Form preview

Get the free Contingent Fee Attorney Employment Agreement

Get Form
We are not affiliated with any brand or entity on this form
Illustration
Fill out
Complete the form online in a simple drag-and-drop editor.
Illustration
eSign
Add your legally binding signature or send the form for signing.
Illustration
Share
Share the form via a link, letting anyone fill it out from any device.
Illustration
Export
Download, print, email, or move the form to your cloud storage.

Why pdfFiller is the best tool for your documents and forms

GDPR
AICPA SOC 2
PCI
HIPAA
CCPA
FDA

End-to-end document management

From editing and signing to collaboration and tracking, pdfFiller has everything you need to get your documents done quickly and efficiently.

Accessible from anywhere

pdfFiller is fully cloud-based. This means you can edit, sign, and share documents from anywhere using your computer, smartphone, or tablet.

Secure and compliant

pdfFiller lets you securely manage documents following global laws like ESIGN, CCPA, and GDPR. It's also HIPAA and SOC 2 compliant.
Form preview

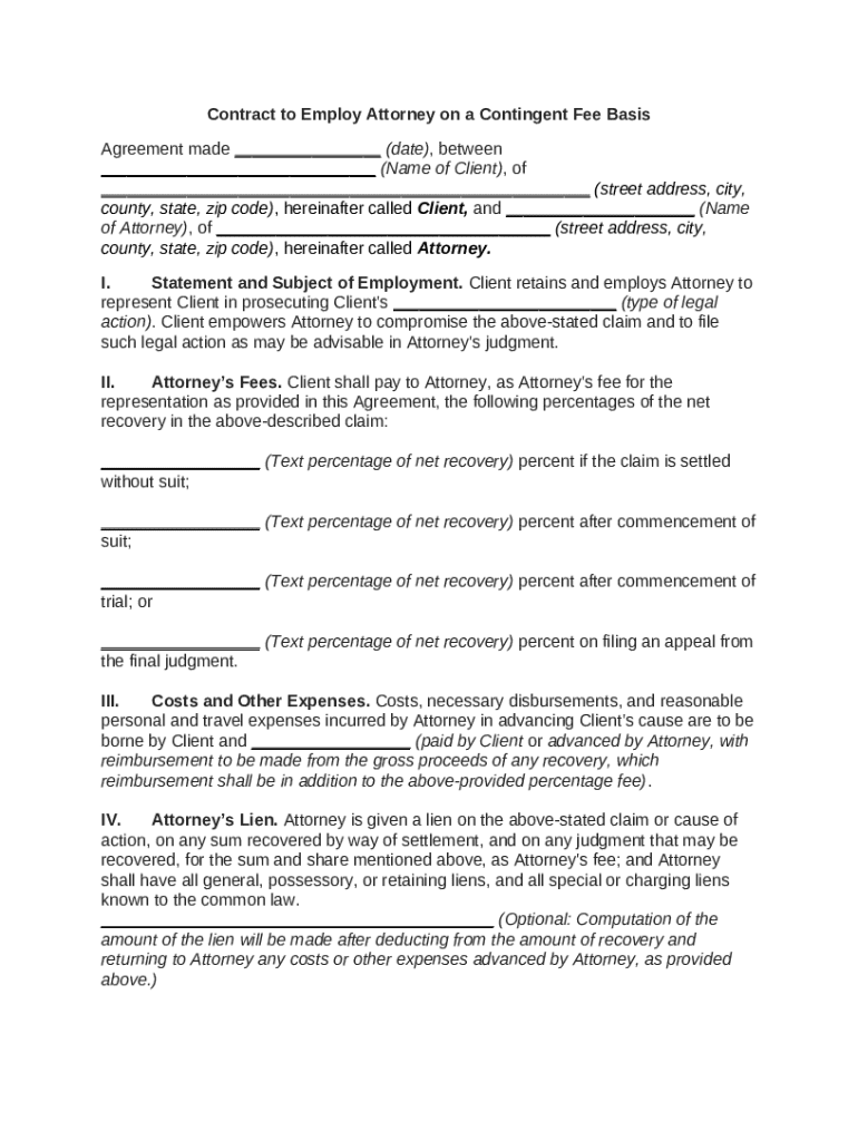
What is contingent fee attorney employment

