Form preview

Get the free Cc 3:8g Rev. 07/2019

Get Form
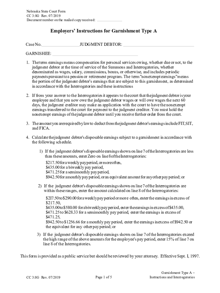
Este documento proporciona instrucciones y cuestionarios para la retencin de salarios en el estado de Nebraska, en relacin con el procedimiento de embargos de salarios.
We are not affiliated with any brand or entity on this form

Get, Create, Make and Sign cc 38g rev 072019

Edit
Edit your cc 38g rev 072019 form online
Type text, complete fillable fields, insert images, highlight or blackout data for discretion, add comments, and more.
Add
Add your legally-binding signature
Draw or type your signature, upload a signature image, or capture it with your digital camera.
Share
Share your form instantly
Email, fax, or share your cc 38g rev 072019 form via URL. You can also download, print, or export forms to your preferred cloud storage service.

Editing cc 38g rev 072019 online

9.5
Ease of Setup
pdfFiller User Ratings on G2
9.0
Ease of Use
pdfFiller User Ratings on G2
Here are the steps you need to follow to get started with our professional PDF editor:
1
Log in. Click Start Free Trial and create a profile if necessary.
2
Prepare a file. Use the Add New button. Then upload your file to the system from your device, importing it from internal mail, the cloud, or by adding its URL.
3
Edit cc 38g rev 072019. Replace text, adding objects, rearranging pages, and more. Then select the Documents tab to combine, divide, lock or unlock the file.
4
Save your file. Choose it from the list of records. Then, shift the pointer to the right toolbar and select one of the several exporting methods: save it in multiple formats, download it as a PDF, email it, or save it to the cloud.
With pdfFiller, it's always easy to work with documents.

Uncompromising security for your PDF editing and eSignature needs

Your private information is safe with pdfFiller. We employ end-to-end encryption, secure cloud storage, and advanced access control to protect your documents and maintain regulatory compliance.
GDPR
AICPA SOC 2
PCI
HIPAA
CCPA
FDA

How to fill out cc 38g rev 072019

Illustration

How to fill out cc 38g rev 072019

01
Obtain a copy of the CC 38G Rev 072019 form.
02
Carefully read the instructions provided with the form.
03
Fill in the personal information section, including your name and contact details.
04
Provide the required identification details as specified on the form.
05
Complete any relevant sections about your financial information or circumstances.
06
Review all entries for accuracy and completeness.
07
Sign and date the form as instructed.
08
Submit the completed form to the designated office or department.

Who needs cc 38g rev 072019?

01
Individuals applying for certain benefits or services related to the CC 38G Rev 072019 form.
02
People who are required to report financial or personal changes to government agencies.
03
Those who are seeking assistance or need to provide documentation regarding their situation.

A Comprehensive Guide to the 38g rev 072019 Form

Understanding the 38g rev 072019 form

The cc 38g rev 072019 form is a critical legal document used predominantly in various administrative and legal proceedings. Its primary purpose is to facilitate the submission of specific claims or requests to relevant authorities. This includes, but is not limited to, scenarios involving changes in status, updates in personal information, or submitting requests for necessary adjustments in an official capacity.

Legal significance: The form serves as a formal request recognized by governmental bodies and courts, ensuring that your applications are processed according to the law.
Common scenarios: Situations may arise in family law, civil representation, or administrative adjustments where this form becomes essential for making formal requests.

The revision from July 2019 introduced several notable changes aimed at improving usability and compliance, ensuring that users can navigate the form more effectively. This evolution acknowledges user feedback and the necessity for clearer instructions in completion.

Overview of key changes in the 072019 revision

This version reflects significant updates, enhancing clarity in sections and removing redundancy. Users benefit from a more streamlined design, allowing quicker navigation through the form, and faster, error-free submission.

Accessing the 38g rev 072019 form

Accessing the cc 38g rev 072019 form is critical for individuals and teams that need to submit it efficiently. The primary source for obtaining this form is online, with accessible options provided through pdfFiller.

PDF format download: Users can easily download the form in PDF format from the pdfFiller website, providing immediate access.
Alternative sources: Other websites may also host the form, but pdfFiller offers the most reliable and user-friendly interface for creating and managing documents.

Moreover, pdfFiller allows users to access the form from anywhere through cloud-based solutions. Mobile access also provides users with the flexibility to manage their submissions from various devices.

Filling out the 38g rev 072019 form

Filling out the cc 38g rev 072019 form accurately is essential to ensure compliance and prevent delays. Below is a step-by-step guide on how to complete the form.

Gathering required information: Collect all your personal documents, references, and any prior case information needed for specific entries.
Completing each section: Carefully fill in each field, ensuring accuracy and clarity. Pay special attention to instructions provided in the form to avoid any common pitfalls.
Common mistakes to avoid: Double-check for typos and ensure all sections are completed to prevent rejection of your submission.

Editing the 38g rev 072019 form

Editing your cc 38g rev 072019 form can be done seamlessly using pdfFiller’s features. Users can make corrections or adjustments to the form efficiently before its submission.

