Form preview

Get the free Checklist for Adult Sponsor / Safety Assessment Form (1)

Get Form
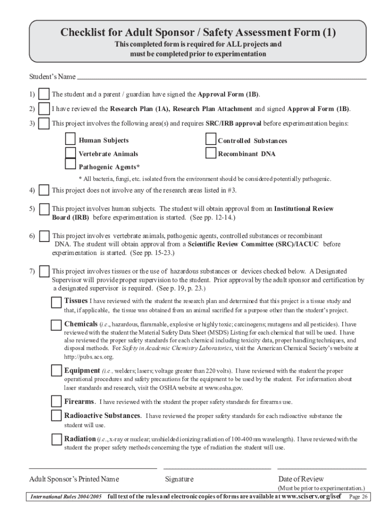
This form is required for all projects involving experimentation, detailing necessary approvals and safety assessments by adult sponsors and supervisory authorities.
We are not affiliated with any brand or entity on this form

Get, Create, Make and Sign checklist for adult sponsor

Edit
Edit your checklist for adult sponsor form online
Type text, complete fillable fields, insert images, highlight or blackout data for discretion, add comments, and more.
Add
Add your legally-binding signature
Draw or type your signature, upload a signature image, or capture it with your digital camera.
Share
Share your form instantly
Email, fax, or share your checklist for adult sponsor form via URL. You can also download, print, or export forms to your preferred cloud storage service.

Editing checklist for adult sponsor online

9.5
Ease of Setup
pdfFiller User Ratings on G2
9.0
Ease of Use
pdfFiller User Ratings on G2
In order to make advantage of the professional PDF editor, follow these steps below:
1
Create an account. Begin by choosing Start Free Trial and, if you are a new user, establish a profile.
2
Upload a file. Select Add New on your Dashboard and upload a file from your device or import it from the cloud, online, or internal mail. Then click Edit.
3
Edit checklist for adult sponsor. Rearrange and rotate pages, insert new and alter existing texts, add new objects, and take advantage of other helpful tools. Click Done to apply changes and return to your Dashboard. Go to the Documents tab to access merging, splitting, locking, or unlocking functions.
4
Save your file. Choose it from the list of records. Then, shift the pointer to the right toolbar and select one of the several exporting methods: save it in multiple formats, download it as a PDF, email it, or save it to the cloud.
With pdfFiller, dealing with documents is always straightforward. Now is the time to try it!

Uncompromising security for your PDF editing and eSignature needs

Your private information is safe with pdfFiller. We employ end-to-end encryption, secure cloud storage, and advanced access control to protect your documents and maintain regulatory compliance.
GDPR
AICPA SOC 2
PCI
HIPAA
CCPA
FDA

How to fill out checklist for adult sponsor

Illustration

How to fill out checklist for adult sponsor

01
Start by gathering necessary information about the adult sponsor, including name, contact details, and relationship to the participant.
02
Review the criteria for adult sponsors to ensure the individual meets all requirements.
03
Go through each item on the checklist, verifying that all documentation is complete and accurate.
04
Ensure that the sponsor has signed any required forms, indicating their consent and commitment.
05
Double-check for any additional information or verification needed, such as background checks.
06
Submit the completed checklist to the appropriate authority for approval.

Who needs checklist for adult sponsor?

01
Adults who wish to sponsor a minor in activities such as sports, events, or programs, ensuring their commitment and eligibility.
02
Organizations that require documentation for adult sponsors to maintain safety and compliance standards.

Checklist for Adult Sponsor Form: A Comprehensive Guide

Understanding the Adult Sponsor Form

The Adult Sponsor Form serves a crucial role in enabling adults to sponsor minors in various activities, such as educational competitions, clubs, or programs. This document is more than just a formality; it formalizes the commitment of the adult sponsor, ensuring adherence to specific rules and regulations outlined by sponsoring organizations.

In contexts like science fairs, youth sports, or nonprofit organizations, having a completed Adult Sponsor Form is essential. It validates the relationship between the sponsor and the minor, ensuring that adults are responsible for overseeing and guiding minors to comply with international rules and guidelines within the activities or projects they engage in.

Key components of the Adult Sponsor Form

Every Adult Sponsor Form typically includes several key components that you must pay attention to. These sections ensure that all necessary information is provided to maintain compliance with laws and policies governing sponsorship.

This section requires essential details such as the sponsor's name, contact information, and any relevant identification numbers. Accurate completion of this section is vital for identification and communication.
Here, you will detail the specific program or event. Include the name, date, location, and description, ensuring clarity for all involved parties about the context of the sponsorship.
The importance of signatures cannot be overstated. Each sponsor must sign and date the form to acknowledge their responsibilities formally.
This section outlines the consent required from the sponsor and often includes liability waivers. Understanding these terms is critical to ensure proper legal compliance.

Step-by-step guide to completing the Adult Sponsor Form

Completing the Adult Sponsor Form can seem daunting, but with a structured approach, it becomes manageable. Follow these steps to ensure you properly fill out the form.

Before diving into the form, collect all necessary information such as personal identification, event details, and any research project summaries relevant to the sponsorship.
Accurately complete all fields in this section. Double-check for any errors, as incorrect information could lead to processing delays.
Clearly indicate the name, date, and specifics of the program. Ensure this is aligned with any submitted project summaries.
Take the time to read and understand the consent clauses. Knowing your rights and obligations is vital for both you and the participant.
Finally, ensure that all required signatures are gathered. This may involve coordinating with others, such as co-sponsors or project leads.

