Get the free dust of snow worksheet
Show details
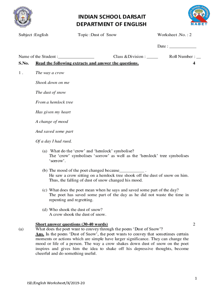
INDIAN SCHOOL PARFAIT
DEPARTMENT OF ENGLISH
Subject :EnglishTopic :Dust of SnowWorksheet. No. 2
Date : ___Name of the Student :___Class division : ___S. No. Read the following extracts and answer
We are not affiliated with any brand or entity on this form
Get, Create, Make and Sign dust of snow worksheet
Edit your dust of snow worksheet form online
Type text, complete fillable fields, insert images, highlight or blackout data for discretion, add comments, and more.
Add your legally-binding signature
Draw or type your signature, upload a signature image, or capture it with your digital camera.
Share your form instantly
Email, fax, or share your dust of snow worksheet form via URL. You can also download, print, or export forms to your preferred cloud storage service.
How to edit dust of snow worksheet online
Follow the steps below to use a professional PDF editor:
1
Log in to your account. Start Free Trial and sign up a profile if you don't have one yet.
2
Simply add a document. Select Add New from your Dashboard and import a file into the system by uploading it from your device or importing it via the cloud, online, or internal mail. Then click Begin editing.
3
Edit dust of snow worksheet. Rearrange and rotate pages, add new and changed texts, add new objects, and use other useful tools. When you're done, click Done. You can use the Documents tab to merge, split, lock, or unlock your files.
4
Get your file. When you find your file in the docs list, click on its name and choose how you want to save it. To get the PDF, you can save it, send an email with it, or move it to the cloud.
pdfFiller makes dealing with documents a breeze. Create an account to find out!
Uncompromising security for your PDF editing and eSignature needs
Your private information is safe with pdfFiller. We employ end-to-end encryption, secure cloud storage, and advanced access control to protect your documents and maintain regulatory compliance.
How to fill out dust of snow worksheet
How to fill out cbse class 10 english
01
Read the instructions carefully before starting the exam.
02
Start with easy questions to build confidence.
03
Allocate time wisely for each section.
04
Focus on grammar and punctuation while writing answers.
05
Revise answers before submitting the paper.
Who needs cbse class 10 english?
01
Students who are studying in CBSE affiliated schools and are in class 10.
02
Students who want to pursue further studies in English medium institutions.
Fill
form
: Try Risk Free
For pdfFiller’s FAQs
Below is a list of the most common customer questions. If you can’t find an answer to your question, please don’t hesitate to reach out to us.
How do I complete dust of snow worksheet online?
Completing and signing dust of snow worksheet online is easy with pdfFiller. It enables you to edit original PDF content, highlight, blackout, erase and type text anywhere on a page, legally eSign your form, and much more. Create your free account and manage professional documents on the web.
How do I make edits in dust of snow worksheet without leaving Chrome?
Install the pdfFiller Chrome Extension to modify, fill out, and eSign your dust of snow worksheet, which you can access right from a Google search page. Fillable documents without leaving Chrome on any internet-connected device.
How do I edit dust of snow worksheet on an iOS device?
Create, edit, and share dust of snow worksheet from your iOS smartphone with the pdfFiller mobile app. Installing it from the Apple Store takes only a few seconds. You may take advantage of a free trial and select a subscription that meets your needs.
What is cbse class 10 english?
CBSE Class 10 English refers to the English subject curriculum designed by the Central Board of Secondary Education for students in the 10th grade.
Who is required to file cbse class 10 english?
All students studying in the 10th grade under the CBSE board are required to study and appear for the CBSE Class 10 English exam.
How to fill out cbse class 10 english?
Students need to study the prescribed textbooks, practice writing essays, comprehension passages, grammar exercises, and prepare for the exam as per the CBSE guidelines.
What is the purpose of cbse class 10 english?
The purpose of CBSE Class 10 English is to improve students' language skills, comprehension abilities, writing skills, and prepare them for higher education and career prospects.
What information must be reported on cbse class 10 english?
Students must report their understanding of English literature, grammar rules, writing skills, vocabulary usage, and comprehension abilities in the CBSE Class 10 English exam.
Fill out your dust of snow worksheet online with pdfFiller!
pdfFiller is an end-to-end solution for managing, creating, and editing documents and forms in the cloud. Save time and hassle by preparing your tax forms online.
Dust Of Snow Worksheet is not the form you're looking for?Search for another form here.
Relevant keywords
Related Forms
If you believe that this page should be taken down, please follow our DMCA take down process
here
.
This form may include fields for payment information. Data entered in these fields is not covered by PCI DSS compliance.