Get the free Education Bureau Kowloon Tong Education Services Centre
Show details
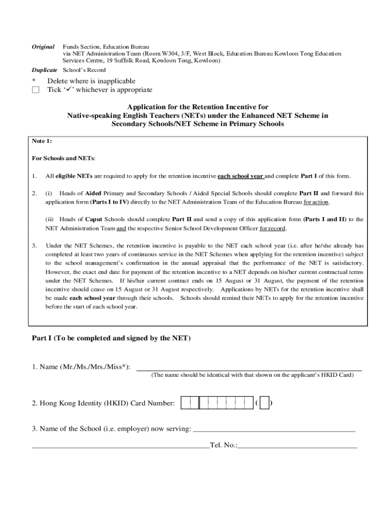
OriginalFunds Section, Education Bureau via NET Administration Team (Room W304, 3/F, West Block, Education Bureau Kowloon Tong Education Services Center, 19 Suffolk Road, Kowloon Tong, Kowloon)Duplicate
We are not affiliated with any brand or entity on this form
Get, Create, Make and Sign education bureau kowloon tong
Edit your education bureau kowloon tong form online
Type text, complete fillable fields, insert images, highlight or blackout data for discretion, add comments, and more.
Add your legally-binding signature
Draw or type your signature, upload a signature image, or capture it with your digital camera.
Share your form instantly
Email, fax, or share your education bureau kowloon tong form via URL. You can also download, print, or export forms to your preferred cloud storage service.
How to edit education bureau kowloon tong online
Follow the steps down below to use a professional PDF editor:
1
Log in. Click Start Free Trial and create a profile if necessary.
2
Prepare a file. Use the Add New button to start a new project. Then, using your device, upload your file to the system by importing it from internal mail, the cloud, or adding its URL.
3
Edit education bureau kowloon tong. Rearrange and rotate pages, add new and changed texts, add new objects, and use other useful tools. When you're done, click Done. You can use the Documents tab to merge, split, lock, or unlock your files.
4
Save your file. Select it from your list of records. Then, move your cursor to the right toolbar and choose one of the exporting options. You can save it in multiple formats, download it as a PDF, send it by email, or store it in the cloud, among other things.
It's easier to work with documents with pdfFiller than you can have believed. You can sign up for an account to see for yourself.
Uncompromising security for your PDF editing and eSignature needs
Your private information is safe with pdfFiller. We employ end-to-end encryption, secure cloud storage, and advanced access control to protect your documents and maintain regulatory compliance.
How to fill out education bureau kowloon tong
How to fill out education bureau kowloon tong
01
Obtain the required forms from the Education Bureau Kowloon Tong office or website.
02
Fill out the forms with accurate and complete information, including personal details and educational background.
03
Submit the filled-out forms along with any necessary supporting documents to the Education Bureau Kowloon Tong office either in person or by mail.
04
Wait for confirmation or further instructions from the Education Bureau Kowloon Tong regarding the processing of your application.
Who needs education bureau kowloon tong?
01
Residents of Kowloon Tong who require assistance or services related to education in the area.
02
Parents seeking information on schools, enrollment, or educational resources for their children in Kowloon Tong.
03
Educators or school administrators in Kowloon Tong who need to communicate with the education authorities or access educational materials.
Fill
form
: Try Risk Free
For pdfFiller’s FAQs
Below is a list of the most common customer questions. If you can’t find an answer to your question, please don’t hesitate to reach out to us.
How do I execute education bureau kowloon tong online?
Filling out and eSigning education bureau kowloon tong is now simple. The solution allows you to change and reorganize PDF text, add fillable fields, and eSign the document. Start a free trial of pdfFiller, the best document editing solution.
How do I edit education bureau kowloon tong straight from my smartphone?
The pdfFiller mobile applications for iOS and Android are the easiest way to edit documents on the go. You may get them from the Apple Store and Google Play. More info about the applications here. Install and log in to edit education bureau kowloon tong.
How do I edit education bureau kowloon tong on an Android device?
The pdfFiller app for Android allows you to edit PDF files like education bureau kowloon tong. Mobile document editing, signing, and sending. Install the app to ease document management anywhere.
What is education bureau kowloon tong?
The education bureau Kowloon Tong is a government agency responsible for overseeing educational matters in the Kowloon Tong district.
Who is required to file education bureau kowloon tong?
All educational institutions operating within the Kowloon Tong district are required to file with the education bureau Kowloon Tong.
How to fill out education bureau kowloon tong?
The education bureau Kowloon Tong typically provides instructions on how to fill out the required forms online or in person.
What is the purpose of education bureau kowloon tong?
The purpose of the education bureau Kowloon Tong is to ensure that educational institutions in the district are in compliance with regulations and standards.
What information must be reported on education bureau kowloon tong?
Educational institutions must report information such as enrollment numbers, financial data, and staff credentials on the education bureau Kowloon Tong forms.
Fill out your education bureau kowloon tong online with pdfFiller!
pdfFiller is an end-to-end solution for managing, creating, and editing documents and forms in the cloud. Save time and hassle by preparing your tax forms online.
Education Bureau Kowloon Tong is not the form you're looking for?Search for another form here.
Relevant keywords
Related Forms
If you believe that this page should be taken down, please follow our DMCA take down process
here
.
This form may include fields for payment information. Data entered in these fields is not covered by PCI DSS compliance.