Get the free Change Request 6414
Show details
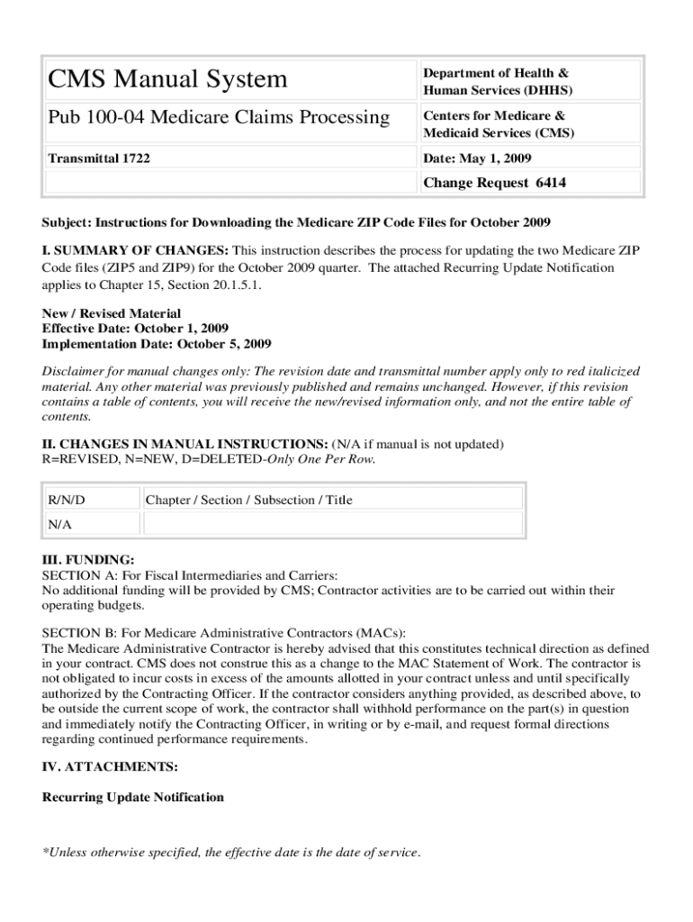
CMS Manual SystemDepartment of Health & Human Services (HHS)Pub 10004 Medicare Claims ProcessingCenters for Medicare & Medicaid Services (CMS)Transmittal 1722Date: May 1, 2009Change Request 6414 Subject:
We are not affiliated with any brand or entity on this form
Get, Create, Make and Sign change request 6414
Edit your change request 6414 form online
Type text, complete fillable fields, insert images, highlight or blackout data for discretion, add comments, and more.
Add your legally-binding signature
Draw or type your signature, upload a signature image, or capture it with your digital camera.
Share your form instantly
Email, fax, or share your change request 6414 form via URL. You can also download, print, or export forms to your preferred cloud storage service.
Editing change request 6414 online
Here are the steps you need to follow to get started with our professional PDF editor:
1
Sign into your account. If you don't have a profile yet, click Start Free Trial and sign up for one.
2
Prepare a file. Use the Add New button to start a new project. Then, using your device, upload your file to the system by importing it from internal mail, the cloud, or adding its URL.
3
Edit change request 6414. Rearrange and rotate pages, insert new and alter existing texts, add new objects, and take advantage of other helpful tools. Click Done to apply changes and return to your Dashboard. Go to the Documents tab to access merging, splitting, locking, or unlocking functions.
4
Save your file. Select it from your records list. Then, click the right toolbar and select one of the various exporting options: save in numerous formats, download as PDF, email, or cloud.
Dealing with documents is simple using pdfFiller.
Uncompromising security for your PDF editing and eSignature needs
Your private information is safe with pdfFiller. We employ end-to-end encryption, secure cloud storage, and advanced access control to protect your documents and maintain regulatory compliance.
How to fill out change request 6414
How to fill out change request 6414
01
Gather all necessary information regarding the change request 6414 including the reason for the change, effects of the change, required resources, and potential risks.
02
Fill out the change request form 6414 with all the gathered information in a clear and concise manner.
03
Include any supporting documents or evidence that may help in understanding the change request better.
04
Review the filled-out change request form for accuracy and completeness.
05
Submit the change request 6414 to the appropriate department or personnel for review and approval.
Who needs change request 6414?
01
The person or team who is responsible for making changes to a particular process, system, or project may need change request 6414.
Fill
form
: Try Risk Free
For pdfFiller’s FAQs
Below is a list of the most common customer questions. If you can’t find an answer to your question, please don’t hesitate to reach out to us.
How do I execute change request 6414 online?
pdfFiller has made it easy to fill out and sign change request 6414. You can use the solution to change and move PDF content, add fields that can be filled in, and sign the document electronically. Start a free trial of pdfFiller, the best tool for editing and filling in documents.
How do I complete change request 6414 on an iOS device?
Install the pdfFiller app on your iOS device to fill out papers. Create an account or log in if you already have one. After registering, upload your change request 6414. You may now use pdfFiller's advanced features like adding fillable fields and eSigning documents from any device, anywhere.
How do I complete change request 6414 on an Android device?
Use the pdfFiller mobile app and complete your change request 6414 and other documents on your Android device. The app provides you with all essential document management features, such as editing content, eSigning, annotating, sharing files, etc. You will have access to your documents at any time, as long as there is an internet connection.
What is change request 6414?
Change request 6414 is a formal proposal to modify an existing process, system, or documentation.
Who is required to file change request 6414?
Any individual or team involved in the project or process that the change request pertains to may be required to file change request 6414.
How to fill out change request 6414?
Change request 6414 typically requires detailed information about the proposed change, the potential impact, and a plan for implementation.
What is the purpose of change request 6414?
The purpose of change request 6414 is to document and track proposed changes to ensure proper review, evaluation, and implementation.
What information must be reported on change request 6414?
Change request 6414 must include a description of the change, reasons for the change, potential impact, implementation plan, and any relevant supporting documentation.
Fill out your change request 6414 online with pdfFiller!
pdfFiller is an end-to-end solution for managing, creating, and editing documents and forms in the cloud. Save time and hassle by preparing your tax forms online.
Change Request 6414 is not the form you're looking for?Search for another form here.
Relevant keywords
Related Forms
If you believe that this page should be taken down, please follow our DMCA take down process
here
.
This form may include fields for payment information. Data entered in these fields is not covered by PCI DSS compliance.