Overview of editing features: pdfFiller provides comprehensive editing tools that allow users to annotate, highlight, and modify various components within the document.
Making changes: Easily add or remove sections, and correct any mistakes that may have been flagged during proofreading.

With an array of interactive tools at your disposal, pdfFiller streamlines the editing process and enhances your document-editing experience.

Signing the 38g rev 072019 form

The cc 38g rev 072019 form often requires a signature to validate its submissions. pdfFiller offers robust e-signing options that simplify this process for users.

Creating an electronic signature: Users can effortlessly create and store an electronic signature on pdfFiller, making future signing quick and efficient.
Advantages of e-signing: E-signatures reduce paperwork, expedite the signing process, and often receive legal recognition that is equivalent to handwritten signatures.

Top-notch security ensures that your e-signatures are protected while maintaining compliance with legal standards, making this method highly reliable.

Collaborating on the 38g rev 072019 form

Collaboration on the cc 38g rev 072019 form becomes easier with pdfFiller’s sharing capabilities. Teams can work together efficiently, improving the overall quality of the submission.

Sharing the form: Users can easily send the form via email or shared links, enabling team members to access it without hassle.
Real-time feedback: pdfFiller allows users to leave comments or feedback directly on the document, facilitating productive discussions within teams.

Document management features help track changes and revisions, ensuring that everyone is on the same page, ultimately leading to a more polished final product.

Managing your completed 38g rev 072019 form

Once you have completed the cc 38g rev 072019 form, effective management of the document is crucial. Proper saving and storing practices can save you time and reduce stress.

Best practices for saving: Utilize the cloud storage available through pdfFiller to enhance accessibility and security, ensuring your document is not lost.
Retrieving and sending the form: Options for exporting to email or downloading the complete document as needed allow for versatility in how you manage the form.

Consider using clear naming conventions and organizing your files efficiently to facilitate easy retrieval in the future, especially when managing multiple documents.

Troubleshooting common issues

While using the cc 38g rev 072019 form might seem straightforward, users may encounter issues or complications along the way. Addressing these proactively can save time and reduce frustration.

Common problems: Technical difficulties with pdfFiller can arise. Users may experience formatting issues, inability to save changes, or delayed responses from the platform.
Customer support: pdfFiller provides several channels for support, including live chat and email, along with user communities and forums where users can seek advice.

Having a solid understanding of troubleshooting tips enhances your ability to manage the cc 38g rev 072019 form confidently, ensuring that your submissions are timely and compliant.

Additional tips and best practices

Improving the efficiency of your document workflow can significantly enhance productivity. Stay informed about updates and leverage various tools that pdfFiller offers.

Automation tools: Utilize automation features to streamline repetitive tasks, which ultimately saves time and reduces human error.
Stay updated: Regularly check for new revisions of forms and documents, ensuring you are using the latest versions to remain compliant.

By leveraging additional tools provided on pdfFiller, users can optimize their document management processes, ensuring consistent and smooth operations within teams.

Fill form : Try Risk Free
Users Most Likely To Recommend - Summer 2025
Grid Leader in Small-Business - Summer 2025
High Performer - Summer 2025
Regional Leader - Summer 2025
Easiest To Do Business With - Summer 2025
Best Meets Requirements- Summer 2025
Rate the form
4.5
Satisfied
26 Votes

For pdfFiller’s FAQs

Below is a list of the most common customer questions. If you can’t find an answer to your question, please don’t hesitate to reach out to us.

Filling out and eSigning cc 38g rev 072019 is now simple. The solution allows you to change and reorganize PDF text, add fillable fields, and eSign the document. Start a free trial of pdfFiller, the best document editing solution.
Create your eSignature using pdfFiller and then eSign your cc 38g rev 072019 immediately from your email with pdfFiller's Gmail add-on. To keep your signatures and signed papers, you must create an account.
On Android, use the pdfFiller mobile app to finish your cc 38g rev 072019. Adding, editing, deleting text, signing, annotating, and more are all available with the app. All you need is a smartphone and internet.
CC 38G Rev 072019 is a specific form used for reporting certain tax information or compliance related to tax obligations, designed by the relevant tax authority.
Individuals or entities that meet specific criteria set by the tax authority, typically those involved in certain financial transactions or taxpayer categories, are required to file CC 38G Rev 072019.
To fill out CC 38G Rev 072019, follow the provided instructions carefully, entering the required information in each section, ensuring accuracy and completeness before submission.
The purpose of CC 38G Rev 072019 is to gather specific financial information for compliance, reporting, or regulatory purposes by the tax authority.
The information that must be reported on CC 38G Rev 072019 typically includes taxpayer identification details, income, deductions, and other relevant financial data as specified in the form's instructions.
Fill out your cc 38g rev 072019 online with pdfFiller!

pdfFiller is an end-to-end solution for managing, creating, and editing documents and forms in the cloud. Save time and hassle by preparing your tax forms online.

Get started now
Form preview
If you believe that this page should be taken down, please follow our DMCA take down process here .
This form may include fields for payment information. Data entered in these fields is not covered by PCI DSS compliance.