The Contingent Fee Attorney Employment Agreement is a legal document used by clients to retain an attorney for legal representation on a contingent fee basis.

pdfFiller scores top ratings on review platforms

Users Most Likely To Recommend - Summer 2025
Grid Leader in Small-Business - Summer 2025
High Performer - Summer 2025
Regional Leader - Summer 2025
I really like the program, I wish there was an option to rotate pictures when you add to a file. Other than that I am very happy. Aaron Jarvis
Aaron J
HAVE ARTHRITIS IN HANDS AND MAKES IT EASIER TO FILL OUT FORMS FOR DOCTORS, ETC.
Cherry S
This is a really great PDF convertor. Very easy to use. The best I have seen. A very good find. I would recommend especially to fill out government documents that could be rejected because of bad handwriting.
MARK M
Need to know how to carry information over from one month to the next without re writing everything
Rick A
works well, although at times it is somewhat complicated
Anonymous Customer
I was refunded the automatic annual renewal charge by customer service representative after stating my frustration that I was paying for a service that I no longer needed. I greatly appreciate being treated how I treat customers! Thanks
Lucas H
Show more Show less
Fill fillable contingent fee attorney employment form: Try Risk Free
Rate free contingent fee attorney employment form
4.2
satisfied
48 votes

Who needs contingent fee attorney employment?

Explore how professionals across industries use pdfFiller.
Picture
Contingent fee attorney employment is needed by:
  • Clients seeking legal representation in a contingency setup
  • Attorneys looking to formalize employment agreements
  • Individuals involved in legal claims or lawsuits
  • Law firms specializing in contingency fee arrangements
  • People interested in understanding attorney client relationships
  • Legal professionals needing contract templates
  • Individuals researching attorney fees and agreements

Comprehensive Guide to contingent fee attorney employment

What is a Contingent Fee Attorney Employment Agreement?

A contingent fee attorney employment agreement is a legal document that formalizes the relationship between a client and an attorney when engaging legal representation. The main purpose of this agreement is to outline the fee structure, which is contingent upon the success of the legal claim. This type of agreement is significant because it allows clients to obtain legal services without upfront costs, making legal representation more accessible to those who might not otherwise afford it.
In this agreement, the attorney agrees to work on a contingency basis, meaning they only receive payment if the case is won. This arrangement provides an incentive for the attorney to achieve the best possible outcome for the client, as their fees are derived from the recovery obtained through legal action.

Purpose and Benefits of the Contingent Fee Attorney Employment Agreement

The primary reasons for using a contingent fee attorney employment agreement include making legal services accessible and sharing the risk of litigation between the client and attorney. Clients benefit from this structure as they are not required to pay attorney fees upfront, alleviating financial pressure during legal disputes.
Additionally, this agreement can motivate attorneys to invest substantial effort into a case since their compensation is directly linked to its success. Both clients and attorneys stand to gain from potential advantages, including a clear understanding of cost obligations and an aligned interest in achieving a favorable resolution.

Key Features of the Contingent Fee Attorney Employment Agreement

Essential elements included in the contingent fee attorney employment agreement often cover:
  • Fee structures tied to the outcome of the case.
  • Details about costs and expenses that may arise during representation.
  • Provisions regarding the attorney's lien on the compensation received.
  • The attorney's authority to hire experts and investigators as needed.
  • Conditions under which the attorney may withdraw or be discharged from the case.
These features ensure that all parties have a clear understanding of their rights and obligations throughout the legal process.

Who Needs the Contingent Fee Attorney Employment Agreement?

This agreement is particularly useful for individuals seeking legal representation who may be concerned about upfront costs. It is applicable in various scenarios, including personal injury claims, worker's compensation cases, and other areas where clients might pursue legal recourse without the financial ability to pay an attorney upfront.
Clients such as individuals, small businesses, or those involved in class action lawsuits may all require this type of agreement. Understanding the nature of their legal claims can help determine whether this fee structure is appropriate for their specific circumstances.

How to Fill Out the Contingent Fee Attorney Employment Agreement Online (Step-by-Step)

Filling out the contingent fee attorney employment agreement using pdfFiller involves the following steps:
  • Access the form on pdfFiller's platform.
  • Enter the agreement date in the specified field.
  • Complete your information in designated fields, ensuring accuracy.
  • Check all boxes relevant to your case and preferences.
  • Review the form for completeness before final submission.
It's advisable to double-check all entries for common mistakes, such as omitted details or incorrect spellings, to prevent future issues.

