form may include fields for payment information. Data entered in these fields is not covered by PCI DSS compliance.