Common mistakes to avoid when filling out the form

Filling out the Adult Sponsor Form can come with pitfalls. Awareness of common mistakes can help you avoid them.

Ensure all sections are filled out completely. Leaving any parts blank can lead to delays or rejections.
Use current and accurate data. Double-check the details you provide against official records.
Failure to secure all necessary signatures can invalidate the form. Always confirm that all parties have signed.
Be aware of deadlines set by the sponsoring organization. Late submissions may result in disqualification.

Best practices for managing your Adult Sponsor Form

Managing your Adult Sponsor Form effectively can streamline your experience. Consider these best practices to enhance efficiency.

Utilize cloud-based platforms like pdfFiller to store your forms securely. This allows for easy access and updates whenever necessary.
After submitting, keep track of confirmations. Follow up directly with the organization if you do not receive a response in a timely manner.
Communicate with your team throughout the process. Utilize collaboration tools available in pdfFiller to ensure everyone is on the same page.

Frequently asked questions (FAQs)

Navigating the nuances of an Adult Sponsor Form can lead to questions. Here are some common queries addressed.

If you discover an error after submission, contact the issuing organization promptly for guidance on making corrections.
Most organizations allow for amendments. Contact them directly to understand their process for changing submitted information.
Improper completion can lead to application denial, delays in the approval process, or legal repercussions.

Accessing the Adult Sponsor Form online

Finding and filling out the Adult Sponsor Form online is easy, especially on platforms like pdfFiller. Here’s how you can navigate to the form and utilize its features.

Go to pdfFiller's website and enter 'Adult Sponsor Form' in the search bar. The platform will guide you to the correct document.
Once opened, you can fill, edit, and adjust the form as needed, ensuring it meets all requirements before submission.
Use pdfFiller’s eSigning feature to sign the document digitally, reducing the need for printing and scanning.

Enhancing the experience with pdfFiller

The use of pdfFiller goes beyond simple form filling. It provides substantial benefits for document management, especially for collaborative projects.

Cloud storage ensures your documents are accessible from anywhere. This is ideal for coordinating with team members across different locations.
Collaborate in real-time with team members, allowing for seamless discussion and instant updates to the document.
With security protocols in place, pdfFiller safeguards all user data, ensuring compliance and protection for sensitive information.

Additional tools to streamline your form submission

By integrating additional tools and features, you can streamline the process of managing forms and submissions effectively.

pdfFiller can connect with various tools and environments, ensuring that your document management processes create a cohesive workflow.
Leverage templates available on pdfFiller for various sponsorship forms and documentation, reducing the time spent on formatting and initial entry.

User testimonials and case studies

Many users have found great success by utilizing pdfFiller for their document needs. These case studies highlight the effectiveness of the platform.

Users have reported significant time savings and improved collaboration when using pdfFiller for forms like the Adult Sponsor Form.
Efficiency gains are evident through reduced submission errors and quicker processing times for approval of documents.
Fill form : Try Risk Free
Users Most Likely To Recommend - Summer 2025
Grid Leader in Small-Business - Summer 2025
High Performer - Summer 2025
Regional Leader - Summer 2025
Easiest To Do Business With - Summer 2025
Best Meets Requirements- Summer 2025
Rate the form
4.4
Satisfied
45 Votes

For pdfFiller’s FAQs

Below is a list of the most common customer questions. If you can’t find an answer to your question, please don’t hesitate to reach out to us.

To distribute your checklist for adult sponsor, simply send it to others and receive the eSigned document back instantly. Post or email a PDF that you've notarized online. Doing so requires never leaving your account.
Create, edit, and share checklist for adult sponsor from your iOS smartphone with the pdfFiller mobile app. Installing it from the Apple Store takes only a few seconds. You may take advantage of a free trial and select a subscription that meets your needs.
With the pdfFiller mobile app for Android, you may make modifications to PDF files such as checklist for adult sponsor. Documents may be edited, signed, and sent directly from your mobile device. Install the app and you'll be able to manage your documents from anywhere.
A checklist for adult sponsor is a tool used to ensure that all necessary requirements and information are gathered and submitted by an adult sponsor who is supporting a participant in a program, such as youth activities or events.
The adult sponsor is typically required to file the checklist, especially if they are overseeing or supporting a youth participant in a specific program or event.
To fill out the checklist, the adult sponsor should review each item, provide the requested information, and ensure that all necessary documentation is attached before submitting it to the relevant authority or organization.
The purpose of the checklist is to facilitate the collection of critical information and ensure compliance with program requirements, thereby enhancing the safety and management of youth participants.
The information that must be reported typically includes the sponsor's contact details, relationship to the participant, consent statements, and any relevant qualifications or certifications.
Fill out your checklist for adult sponsor online with pdfFiller!

pdfFiller is an end-to-end solution for managing, creating, and editing documents and forms in the cloud. Save time and hassle by preparing your tax forms online.

Get started now
Form preview
If you believe that this page should be taken down, please follow our DMCA take down process here .
This form may include fields for payment information. Data entered in these fields is not covered by PCI DSS compliance.