Get the free Core summary statistics PDF - file size approx 341 KB - HCUP - hcup-us ahrq
Show details
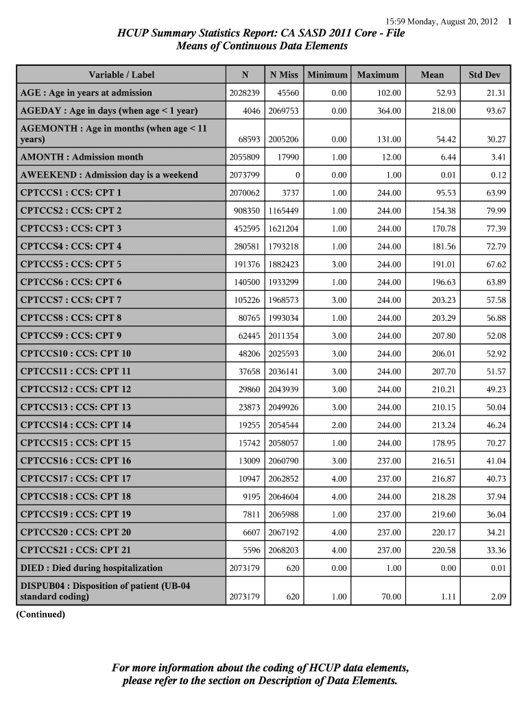
15:59 Monday, August 20, 2012, CUP Summary Statistics Report: CAS ASD 2011 Core File Means of Continuous Data Elements Variable / Label AGE : Age in years at admission AGED : Age in days (when age
We are not affiliated with any brand or entity on this form
Get, Create, Make and Sign core summary statistics pdf
Edit your core summary statistics pdf form online
Type text, complete fillable fields, insert images, highlight or blackout data for discretion, add comments, and more.
Add your legally-binding signature
Draw or type your signature, upload a signature image, or capture it with your digital camera.
Share your form instantly
Email, fax, or share your core summary statistics pdf form via URL. You can also download, print, or export forms to your preferred cloud storage service.
How to edit core summary statistics pdf online
To use our professional PDF editor, follow these steps:
1
Create an account. Begin by choosing Start Free Trial and, if you are a new user, establish a profile.
2
Prepare a file. Use the Add New button. Then upload your file to the system from your device, importing it from internal mail, the cloud, or by adding its URL.
3
Edit core summary statistics pdf. Rearrange and rotate pages, insert new and alter existing texts, add new objects, and take advantage of other helpful tools. Click Done to apply changes and return to your Dashboard. Go to the Documents tab to access merging, splitting, locking, or unlocking functions.
4
Get your file. Select your file from the documents list and pick your export method. You may save it as a PDF, email it, or upload it to the cloud.
pdfFiller makes dealing with documents a breeze. Create an account to find out!
Uncompromising security for your PDF editing and eSignature needs
Your private information is safe with pdfFiller. We employ end-to-end encryption, secure cloud storage, and advanced access control to protect your documents and maintain regulatory compliance.
How to fill out core summary statistics pdf
How to fill out core summary statistics pdf:
01
Start by opening the core summary statistics pdf file on your computer or device.
02
Review the instructions provided in the document to understand what information is required.
03
Locate the sections in the pdf where you need to input data. These sections may include fields for variables, frequencies, means, and other statistical measures.
04
Use the appropriate data sources and calculations to accurately fill in the required information. This may involve analyzing data sets, conducting surveys, or performing statistical calculations.
05
Double-check your entries to ensure accuracy and correctness.
06
Save the filled-out core summary statistics pdf file on your computer or device, using a distinct and easily identifiable name.
07
If required, print a hard copy of the filled-out pdf for your records or for submission purposes.
Who needs core summary statistics pdf?
01
Researchers: Researchers in various fields such as social sciences, market research, or epidemiology may need core summary statistics pdf to present quantitative data and analyze key statistical measures.
02
Data analysts: Professionals working with large datasets or conducting data analysis may require core summary statistics pdf to summarize their findings in a concise and easily interpretable format.
03
Students: Students studying statistics or related subjects may utilize core summary statistics pdf to practice interpreting and presenting statistical measures.
04
Teachers and instructors: Educators teaching statistics or research methodologies may recommend or use core summary statistics pdf as a tool for teaching and assessing students' understanding of statistical concepts.
05
Organizations: Businesses, government agencies, or nonprofit organizations may utilize core summary statistics pdf to compile and present important numerical information relevant to their operations, such as financial data or performance indicators.
Fill
form
: Try Risk Free
For pdfFiller’s FAQs
Below is a list of the most common customer questions. If you can’t find an answer to your question, please don’t hesitate to reach out to us.
How do I execute core summary statistics pdf online?
Filling out and eSigning core summary statistics pdf is now simple. The solution allows you to change and reorganize PDF text, add fillable fields, and eSign the document. Start a free trial of pdfFiller, the best document editing solution.
Can I create an eSignature for the core summary statistics pdf in Gmail?
It's easy to make your eSignature with pdfFiller, and then you can sign your core summary statistics pdf right from your Gmail inbox with the help of pdfFiller's add-on for Gmail. This is a very important point: You must sign up for an account so that you can save your signatures and signed documents.
How do I fill out core summary statistics pdf using my mobile device?
Use the pdfFiller mobile app to complete and sign core summary statistics pdf on your mobile device. Visit our web page (https://edit-pdf-ios-android.pdffiller.com/) to learn more about our mobile applications, the capabilities you’ll have access to, and the steps to take to get up and running.
What is core summary statistics pdf?
Core summary statistics pdf is a document that provides a summary of essential data and statistics.
Who is required to file core summary statistics pdf?
Financial institutions and organizations are required to file core summary statistics pdf.
How to fill out core summary statistics pdf?
Core summary statistics pdf can be filled out by entering the required data and information in the designated fields.
What is the purpose of core summary statistics pdf?
The purpose of core summary statistics pdf is to provide a concise overview of key data points for analysis and reporting purposes.
What information must be reported on core summary statistics pdf?
Core summary statistics pdf typically includes information such as financial performance, customer metrics, and operational data.
Fill out your core summary statistics pdf online with pdfFiller!
pdfFiller is an end-to-end solution for managing, creating, and editing documents and forms in the cloud. Save time and hassle by preparing your tax forms online.
Core Summary Statistics Pdf is not the form you're looking for?Search for another form here.
Relevant keywords
Related Forms
If you believe that this page should be taken down, please follow our DMCA take down process
here
.
This form may include fields for payment information. Data entered in these fields is not covered by PCI DSS compliance.