Common Errors and How to Avoid Them

When completing the contingent fee attorney employment agreement, some frequent errors include:
  • Failing to sign the document where required.
  • Leaving blank fields that need to be completed for validity.
  • Misunderstanding the terms of the fee structure.
To avoid these pitfalls, ensure thorough review and understanding of the agreement, as accuracy is crucial to prevent delays or potential rejections.

How to Sign the Contingent Fee Attorney Employment Agreement

The process of signing the contingent fee attorney employment agreement may vary between digital and traditional methods. A digital signature is often preferred for its convenience and speed, as it allows both parties to sign remotely without needing to be physically present.
Regardless of the signature method used, obtaining signatures from both the client and the attorney is essential, as this mutual agreement solidifies the legal arrangement.

How to Save and Share the Contingent Fee Attorney Employment Agreement

To save the contingent fee attorney employment agreement in PDF format, follow these steps in pdfFiller:
  • Complete the document based on the previous instructions.
  • Select the 'Download' option to save the file to your device.
  • Choose your preferred file location and confirm the save.
Additionally, pdfFiller offers various options for sharing the document with attorneys or other involved parties, enhancing collaboration during the signing process.

Security and Compliance for the Contingent Fee Attorney Employment Agreement

Users can be reassured about the security measures employed when handling sensitive documents, as pdfFiller utilizes 256-bit encryption to protect data. Compliance with regulations such as HIPAA and GDPR ensures that clients' information remains confidential and secure throughout the use of the platform.
These measures establish trust, allowing users to focus on the content of their agreements rather than on security concerns.

Get Started with Your Contingent Fee Attorney Employment Agreement

To begin utilizing pdfFiller for your contingent fee attorney employment agreement, access the platform to create, fill out, and manage your documentation needs. The user-friendly interface ensures a straightforward process, making it easy to achieve legal representation while maintaining document security.
Last updated on Apr 10, 2026

How to fill out the contingent fee attorney employment

  1. 1.
    To access the Contingent Fee Attorney Employment Agreement on pdfFiller, visit the pdfFiller website and log in to your account.
  2. 2.
    Use the search function to locate the form by entering the name of the document in the search bar, then click on the form to open it.
  3. 3.
    Before you begin filling out the form, gather all necessary information including details about the legal claim, attorney fees, and your personal information as a client.
  4. 4.
    Navigate through the form using pdfFiller's intuitive interface. Click on each field to enter information, ensuring you fill in all required fields accurately.
  5. 5.
    Pay attention to instructions in the form, such as specific dates, amounts, or contexts that need to be specified.
  6. 6.
    As you complete the form, review each section to ensure your entries are correct and complete, making use of pdfFiller's editing tools if necessary.
  7. 7.
    Once you have filled out the form, perform a final review to confirm that all necessary information is included and correctly stated.
  8. 8.
    When satisfied with your completion of the form, save it to your pdfFiller account or download it for printing.
  9. 9.
    You can also submit the completed form directly through pdfFiller if electronic submission is an option provided for your needs.
Regular content decoration

FAQs

If you can't find what you're looking for, please contact us anytime!
Clients seeking legal representation on a contingency fee basis and attorneys looking to formalize their working relationship can use this form.
While the agreement itself does not have a strict deadline, it should be completed and signed prior to the commencement of any legal representation.
You can submit the completed Contingent Fee Attorney Employment Agreement by saving it as a PDF and emailing it to your attorney, or you may present it in person.
Prepare your personal information, details of the legal claim, anticipated attorney fees, and any additional documentation that might support your case.
Common mistakes include leaving required fields blank, entering incorrect dates or amounts, and failing to review the agreement thoroughly before signing.
Processing times can vary. Once signed, it is effective immediately, but you should confirm with your attorney about any additional steps required.
Changes can be made if both parties agree, but it is advised to formalize any amendments in writing to avoid future disputes.
If you believe that this page should be taken down, please follow our DMCA take down process here .
This form may include fields for payment information. Data entered in these fields is not covered by PCI DSS compliance.