Get the free Criteria Architect Services for the New Quincy Courthouse ...
Show details
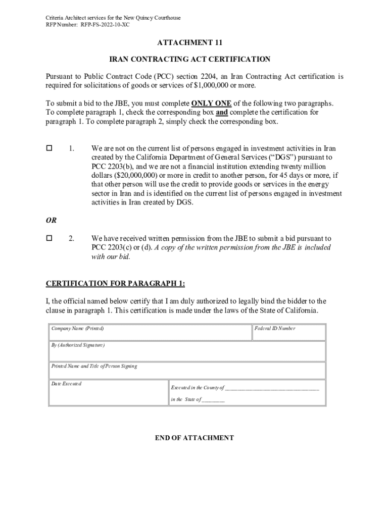
Criteria Architect services for the New Quincy Courthouse RFP Number: RFPFS202210XCATTACHMENT 11 IRAN CONTRACTING ACT CERTIFICATION Pursuant to Public Contract Code (PCC) section 2204, an Iran Contracting
We are not affiliated with any brand or entity on this form
Get, Create, Make and Sign criteria architect services for
Edit your criteria architect services for form online
Type text, complete fillable fields, insert images, highlight or blackout data for discretion, add comments, and more.
Add your legally-binding signature
Draw or type your signature, upload a signature image, or capture it with your digital camera.
Share your form instantly
Email, fax, or share your criteria architect services for form via URL. You can also download, print, or export forms to your preferred cloud storage service.
How to edit criteria architect services for online
To use the professional PDF editor, follow these steps below:
1
Sign into your account. It's time to start your free trial.
2
Simply add a document. Select Add New from your Dashboard and import a file into the system by uploading it from your device or importing it via the cloud, online, or internal mail. Then click Begin editing.
3
Edit criteria architect services for. Text may be added and replaced, new objects can be included, pages can be rearranged, watermarks and page numbers can be added, and so on. When you're done editing, click Done and then go to the Documents tab to combine, divide, lock, or unlock the file.
4
Save your file. Choose it from the list of records. Then, shift the pointer to the right toolbar and select one of the several exporting methods: save it in multiple formats, download it as a PDF, email it, or save it to the cloud.
pdfFiller makes dealing with documents a breeze. Create an account to find out!
Uncompromising security for your PDF editing and eSignature needs
Your private information is safe with pdfFiller. We employ end-to-end encryption, secure cloud storage, and advanced access control to protect your documents and maintain regulatory compliance.
How to fill out criteria architect services for
How to fill out criteria architect services for
01
Begin by understanding the scope of the project and the requirements of the client.
02
Research and analyze the local building codes and regulations that may affect the design and construction process.
03
Develop a clear and detailed list of criteria that need to be met in order to successfully complete the project.
04
Collaborate with the client to gather input and feedback on the criteria, making any necessary adjustments.
05
Present the finalized criteria to all stakeholders involved in the project for approval and alignment.
06
Monitor the project's progress to ensure that the criteria are being met and make adjustments as needed.
Who needs criteria architect services for?
01
Developers planning to build new structures or renovate existing buildings.
02
Business owners looking to design or redesign their commercial spaces.
03
Government agencies seeking to develop public infrastructure projects.
04
Individuals or organizations looking to design custom homes or buildings.
Fill
form
: Try Risk Free
For pdfFiller’s FAQs
Below is a list of the most common customer questions. If you can’t find an answer to your question, please don’t hesitate to reach out to us.
How do I execute criteria architect services for online?
Filling out and eSigning criteria architect services for is now simple. The solution allows you to change and reorganize PDF text, add fillable fields, and eSign the document. Start a free trial of pdfFiller, the best document editing solution.
How do I edit criteria architect services for on an Android device?
You can. With the pdfFiller Android app, you can edit, sign, and distribute criteria architect services for from anywhere with an internet connection. Take use of the app's mobile capabilities.
How do I complete criteria architect services for on an Android device?
Use the pdfFiller mobile app to complete your criteria architect services for on an Android device. The application makes it possible to perform all needed document management manipulations, like adding, editing, and removing text, signing, annotating, and more. All you need is your smartphone and an internet connection.
What is criteria architect services for?
Criteria architect services are for assessing and evaluating architectural designs based on predetermined criteria.
Who is required to file criteria architect services for?
Architects and architectural firms are required to file criteria architect services.
How to fill out criteria architect services for?
Criteria architect services can be filled out by providing detailed information about the architectural design, meeting the required criteria, and submitting the form to the relevant authorities.
What is the purpose of criteria architect services for?
The purpose of criteria architect services is to ensure that architectural designs meet specific standards and regulations.
What information must be reported on criteria architect services for?
Information such as project details, compliance with building codes, materials used, and design specifications must be reported on criteria architect services.
Fill out your criteria architect services for online with pdfFiller!
pdfFiller is an end-to-end solution for managing, creating, and editing documents and forms in the cloud. Save time and hassle by preparing your tax forms online.
Criteria Architect Services For is not the form you're looking for?Search for another form here.
Relevant keywords
Related Forms
If you believe that this page should be taken down, please follow our DMCA take down process
here
.
This form may include fields for payment information. Data entered in these fields is not covered by PCI DSS compliance.