Get the free Current Report (SEC Form 17-C)Atlas Consolidated Mining ...
Show details
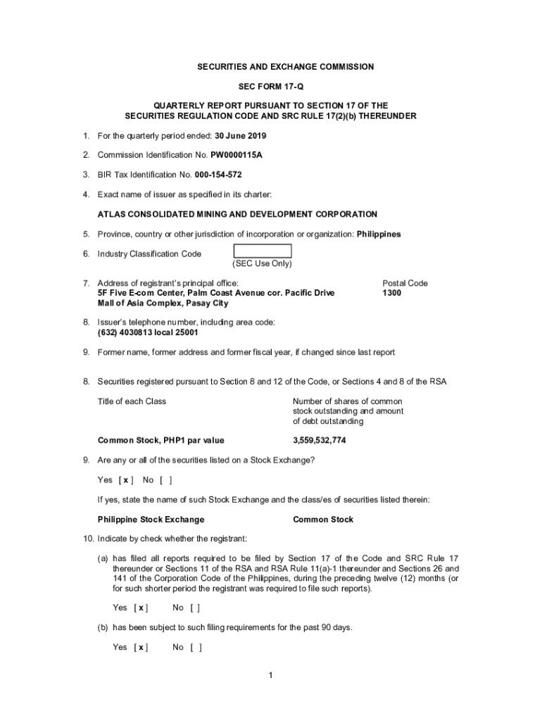
SECURITIES AND EXCHANGE COMMISSION SEC FORM 17Q QUARTERLY REPORT PURSUANT TO SECTION 17 OF THE SECURITIES REGULATION CODE AND SRC RULE 17(2)(b) THEREUNDER 1. For the quarterly period ended: 30 June
We are not affiliated with any brand or entity on this form
Get, Create, Make and Sign current report sec form
Edit your current report sec form form online
Type text, complete fillable fields, insert images, highlight or blackout data for discretion, add comments, and more.
Add your legally-binding signature
Draw or type your signature, upload a signature image, or capture it with your digital camera.
Share your form instantly
Email, fax, or share your current report sec form form via URL. You can also download, print, or export forms to your preferred cloud storage service.
Editing current report sec form online
To use our professional PDF editor, follow these steps:
1
Create an account. Begin by choosing Start Free Trial and, if you are a new user, establish a profile.
2
Upload a document. Select Add New on your Dashboard and transfer a file into the system in one of the following ways: by uploading it from your device or importing from the cloud, web, or internal mail. Then, click Start editing.
3
Edit current report sec form. Rearrange and rotate pages, add and edit text, and use additional tools. To save changes and return to your Dashboard, click Done. The Documents tab allows you to merge, divide, lock, or unlock files.
4
Get your file. Select your file from the documents list and pick your export method. You may save it as a PDF, email it, or upload it to the cloud.
It's easier to work with documents with pdfFiller than you could have believed. You can sign up for an account to see for yourself.
Uncompromising security for your PDF editing and eSignature needs
Your private information is safe with pdfFiller. We employ end-to-end encryption, secure cloud storage, and advanced access control to protect your documents and maintain regulatory compliance.
How to fill out current report sec form
How to fill out current report sec form
01
Gather all necessary information such as company information, financial data, and details of any material events.
02
Access the SEC's EDGAR database or website to find the correct Form 8-K or other applicable form.
03
Fill out the form following the instructions provided, paying attention to any specific sections or requirements.
04
Double-check all information for accuracy and completeness before submitting the form.
05
Submit the form electronically through the SEC's filing system within the required time frame.
06
Keep a copy of the filed form for your records.
Who needs current report sec form?
01
Publicly traded companies in the United States are required to file current report SEC forms when certain material events occur that are deemed important for investors to know.
Fill
form
: Try Risk Free
For pdfFiller’s FAQs
Below is a list of the most common customer questions. If you can’t find an answer to your question, please don’t hesitate to reach out to us.
How do I make changes in current report sec form?
With pdfFiller, you may not only alter the content but also rearrange the pages. Upload your current report sec form and modify it with a few clicks. The editor lets you add photos, sticky notes, text boxes, and more to PDFs.
How do I edit current report sec form straight from my smartphone?
The pdfFiller mobile applications for iOS and Android are the easiest way to edit documents on the go. You may get them from the Apple Store and Google Play. More info about the applications here. Install and log in to edit current report sec form.
Can I edit current report sec form on an Android device?
You can edit, sign, and distribute current report sec form on your mobile device from anywhere using the pdfFiller mobile app for Android; all you need is an internet connection. Download the app and begin streamlining your document workflow from anywhere.
What is current report sec form?
The current report sec form is Form 8-K.
Who is required to file current report sec form?
Public companies listed on U.S. stock exchanges are required to file Form 8-K.
How to fill out current report sec form?
Form 8-K can be filled out electronically through the SEC's EDGAR system.
What is the purpose of current report sec form?
The purpose of Form 8-K is to inform investors about important events that could impact a company's financial position or stock price.
What information must be reported on current report sec form?
Information such as changes in corporate governance, acquisitions or dispositions of assets, changes in auditors, and financial results must be reported on Form 8-K.
Fill out your current report sec form online with pdfFiller!
pdfFiller is an end-to-end solution for managing, creating, and editing documents and forms in the cloud. Save time and hassle by preparing your tax forms online.
Current Report Sec Form is not the form you're looking for?Search for another form here.
Relevant keywords
Related Forms
If you believe that this page should be taken down, please follow our DMCA take down process
here
.
This form may include fields for payment information. Data entered in these fields is not covered by PCI DSS compliance.