Get the free CHRISTIAN EDUCATION PENSION PLAN
Show details
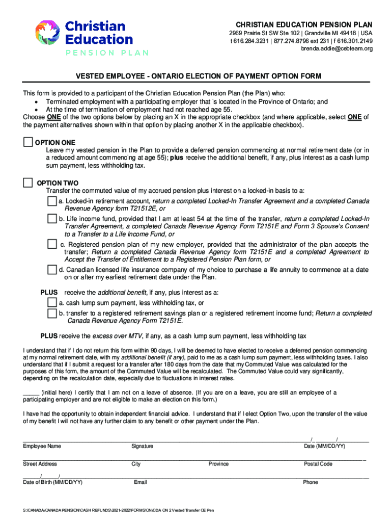
CHRISTIAN EDUCATION PENSION PLAN2969 Prairie St SW Ste 102 | Granville MI 49418 | USA t 616.284.3231 | 877.274.8796 ext 231 | f 616.301.2149 brenda.addie@cebteam.orgVESTED EMPLOYEE ONTARIO ELECTION
We are not affiliated with any brand or entity on this form
Get, Create, Make and Sign christian education pension plan
Edit your christian education pension plan form online
Type text, complete fillable fields, insert images, highlight or blackout data for discretion, add comments, and more.
Add your legally-binding signature
Draw or type your signature, upload a signature image, or capture it with your digital camera.
Share your form instantly
Email, fax, or share your christian education pension plan form via URL. You can also download, print, or export forms to your preferred cloud storage service.
Editing christian education pension plan online
Use the instructions below to start using our professional PDF editor:
1
Log in to your account. Click Start Free Trial and sign up a profile if you don't have one.
2
Upload a document. Select Add New on your Dashboard and transfer a file into the system in one of the following ways: by uploading it from your device or importing from the cloud, web, or internal mail. Then, click Start editing.
3
Edit christian education pension plan. Rearrange and rotate pages, add new and changed texts, add new objects, and use other useful tools. When you're done, click Done. You can use the Documents tab to merge, split, lock, or unlock your files.
4
Get your file. Select your file from the documents list and pick your export method. You may save it as a PDF, email it, or upload it to the cloud.
With pdfFiller, dealing with documents is always straightforward.
Uncompromising security for your PDF editing and eSignature needs
Your private information is safe with pdfFiller. We employ end-to-end encryption, secure cloud storage, and advanced access control to protect your documents and maintain regulatory compliance.
How to fill out christian education pension plan
How to fill out christian education pension plan
01
Obtain the necessary forms or information from the Christian Education Pension Plan provider.
02
Fill out the personal information section including name, address, social security number, and contact information.
03
Provide information about your employment history, including dates of employment and salary information.
04
Choose your desired contribution amount and frequency of contributions.
05
Designate your beneficiaries and choose your investment options, if applicable.
06
Review the completed form for accuracy and completeness before submitting it to the Christian Education Pension Plan provider.
Who needs christian education pension plan?
01
Christians who work in educational institutions such as schools, colleges, or universities and want to secure their retirement savings through a pension plan specifically tailored to their religious beliefs.
Fill
form
: Try Risk Free
For pdfFiller’s FAQs
Below is a list of the most common customer questions. If you can’t find an answer to your question, please don’t hesitate to reach out to us.
How can I manage my christian education pension plan directly from Gmail?
Using pdfFiller's Gmail add-on, you can edit, fill out, and sign your christian education pension plan and other papers directly in your email. You may get it through Google Workspace Marketplace. Make better use of your time by handling your papers and eSignatures.
How do I complete christian education pension plan on an iOS device?
pdfFiller has an iOS app that lets you fill out documents on your phone. A subscription to the service means you can make an account or log in to one you already have. As soon as the registration process is done, upload your christian education pension plan. You can now use pdfFiller's more advanced features, like adding fillable fields and eSigning documents, as well as accessing them from any device, no matter where you are in the world.
How do I fill out christian education pension plan on an Android device?
Use the pdfFiller app for Android to finish your christian education pension plan. The application lets you do all the things you need to do with documents, like add, edit, and remove text, sign, annotate, and more. There is nothing else you need except your smartphone and an internet connection to do this.
What is christian education pension plan?
Christian Education Pension Plan is a retirement savings plan specifically designed for employees of Christian educational institutions.
Who is required to file christian education pension plan?
Employers of Christian educational institutions are required to file the Christian Education Pension Plan for their employees.
How to fill out christian education pension plan?
To fill out the Christian Education Pension Plan, employers need to gather information on their employees' salaries, contributions, and retirement accounts.
What is the purpose of christian education pension plan?
The purpose of the Christian Education Pension Plan is to provide retirement benefits for employees of Christian educational institutions.
What information must be reported on christian education pension plan?
Information such as employee salaries, contributions, and retirement account details must be reported on the Christian Education Pension Plan.
Fill out your christian education pension plan online with pdfFiller!
pdfFiller is an end-to-end solution for managing, creating, and editing documents and forms in the cloud. Save time and hassle by preparing your tax forms online.
Christian Education Pension Plan is not the form you're looking for?Search for another form here.
Relevant keywords
Related Forms
If you believe that this page should be taken down, please follow our DMCA take down process
here
.
This form may include fields for payment information. Data entered in these fields is not covered by PCI DSS compliance.