Form preview

Get the free Certified Youth Peer Support Specialist - Calera, AL 35040 template

Get Form
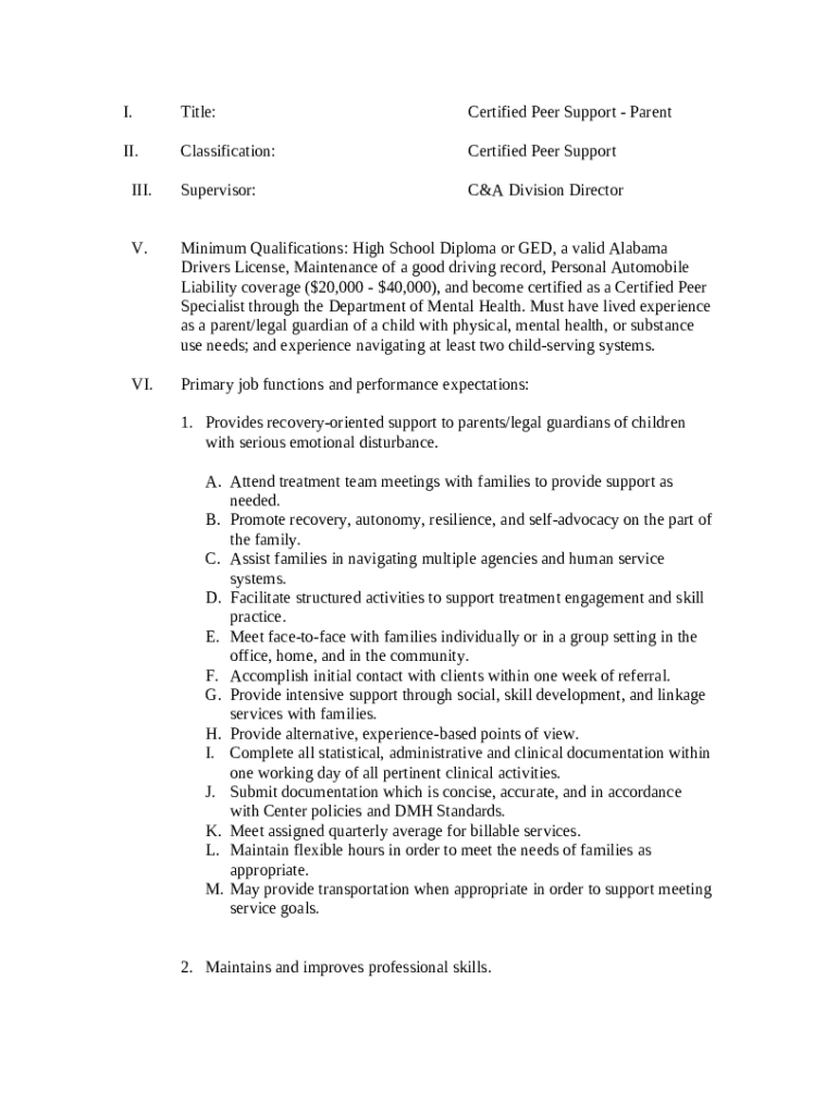
I. Title:Certified Peer Support ParentII. Classification:Certified Peer SupportIII. Supervisor:C&A Division DirectorV. Minimum Qualifications: High School Diploma or GED, a valid Alabama Drivers License, Maintenance of a good driving record, Personal Automobile Liability coverage ($20,000 $40,000), and become certified as a Certified Peer Specialist through the Department of Mental Health. Must have lived experience as a parent/legal guardian of a child with physical,
We are not affiliated with any brand or entity on this form

Get, Create, Make and Sign certified youth peer support

Edit
Edit your certified youth peer support form online
Type text, complete fillable fields, insert images, highlight or blackout data for discretion, add comments, and more.
Add
Add your legally-binding signature
Draw or type your signature, upload a signature image, or capture it with your digital camera.
Share
Share your form instantly
Email, fax, or share your certified youth peer support form via URL. You can also download, print, or export forms to your preferred cloud storage service.

