Get the free Concentrating Solar-Thermal Power - Department of Energy
Show details
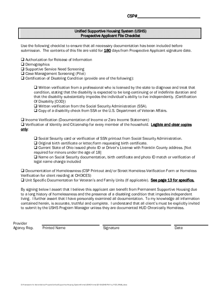
CSP#___ Unified Supportive Housing System (USHS) Prospective Applicant File Checklist Use the following checklist to ensure that all necessary documentation has been included before submission. The
We are not affiliated with any brand or entity on this form
Get, Create, Make and Sign concentrating solar-formrmal power
Edit your concentrating solar-formrmal power form online
Type text, complete fillable fields, insert images, highlight or blackout data for discretion, add comments, and more.
Add your legally-binding signature
Draw or type your signature, upload a signature image, or capture it with your digital camera.
Share your form instantly
Email, fax, or share your concentrating solar-formrmal power form via URL. You can also download, print, or export forms to your preferred cloud storage service.
Editing concentrating solar-formrmal power online
Use the instructions below to start using our professional PDF editor:
1
Set up an account. If you are a new user, click Start Free Trial and establish a profile.
2
Upload a file. Select Add New on your Dashboard and upload a file from your device or import it from the cloud, online, or internal mail. Then click Edit.
3
Edit concentrating solar-formrmal power. Rearrange and rotate pages, add and edit text, and use additional tools. To save changes and return to your Dashboard, click Done. The Documents tab allows you to merge, divide, lock, or unlock files.
4
Get your file. When you find your file in the docs list, click on its name and choose how you want to save it. To get the PDF, you can save it, send an email with it, or move it to the cloud.
pdfFiller makes working with documents easier than you could ever imagine. Try it for yourself by creating an account!
Uncompromising security for your PDF editing and eSignature needs
Your private information is safe with pdfFiller. We employ end-to-end encryption, secure cloud storage, and advanced access control to protect your documents and maintain regulatory compliance.
How to fill out concentrating solar-formrmal power
How to fill out concentrating solar-formrmal power
01
Research different concentrating solar-thermal power systems to determine which one best suits your needs.
02
Gather necessary information such as location, land availability, sunlight intensity, and energy requirements.
03
Fill out the required forms provided by the relevant authorities or solar power companies.
04
Ensure all information is accurate and complete before submission.
05
Submit the filled out form and follow up with the authorities or companies for any additional requirements or approvals.
Who needs concentrating solar-formrmal power?
01
Countries or regions with high levels of solar radiation and limited access to other sources of energy.
02
Industrial facilities or large commercial buildings looking to reduce their dependence on fossil fuels and lower their carbon footprint.
03
Developing countries seeking to improve energy access and reduce energy poverty in remote areas.
Fill
form
: Try Risk Free
For pdfFiller’s FAQs
Below is a list of the most common customer questions. If you can’t find an answer to your question, please don’t hesitate to reach out to us.
How can I modify concentrating solar-formrmal power without leaving Google Drive?
It is possible to significantly enhance your document management and form preparation by combining pdfFiller with Google Docs. This will allow you to generate papers, amend them, and sign them straight from your Google Drive. Use the add-on to convert your concentrating solar-formrmal power into a dynamic fillable form that can be managed and signed using any internet-connected device.
How can I send concentrating solar-formrmal power to be eSigned by others?
Once your concentrating solar-formrmal power is complete, you can securely share it with recipients and gather eSignatures with pdfFiller in just a few clicks. You may transmit a PDF by email, text message, fax, USPS mail, or online notarization directly from your account. Make an account right now and give it a go.
How do I make changes in concentrating solar-formrmal power?
pdfFiller allows you to edit not only the content of your files, but also the quantity and sequence of the pages. Upload your concentrating solar-formrmal power to the editor and make adjustments in a matter of seconds. Text in PDFs may be blacked out, typed in, and erased using the editor. You may also include photos, sticky notes, and text boxes, among other things.
What is concentrating solar-formrmal power?
Concentrating solar-formal power is a method of generating electricity using solar energy by focusing sunlight onto a small area, typically using mirrors or lenses.
Who is required to file concentrating solar-formrmal power?
Any individual or company that owns or operates a concentrating solar-formal power plant is required to file concentrating solar-formr power.
How to fill out concentrating solar-formrmal power?
Concentrating solar-formal power can be filled out by providing relevant information such as plant location, capacity, energy output, and environmental impact.
What is the purpose of concentrating solar-formrmal power?
The purpose of concentrating solar-formal power is to harness solar energy to generate electricity in an environmentally friendly manner.
What information must be reported on concentrating solar-formrmal power?
Information such as plant capacity, energy output, environmental impact, and any relevant permits or certifications must be reported on concentrating solar-formal power.
Fill out your concentrating solar-formrmal power online with pdfFiller!
pdfFiller is an end-to-end solution for managing, creating, and editing documents and forms in the cloud. Save time and hassle by preparing your tax forms online.
Concentrating Solar-Formrmal Power is not the form you're looking for?Search for another form here.
Relevant keywords
Related Forms
If you believe that this page should be taken down, please follow our DMCA take down process
here
.
This form may include fields for payment information. Data entered in these fields is not covered by PCI DSS compliance.