Get the free Cooperative Association Referendum Ballot
Show details
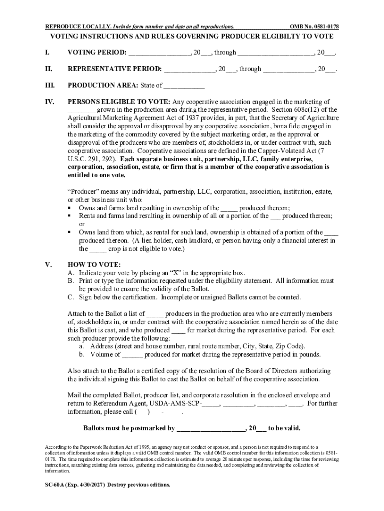
This document provides voting instructions for producers regarding their eligibility to vote in a referendum concerning the federal marketing order. It outlines the voting period, representative period,
We are not affiliated with any brand or entity on this form
Get, Create, Make and Sign cooperative association referendum ballot
Edit your cooperative association referendum ballot form online
Type text, complete fillable fields, insert images, highlight or blackout data for discretion, add comments, and more.
Add your legally-binding signature
Draw or type your signature, upload a signature image, or capture it with your digital camera.
Share your form instantly
Email, fax, or share your cooperative association referendum ballot form via URL. You can also download, print, or export forms to your preferred cloud storage service.
Editing cooperative association referendum ballot online
To use our professional PDF editor, follow these steps:
1
Create an account. Begin by choosing Start Free Trial and, if you are a new user, establish a profile.
2
Prepare a file. Use the Add New button to start a new project. Then, using your device, upload your file to the system by importing it from internal mail, the cloud, or adding its URL.
3
Edit cooperative association referendum ballot. Add and replace text, insert new objects, rearrange pages, add watermarks and page numbers, and more. Click Done when you are finished editing and go to the Documents tab to merge, split, lock or unlock the file.
4
Save your file. Select it from your list of records. Then, move your cursor to the right toolbar and choose one of the exporting options. You can save it in multiple formats, download it as a PDF, send it by email, or store it in the cloud, among other things.
It's easier to work with documents with pdfFiller than you can have ever thought. You may try it out for yourself by signing up for an account.
Uncompromising security for your PDF editing and eSignature needs
Your private information is safe with pdfFiller. We employ end-to-end encryption, secure cloud storage, and advanced access control to protect your documents and maintain regulatory compliance.
How to fill out cooperative association referendum ballot
How to fill out cooperative association referendum ballot
01
Read the instructions provided on the ballot carefully.
02
Verify your eligibility to vote in the cooperative association referendum.
03
Fill in your name and address where required on the ballot.
04
Review the proposed measures or articles that you will be voting on.
05
Clearly mark your vote on the ballot by using the designated area (e.g., filling in a circle or checking a box).
06
Double-check that your vote is clearly indicated and not ambiguous.
07
Follow the instructions for signing or initialing if required.
08
Submit your completed ballot as directed, whether by mail, in person, or electronically.
Who needs cooperative association referendum ballot?
01
Members of a cooperative association who are eligible to vote.
02
Individuals impacted by the decisions made by the cooperative association.
03
Stakeholders interested in the governance and operations of the cooperative.
Fill
form
: Try Risk Free
For pdfFiller’s FAQs
Below is a list of the most common customer questions. If you can’t find an answer to your question, please don’t hesitate to reach out to us.
How can I manage my cooperative association referendum ballot directly from Gmail?
cooperative association referendum ballot and other documents can be changed, filled out, and signed right in your Gmail inbox. You can use pdfFiller's add-on to do this, as well as other things. When you go to Google Workspace, you can find pdfFiller for Gmail. You should use the time you spend dealing with your documents and eSignatures for more important things, like going to the gym or going to the dentist.
How can I send cooperative association referendum ballot to be eSigned by others?
To distribute your cooperative association referendum ballot, simply send it to others and receive the eSigned document back instantly. Post or email a PDF that you've notarized online. Doing so requires never leaving your account.
How do I edit cooperative association referendum ballot online?
With pdfFiller, the editing process is straightforward. Open your cooperative association referendum ballot in the editor, which is highly intuitive and easy to use. There, you’ll be able to blackout, redact, type, and erase text, add images, draw arrows and lines, place sticky notes and text boxes, and much more.
What is cooperative association referendum ballot?
A cooperative association referendum ballot is a document used by members of a cooperative organization to vote on specific issues or proposals affecting the governance or operation of the cooperative.
Who is required to file cooperative association referendum ballot?
Typically, members of a cooperative association who are eligible to vote on referendums or decisions related to the cooperative are required to file the cooperative association referendum ballot.
How to fill out cooperative association referendum ballot?
To fill out a cooperative association referendum ballot, a member should read the instructions provided, mark their choice clearly for each issue or proposal, and submit the ballot by the specified deadline as per the cooperative's guidelines.
What is the purpose of cooperative association referendum ballot?
The purpose of a cooperative association referendum ballot is to gather the opinions and decisions of the members on significant issues, ensuring that actions taken by the cooperative reflect the will of its members.
What information must be reported on cooperative association referendum ballot?
The cooperative association referendum ballot must include information such as the name of the cooperative, a clear statement of the issues or proposals being voted on, options for members to select, and instructions for submitting the ballot.
Fill out your cooperative association referendum ballot online with pdfFiller!
pdfFiller is an end-to-end solution for managing, creating, and editing documents and forms in the cloud. Save time and hassle by preparing your tax forms online.
Cooperative Association Referendum Ballot is not the form you're looking for?Search for another form here.
Relevant keywords
Related Forms
If you believe that this page should be taken down, please follow our DMCA take down process
here
.
This form may include fields for payment information. Data entered in these fields is not covered by PCI DSS compliance.