How to edit certified youth peer support online

9.5
Ease of Setup
pdfFiller User Ratings on G2
9.0
Ease of Use
pdfFiller User Ratings on G2
Use the instructions below to start using our professional PDF editor:
1
Set up an account. If you are a new user, click Start Free Trial and establish a profile.
2
Prepare a file. Use the Add New button to start a new project. Then, using your device, upload your file to the system by importing it from internal mail, the cloud, or adding its URL.
3
Edit certified youth peer support. Replace text, adding objects, rearranging pages, and more. Then select the Documents tab to combine, divide, lock or unlock the file.
4
Get your file. Select your file from the documents list and pick your export method. You may save it as a PDF, email it, or upload it to the cloud.
pdfFiller makes working with documents easier than you could ever imagine. Register for an account and see for yourself!

Uncompromising security for your PDF editing and eSignature needs

Your private information is safe with pdfFiller. We employ end-to-end encryption, secure cloud storage, and advanced access control to protect your documents and maintain regulatory compliance.
GDPR
AICPA SOC 2
PCI
HIPAA
CCPA
FDA

How to fill out certified youth peer support

Illustration

How to fill out certified youth peer support

01
Obtain the certified youth peer support program application form.
02
Review the eligibility requirements to ensure you qualify.
03
Gather necessary documentation such as proof of age, education, and any relevant experience.
04
Complete the application form with accurate information.
05
Write a personal statement or essay explaining your interest in youth peer support.
06
Submit the application and required documents by the specified deadline.
07
Prepare for an interview, if required, to discuss your application further.

Who needs certified youth peer support?

01
Young individuals facing mental health challenges.
02
Youth seeking guidance and support from peers with similar experiences.
03
Students dealing with social or emotional difficulties.
04
Families looking for resources and support for their children.
05
Community organizations aiming to enhance youth mental health programs.

How to Fill Out the Certified Youth Peer Support Form

Understanding the certified youth peer support form

The certified youth peer support form is a vital document designed to certify young individuals who have demonstrated the ability to provide support to their peers. This certification recognizes their unique experiences and perspectives that empower them to assist others facing similar challenges. With the rise in awareness around mental health and youth support, this form plays a pivotal role in formalizing the skills and experiences of youth peer support specialists.

The importance of certification cannot be overstated. It validates the capabilities of young individuals, providing them with credibility in their roles while enhancing their own self-worth and professional development. Additionally, certified youth peer support specialists are proven to positively impact community well-being by offering effective support, promoting resilience among peers, and fostering environments of understanding and collaboration.

Benefits for young individuals include personal growth, enhanced communication skills, and a stronger sense of community.
Impacts on community well-being involve increased awareness of mental health issues and support systems that encourage participation from youth.

To be eligible for this certification, candidates typically need to meet specific criteria, including age requirements and prior experience in peer support roles. Understanding these eligibility standards is crucial for a smooth application process.

Preparing to complete the certified youth peer support form

Thorough preparation is key to filling out the certified youth peer support form accurately and effectively. First and foremost, gather the necessary documentation. Essential personal identification documents, such as driver's licenses or other forms of ID, may be required. Additionally, securing supporting letters and endorsements from mentors or previous supervisors in a peer support capacity can significantly strengthen your application.

It's also important to understand the required qualifications for filling out the form. This includes meeting age and experience requirements which often specify a minimum age of 16 or 18, along with a background in peer support principles. Having a solid understanding of these principles, such as confidentiality, empathy, and non-judgment, will enhance your application.

Step-by-step instructions for filling out the form

Filling out the certified youth peer support form is straightforward when you approach it step-by-step. Start with Section 1, which gathers your personal information. Here, you will need to enter your full name, contact details, and any relevant background information that informs your role as a peer supporter.

Next, move on to Section 2, where you highlight your experience and training. Document any previous peer support experience you've had, as well as any relevant training programs you have completed. This information crucially supports your capability as a candidate.

