Get the free Contact Us - Canadian Foundation for Dietetic Research
Show details
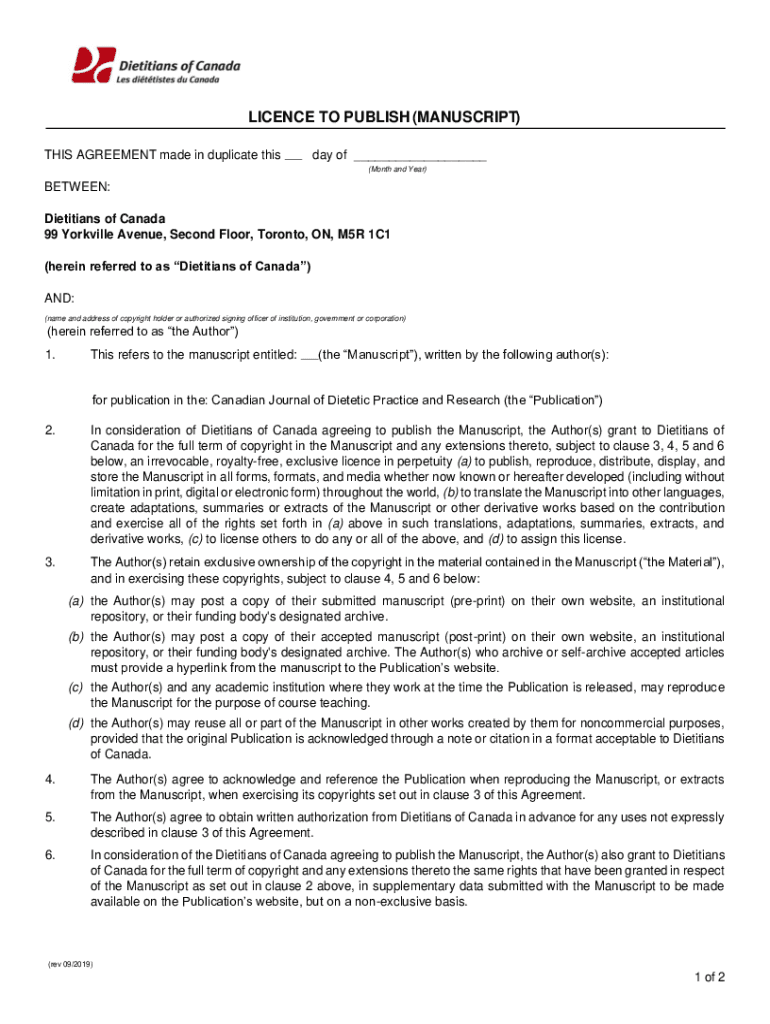
License TO PUBLISH (MANUSCRIPT) THIS AGREEMENT made in duplicate this day of ___ (Month and Year)BETWEEN: Dietitians of Canada 99 Yorkville Avenue, Second Floor, Toronto, ON, M5R 1C1 (herein referred
We are not affiliated with any brand or entity on this form
Get, Create, Make and Sign contact us - canadian
Edit your contact us - canadian form online
Type text, complete fillable fields, insert images, highlight or blackout data for discretion, add comments, and more.
Add your legally-binding signature
Draw or type your signature, upload a signature image, or capture it with your digital camera.
Share your form instantly
Email, fax, or share your contact us - canadian form via URL. You can also download, print, or export forms to your preferred cloud storage service.
How to edit contact us - canadian online
To use our professional PDF editor, follow these steps:
1
Set up an account. If you are a new user, click Start Free Trial and establish a profile.
2
Prepare a file. Use the Add New button to start a new project. Then, using your device, upload your file to the system by importing it from internal mail, the cloud, or adding its URL.
3
Edit contact us - canadian. Rearrange and rotate pages, add and edit text, and use additional tools. To save changes and return to your Dashboard, click Done. The Documents tab allows you to merge, divide, lock, or unlock files.
4
Save your file. Select it from your records list. Then, click the right toolbar and select one of the various exporting options: save in numerous formats, download as PDF, email, or cloud.
pdfFiller makes working with documents easier than you could ever imagine. Register for an account and see for yourself!
Uncompromising security for your PDF editing and eSignature needs
Your private information is safe with pdfFiller. We employ end-to-end encryption, secure cloud storage, and advanced access control to protect your documents and maintain regulatory compliance.
How to fill out contact us - canadian
How to fill out contact us - canadian
01
Navigate to the website's 'Contact Us' page.
02
Fill out your name, email address, and phone number in the designated fields.
03
Select the reason for your inquiry from the drop-down menu.
04
Type your message or question in the provided text box.
05
Click 'Submit' to send your message to the Canadian contact us team.
Who needs contact us - canadian?
01
Anyone who has a question, feedback, or concern they would like to communicate to the Canadian office of the company.
Fill
form
: Try Risk Free
For pdfFiller’s FAQs
Below is a list of the most common customer questions. If you can’t find an answer to your question, please don’t hesitate to reach out to us.
How can I send contact us - canadian to be eSigned by others?
When your contact us - canadian is finished, send it to recipients securely and gather eSignatures with pdfFiller. You may email, text, fax, mail, or notarize a PDF straight from your account. Create an account today to test it.
How do I edit contact us - canadian straight from my smartphone?
The easiest way to edit documents on a mobile device is using pdfFiller’s mobile-native apps for iOS and Android. You can download those from the Apple Store and Google Play, respectively. You can learn more about the apps here. Install and log in to the application to start editing contact us - canadian.
How do I fill out contact us - canadian on an Android device?
Use the pdfFiller mobile app to complete your contact us - canadian on an Android device. The application makes it possible to perform all needed document management manipulations, like adding, editing, and removing text, signing, annotating, and more. All you need is your smartphone and an internet connection.
What is contact us - canadian?
Contact us - canadian is a form that individuals or businesses in Canada use to communicate with a company or organization in regards to their products or services.
Who is required to file contact us - canadian?
Anyone who wishes to inquire about a particular product or service or has a concern or question that they would like addressed by a Canadian company or organization.
How to fill out contact us - canadian?
To fill out contact us - canadian, one typically needs to visit the company's website and locate the contact us page. From there, they can fill out a form with their name, contact information, and message.
What is the purpose of contact us - canadian?
The purpose of contact us - canadian is to provide a means for individuals to reach out to companies or organizations in Canada for inquiries, feedback, or complaints.
What information must be reported on contact us - canadian?
Typically, the information reported on contact us - canadian includes the individual's name, email address, phone number, and the nature of their inquiry or concern.
Fill out your contact us - canadian online with pdfFiller!
pdfFiller is an end-to-end solution for managing, creating, and editing documents and forms in the cloud. Save time and hassle by preparing your tax forms online.
Contact Us - Canadian is not the form you're looking for?Search for another form here.
Relevant keywords
Related Forms
If you believe that this page should be taken down, please follow our DMCA take down process
here
.
This form may include fields for payment information. Data entered in these fields is not covered by PCI DSS compliance.