Get the free CONFIDENTIAL DISCLOSURE AGREEMENT between Texas State ...
Show details
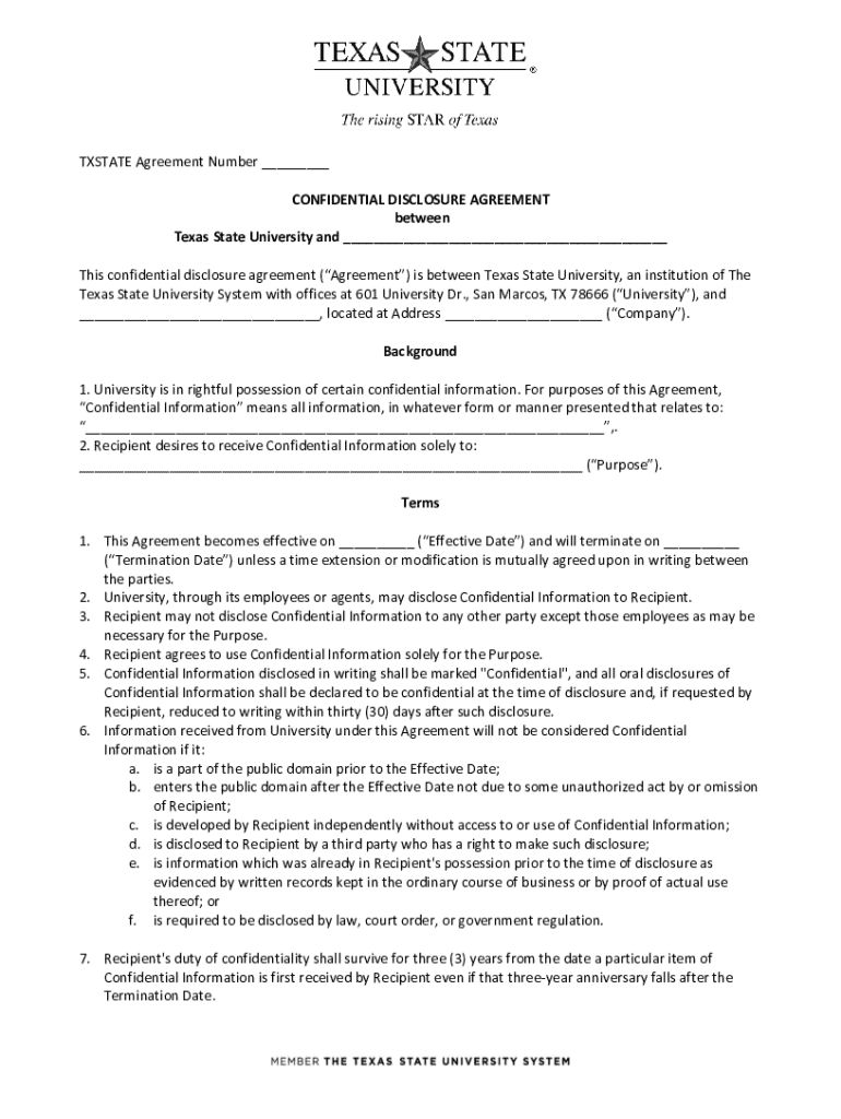
TESTATE Agreement Number ___ CONFIDENTIAL DISCLOSURE AGREEMENT between Texas State University and ___ This confidential disclosure agreement (Agreement) is between Texas State University, an institution
We are not affiliated with any brand or entity on this form
Get, Create, Make and Sign confidential disclosure agreement between
Edit your confidential disclosure agreement between form online
Type text, complete fillable fields, insert images, highlight or blackout data for discretion, add comments, and more.
Add your legally-binding signature
Draw or type your signature, upload a signature image, or capture it with your digital camera.
Share your form instantly
Email, fax, or share your confidential disclosure agreement between form via URL. You can also download, print, or export forms to your preferred cloud storage service.
Editing confidential disclosure agreement between online
Follow the guidelines below to benefit from a competent PDF editor:
1
Log in to account. Start Free Trial and register a profile if you don't have one yet.
2
Simply add a document. Select Add New from your Dashboard and import a file into the system by uploading it from your device or importing it via the cloud, online, or internal mail. Then click Begin editing.
3
Edit confidential disclosure agreement between. Rearrange and rotate pages, add new and changed texts, add new objects, and use other useful tools. When you're done, click Done. You can use the Documents tab to merge, split, lock, or unlock your files.
4
Get your file. Select your file from the documents list and pick your export method. You may save it as a PDF, email it, or upload it to the cloud.
Dealing with documents is always simple with pdfFiller.
Uncompromising security for your PDF editing and eSignature needs
Your private information is safe with pdfFiller. We employ end-to-end encryption, secure cloud storage, and advanced access control to protect your documents and maintain regulatory compliance.
How to fill out confidential disclosure agreement between
How to fill out confidential disclosure agreement between
01
Review the terms and conditions of the confidential disclosure agreement.
02
Fill out the parties involved in the agreement including names, addresses, and contact information.
03
Specify the confidential information being disclosed and the purpose of the agreement.
04
Include any necessary exclusions or limitations on the use of the information.
05
Sign and date the agreement, making sure all parties involved also sign and date.
06
Consider having the agreement reviewed by legal counsel before finalizing.
Who needs confidential disclosure agreement between?
01
Companies entering into business partnerships
02
Employers and employees sharing proprietary information
03
Researchers and institutions sharing sensitive data
Fill
form
: Try Risk Free
For pdfFiller’s FAQs
Below is a list of the most common customer questions. If you can’t find an answer to your question, please don’t hesitate to reach out to us.
How can I send confidential disclosure agreement between for eSignature?
To distribute your confidential disclosure agreement between, simply send it to others and receive the eSigned document back instantly. Post or email a PDF that you've notarized online. Doing so requires never leaving your account.
How do I make changes in confidential disclosure agreement between?
With pdfFiller, you may not only alter the content but also rearrange the pages. Upload your confidential disclosure agreement between and modify it with a few clicks. The editor lets you add photos, sticky notes, text boxes, and more to PDFs.
How can I edit confidential disclosure agreement between on a smartphone?
The easiest way to edit documents on a mobile device is using pdfFiller’s mobile-native apps for iOS and Android. You can download those from the Apple Store and Google Play, respectively. You can learn more about the apps here. Install and log in to the application to start editing confidential disclosure agreement between.
What is confidential disclosure agreement between?
A confidential disclosure agreement is between two parties who agree to share confidential information with each other.
Who is required to file confidential disclosure agreement between?
Any two parties who are sharing confidential information are required to file a confidential disclosure agreement.
How to fill out confidential disclosure agreement between?
To fill out a confidential disclosure agreement, both parties must detail the information being shared, the duration of the agreement, and any restrictions or limitations on the use of the information.
What is the purpose of confidential disclosure agreement between?
The purpose of a confidential disclosure agreement is to protect sensitive information from being disclosed to unauthorized parties.
What information must be reported on confidential disclosure agreement between?
The confidential disclosure agreement must specify the type of information being shared, the purpose of sharing it, and any restrictions on its use or disclosure.
Fill out your confidential disclosure agreement between online with pdfFiller!
pdfFiller is an end-to-end solution for managing, creating, and editing documents and forms in the cloud. Save time and hassle by preparing your tax forms online.
Confidential Disclosure Agreement Between is not the form you're looking for?Search for another form here.
Relevant keywords
Related Forms
If you believe that this page should be taken down, please follow our DMCA take down process
here
.
This form may include fields for payment information. Data entered in these fields is not covered by PCI DSS compliance.