In Section 3, focus on articulating your certification purpose and goals. Reflect on what motivates you to seek this certification and outline your long-term aspirations in peer support. This helps evaluators assess your commitment to the field.

Finally, Section 4 covers references and endorsements. Choose suitable references who can vouch for your capabilities in peer support, and consider how to obtain strong endorsements that will complement your application effectively.

Tips for editing and reviewing your submission

Clarity and transparency in your submission are of utmost importance. Ensure that your answers are straightforward and devoid of ambiguous language. One common mistake is providing incomplete or inaccurate information, which can delay your application. Double-check your entries to ensure all sections are filled out correctly.

Adhering to the format requirements is also crucial. Ensure the document is neatly organized and easy to read. Utilizing tools like pdfFiller can greatly streamline the editing process, allowing for collaboration features that enable others to provide feedback and editing functionalities that enhance your final submission.

Navigating the submission process

Once your certified youth peer support form is complete, understanding the submission channels is essential for a smooth process. Explore online submission platforms that may offer quicker processing and additional tracking features for your application. If you opt for mail-in options, ensure to follow the guidelines for sending your documents to avoid any delays.

After submission, tracking your application status can keep you informed about timelines to expect. If you encounter any challenges or have questions, don’t hesitate to contact support for assistance.

Managing your certified youth peer support credentials

After you have achieved your certification, it’s vital to keep your credentials updated. This often involves engaging in continuous learning and development opportunities to further enhance your skills. Pay attention to re-certification information, as staying certified may require completing ongoing training or workshops.

Tools like pdfFiller can facilitate document management by providing secure storage options for your certification and the ability to eSign documents for quick approvals and updates, ensuring you always have your credentials at hand when needed.

Additional support and resources

Engaging with peer support networks can greatly enhance your experience as a youth peer support specialist. Community support plays an invaluable role in providing mentorship, sharing resources, and fostering an environment of encouragement. Look for both local and online communities where you can connect with other specialists.

Beyond networking, seeking further training opportunities is crucial. Participate in workshops and webinars that focus on peer support skills and specialized certifications to broaden your expertise and effectiveness. This commitment to learning positions you to be a more impactful peer supporter.

For questions about the certification process, reviewing commonly asked questions can provide insights into eligibility and requirements, helping clarify any uncertainties you may have.

Encouragement for future peer support specialists

Inspiring stories from certified youth peer support specialists highlight the profound impact this role can have on individuals and communities. By stepping into this certification, you are joining a dynamic network dedicated to enhancing lives through shared experiences and support.

The role of peer support extends beyond individual cases; it cultivates resilience, understanding, and community cohesion, making it a rewarding journey for both the supporter and those they assist.

What is Certified Youth Peer Support Specialist - Calera, AL 35040 Form?

The Certified Youth Peer Support Specialist - Calera, AL 35040 is a writable document needed to be submitted to the relevant address in order to provide certain information. It must be completed and signed, which may be done manually, or with a particular software such as PDFfiller. This tool allows to fill out any PDF or Word document right in the web, customize it according to your needs and put a legally-binding electronic signature. Once after completion, user can send the Certified Youth Peer Support Specialist - Calera, AL 35040 to the relevant receiver, or multiple individuals via email or fax. The editable template is printable too due to PDFfiller feature and options proposed for printing out adjustment. In both digital and physical appearance, your form should have a neat and professional outlook. You may also turn it into a template to use it later, there's no need to create a new file from scratch. Just edit the ready document.

Instructions for the Certified Youth Peer Support Specialist - Calera, AL 35040 form

Before start to fill out Certified Youth Peer Support Specialist - Calera, AL 35040 Word template, be sure that you have prepared enough of required information. That's a very important part, since errors can bring unwanted consequences beginning from re-submission of the whole entire blank and completing with deadlines missed and even penalties. You should be pretty observative filling out the figures. At first glimpse, it might seem to be dead simple thing. Yet, it is simple to make a mistake. Some people use some sort of a lifehack storing all data in another document or a record book and then put it's content into documents' samples. However, come up with all efforts and provide accurate and correct data in Certified Youth Peer Support Specialist - Calera, AL 35040 form, and check it twice during the filling out all necessary fields. If you find any mistakes later, you can easily make corrections when you use PDFfiller editor and avoid missed deadlines.

