Get the eforms.comliving-willFree Living Will Form (Health Care Directive) - PDFWord ...
Show details
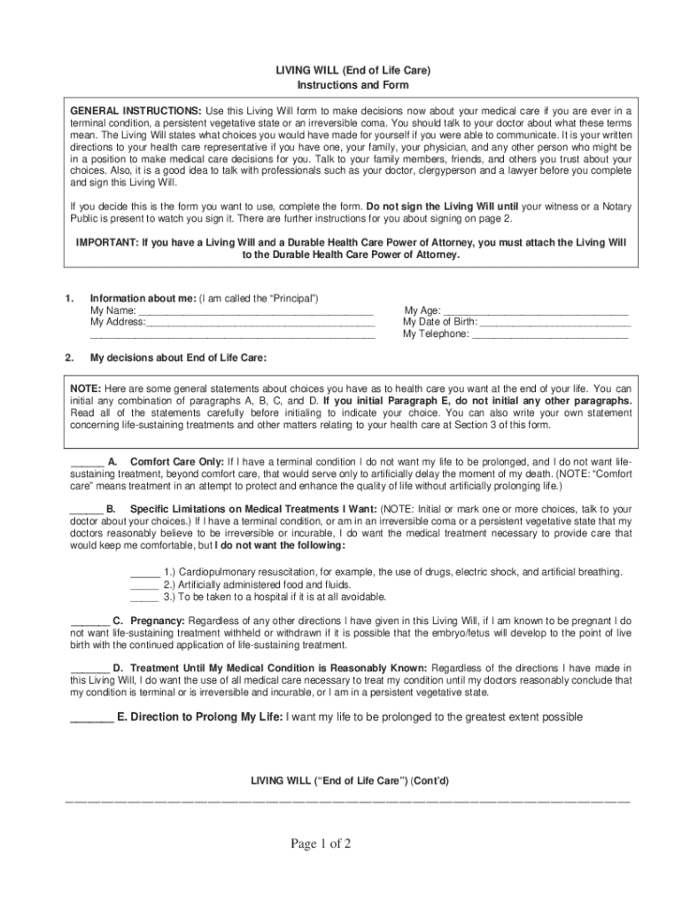
LIVING WILL (End of Life Care) Instructions and Form GENERAL INSTRUCTIONS: Use this Living Will form to make decisions now about your medical care if you are ever in a terminal condition, a persistent
We are not affiliated with any brand or entity on this form
Get, Create, Make and Sign eformscomliving-will living will form
Edit your eformscomliving-will living will form form online
Type text, complete fillable fields, insert images, highlight or blackout data for discretion, add comments, and more.
Add your legally-binding signature
Draw or type your signature, upload a signature image, or capture it with your digital camera.
Share your form instantly
Email, fax, or share your eformscomliving-will living will form form via URL. You can also download, print, or export forms to your preferred cloud storage service.
How to edit eformscomliving-will living will form online
Use the instructions below to start using our professional PDF editor:
1
Sign into your account. If you don't have a profile yet, click Start Free Trial and sign up for one.
2
Prepare a file. Use the Add New button to start a new project. Then, using your device, upload your file to the system by importing it from internal mail, the cloud, or adding its URL.
3
Edit eformscomliving-will living will form. Add and change text, add new objects, move pages, add watermarks and page numbers, and more. Then click Done when you're done editing and go to the Documents tab to merge or split the file. If you want to lock or unlock the file, click the lock or unlock button.
4
Save your file. Select it from your list of records. Then, move your cursor to the right toolbar and choose one of the exporting options. You can save it in multiple formats, download it as a PDF, send it by email, or store it in the cloud, among other things.
pdfFiller makes working with documents easier than you could ever imagine. Register for an account and see for yourself!
Uncompromising security for your PDF editing and eSignature needs
Your private information is safe with pdfFiller. We employ end-to-end encryption, secure cloud storage, and advanced access control to protect your documents and maintain regulatory compliance.
How to fill out eformscomliving-will living will form
How to fill out eformscomliving-will living will form
01
Read the instructions provided on the eforms.com living will form carefully.
02
Fill out your personal information such as name, address, and contact details.
03
Specify your healthcare preferences and any specific instructions for medical treatment.
04
Sign and date the form in the presence of witnesses as required by law.
05
Consider having the form notarized for added legality and protection.
Who needs eformscomliving-will living will form?
01
Anyone who wants to ensure their healthcare preferences are known and followed if they become unable to communicate their wishes.
02
Individuals who want to designate a trusted person to make medical decisions on their behalf if they are incapacitated.
Fill
form
: Try Risk Free
For pdfFiller’s FAQs
Below is a list of the most common customer questions. If you can’t find an answer to your question, please don’t hesitate to reach out to us.
How can I send eformscomliving-will living will form to be eSigned by others?
To distribute your eformscomliving-will living will form, simply send it to others and receive the eSigned document back instantly. Post or email a PDF that you've notarized online. Doing so requires never leaving your account.
How do I execute eformscomliving-will living will form online?
Easy online eformscomliving-will living will form completion using pdfFiller. Also, it allows you to legally eSign your form and change original PDF material. Create a free account and manage documents online.
How can I edit eformscomliving-will living will form on a smartphone?
You can easily do so with pdfFiller's apps for iOS and Android devices, which can be found at the Apple Store and the Google Play Store, respectively. You can use them to fill out PDFs. We have a website where you can get the app, but you can also get it there. When you install the app, log in, and start editing eformscomliving-will living will form, you can start right away.
What is eformscomliving-will living will form?
eformscomliving-will living will form is a legal document that allows individuals to specify their healthcare preferences in case they are unable to communicate their wishes.
Who is required to file eformscomliving-will living will form?
Any individual who wants to ensure that their healthcare wishes are known and respected in case they become incapacitated.
How to fill out eformscomliving-will living will form?
To fill out eformscomliving-will living will form, you need to provide information about your healthcare preferences and designate a healthcare proxy.
What is the purpose of eformscomliving-will living will form?
The purpose of eformscomliving-will living will form is to allow individuals to make decisions about their healthcare treatment in advance, ensuring that their wishes are followed.
What information must be reported on eformscomliving-will living will form?
The information reported on eformscomliving-will living will form includes healthcare preferences, designation of a healthcare proxy, and information about specific medical treatments.
Fill out your eformscomliving-will living will form online with pdfFiller!
pdfFiller is an end-to-end solution for managing, creating, and editing documents and forms in the cloud. Save time and hassle by preparing your tax forms online.
Eformscomliving-Will Living Will Form is not the form you're looking for?Search for another form here.
Relevant keywords
Related Forms
If you believe that this page should be taken down, please follow our DMCA take down process
here
.
This form may include fields for payment information. Data entered in these fields is not covered by PCI DSS compliance.