Get the free Computing - The UK's leading source for the analysis of ...
Show details
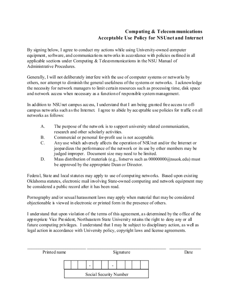
Computing & Telecom medications Acceptable Use Policy for NSU net and Internet By signing below, I agree to conduct my actions while using University owned computer equipment, software, and communications
We are not affiliated with any brand or entity on this form
Get, Create, Make and Sign computing - form uks
Edit your computing - form uks form online
Type text, complete fillable fields, insert images, highlight or blackout data for discretion, add comments, and more.
Add your legally-binding signature
Draw or type your signature, upload a signature image, or capture it with your digital camera.
Share your form instantly
Email, fax, or share your computing - form uks form via URL. You can also download, print, or export forms to your preferred cloud storage service.
Editing computing - form uks online
Use the instructions below to start using our professional PDF editor:
1
Log in to account. Click Start Free Trial and sign up a profile if you don't have one yet.
2
Upload a document. Select Add New on your Dashboard and transfer a file into the system in one of the following ways: by uploading it from your device or importing from the cloud, web, or internal mail. Then, click Start editing.
3
Edit computing - form uks. Text may be added and replaced, new objects can be included, pages can be rearranged, watermarks and page numbers can be added, and so on. When you're done editing, click Done and then go to the Documents tab to combine, divide, lock, or unlock the file.
4
Save your file. Choose it from the list of records. Then, shift the pointer to the right toolbar and select one of the several exporting methods: save it in multiple formats, download it as a PDF, email it, or save it to the cloud.
Dealing with documents is always simple with pdfFiller.
Uncompromising security for your PDF editing and eSignature needs
Your private information is safe with pdfFiller. We employ end-to-end encryption, secure cloud storage, and advanced access control to protect your documents and maintain regulatory compliance.
How to fill out computing - form uks
How to fill out computing - form uks
01
Obtain the computing - form uks from the appropriate government website or office.
02
Fill out the form with accurate and up-to-date information about your computing capabilities and needs.
03
Double-check the form to ensure all required fields are completed and that there are no errors or missing information.
04
Submit the completed form according to the instructions provided, either online or by mail.
05
Await confirmation of receipt and further instructions on how to proceed with your computing needs.
Who needs computing - form uks?
01
Individuals or organizations seeking to access computing resources or services from the UK government may need to fill out the computing - form uks.
02
This form is necessary for requesting computing assistance or resources, such as computing equipment, software licenses, or technical support.
Fill
form
: Try Risk Free
For pdfFiller’s FAQs
Below is a list of the most common customer questions. If you can’t find an answer to your question, please don’t hesitate to reach out to us.
How do I modify my computing - form uks in Gmail?
In your inbox, you may use pdfFiller's add-on for Gmail to generate, modify, fill out, and eSign your computing - form uks and any other papers you receive, all without leaving the program. Install pdfFiller for Gmail from the Google Workspace Marketplace by visiting this link. Take away the need for time-consuming procedures and handle your papers and eSignatures with ease.
How do I edit computing - form uks online?
With pdfFiller, it's easy to make changes. Open your computing - form uks in the editor, which is very easy to use and understand. When you go there, you'll be able to black out and change text, write and erase, add images, draw lines, arrows, and more. You can also add sticky notes and text boxes.
Can I create an electronic signature for signing my computing - form uks in Gmail?
You can easily create your eSignature with pdfFiller and then eSign your computing - form uks directly from your inbox with the help of pdfFiller’s add-on for Gmail. Please note that you must register for an account in order to save your signatures and signed documents.
What is computing - form uks?
Computing - Form UKS refers to the form used for reporting computing income in the United Kingdom.
Who is required to file computing - form uks?
Individuals or businesses with computing income in the UK are required to file computing - Form UKS.
How to fill out computing - form uks?
To fill out computing - Form UKS, one must provide accurate information about their computing income and any related deductions.
What is the purpose of computing - form uks?
The purpose of computing - Form UKS is to report computing income to the relevant tax authorities in the UK.
What information must be reported on computing - form uks?
Computing - Form UKS requires reporting of computing income, deductions, and any other relevant information related to computing.
Fill out your computing - form uks online with pdfFiller!
pdfFiller is an end-to-end solution for managing, creating, and editing documents and forms in the cloud. Save time and hassle by preparing your tax forms online.
Computing - Form Uks is not the form you're looking for?Search for another form here.
Relevant keywords
Related Forms
If you believe that this page should be taken down, please follow our DMCA take down process
here
.
This form may include fields for payment information. Data entered in these fields is not covered by PCI DSS compliance.