Certified Youth Peer Support Specialist - Calera, AL 35040: frequently asked questions

1. Would it be legal to fill out documents electronically?

In accordance with ESIGN Act 2000, documents filled out and approved by using an e-signing solution are considered as legally binding, just like their physical analogs. This means you are free to rightfully complete and submit Certified Youth Peer Support Specialist - Calera, AL 35040 .doc form to the individual or organization required to use electronic signature solution that fits all requirements based on particular terms, like PDFfiller.

2. Is it safe to fill out sensitive information online?

Of course, it is completely safe when you use trusted application for your work flow for those purposes. For instance, PDFfiller has the benefits like:

  • All data is kept in the cloud storage space that is facilitated with multi-level encryption, and it is prohibited from disclosure. It's only you the one who controls to whom and how this document can be shown.
  • Each and every word file signed has its own unique ID, so it can’t be faked.
  • User can set additional security like user verification via photo or security password. There's also an option to secure entire folder with encryption. Just put your Certified Youth Peer Support Specialist - Calera, AL 35040 fillable form and set your password.

3. Can I upload required data to the writable form from another file?

To export data from one document to another, you need a specific feature. In PDFfiller, it is called Fill in Bulk. Using this feature, you can take data from the Excel sheet and put it into your word file.

Fill form : Try Risk Free
Users Most Likely To Recommend - Summer 2025
Grid Leader in Small-Business - Summer 2025
High Performer - Summer 2025
Regional Leader - Summer 2025
Easiest To Do Business With - Summer 2025
Best Meets Requirements- Summer 2025
Rate the form
4.3
Satisfied
31 Votes

For pdfFiller’s FAQs

Below is a list of the most common customer questions. If you can’t find an answer to your question, please don’t hesitate to reach out to us.

pdfFiller not only allows you to edit the content of your files but fully rearrange them by changing the number and sequence of pages. Upload your certified youth peer support to the editor and make any required adjustments in a couple of clicks. The editor enables you to blackout, type, and erase text in PDFs, add images, sticky notes and text boxes, and much more.
You can quickly make and fill out legal forms with the help of the pdfFiller app on your phone. Complete and sign certified youth peer support and other documents on your mobile device using the application. If you want to learn more about how the PDF editor works, go to pdfFiller.com.
You can make any changes to PDF files, like certified youth peer support, with the help of the pdfFiller Android app. Edit, sign, and send documents right from your phone or tablet. You can use the app to make document management easier wherever you are.
Certified youth peer support is a structured program that involves trained young individuals who provide support to their peers facing mental health or substance use challenges. The supports offered are based on shared experiences and aim to promote resilience and recovery.
Individuals who are trained and certified as youth peer support specialists are required to file certified youth peer support. This may also include professionals overseeing youth peer support programs who need to document their services.
To fill out certified youth peer support, individuals must provide detailed information about the services rendered, the duration and frequency of support, the goals of the support meetings, and obtain the required signatures from both the peer support specialist and the young person receiving support.
The purpose of certified youth peer support is to create a supportive environment where young individuals can share their experiences and challenges, gain empowerment, develop coping strategies, and foster a sense of community and belonging.
Information that must be reported includes participant's identification, date and duration of services, descriptions of peer support activities, any measurable goals or outcomes, and signatures of both the peer support specialist and the participant.
Fill out your certified youth peer support online with pdfFiller!

pdfFiller is an end-to-end solution for managing, creating, and editing documents and forms in the cloud. Save time and hassle by preparing your tax forms online.

Get started now
Form preview
If you believe that this page should be taken down, please follow our DMCA take down process here .
This form may include fields for payment information. Data entered in these fields is not covered by PCI DSS compliance.