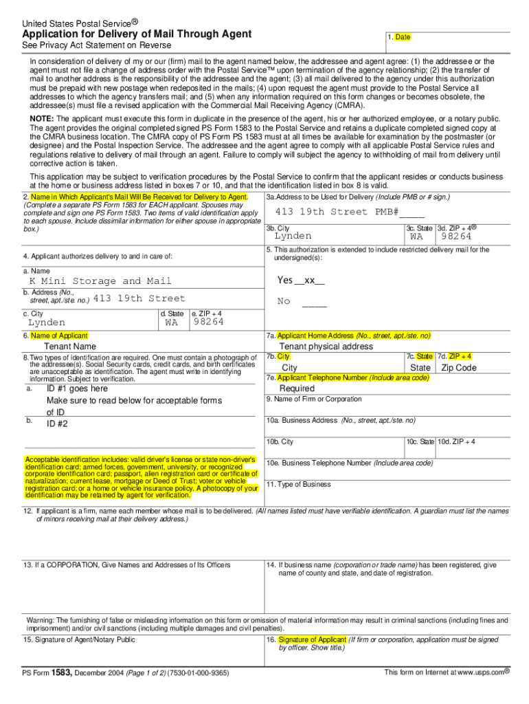
Form preview

Get the free USPS Form 1583 Mail Delivery Authorization

Get Form
We are not affiliated with any brand or entity on this form
Illustration
Fill out
Complete the form online in a simple drag-and-drop editor.
Illustration
eSign
Add your legally binding signature or send the form for signing.
Illustration
Share
Share the form via a link, letting anyone fill it out from any device.
Illustration
Export
Download, print, email, or move the form to your cloud storage.

Why pdfFiller is the best tool for your documents and forms

GDPR
AICPA SOC 2
PCI
HIPAA
CCPA
FDA

End-to-end document management

From editing and signing to collaboration and tracking, pdfFiller has everything you need to get your documents done quickly and efficiently.

Accessible from anywhere

pdfFiller is fully cloud-based. This means you can edit, sign, and share documents from anywhere using your computer, smartphone, or tablet.

Secure and compliant

pdfFiller lets you securely manage documents following global laws like ESIGN, CCPA, and GDPR. It's also HIPAA and SOC 2 compliant.
Form preview

What is USPS Form 1583

The USPS Form 1583 Mail Delivery Authorization is a government document used by individuals to authorize mail delivery through an agent.

pdfFiller scores top ratings on review platforms

Users Most Likely To Recommend - Summer 2025
Grid Leader in Small-Business - Summer 2025
High Performer - Summer 2025
Regional Leader - Summer 2025
Show more Show less
Fill fillable USPS 1583 form: Try Risk Free
Rate free USPS 1583 form
4.2
satisfied
38 votes

Who needs USPS Form 1583?

Explore how professionals across industries use pdfFiller.
Picture
USPS Form 1583 is needed by:
  • Individuals needing a reliable mail delivery service through an agent.
  • Small business owners who require alternative mail handling solutions.
  • Residents using a virtual mailbox for managing postal services.
  • People traveling frequently and wanting to ensure mail security.
  • Authorized agents who manage mail for clients.

Comprehensive Guide to USPS Form 1583

What is the USPS Form 1583 Mail Delivery Authorization?

The USPS Form 1583 serves as a critical document for individuals and businesses looking to authorize mail delivery through an agent. This form allows applicants to designate a person to collect their mail on their behalf, a function essential for various private and professional scenarios. The parties involved in this authorization are the applicant, who initiates the request, and the agent, who carries out the mail collection.
The need for a USPS authorization form arises from the necessity to ensure that only trusted individuals are permitted to handle sensitive mail, thus providing a layer of security and accountability in mail delivery.

Purpose and Benefits of the USPS Form 1583 Mail Delivery Authorization

One of the key advantages of the USPS Form 1583 is the reliability it offers for mail delivery through authorized agents. By using this postal service form, individuals can efficiently manage their mail, particularly useful for those who travel frequently or cannot receive mail at their permanent address. This form also emphasizes legal compliance, as it requires signatures and notarization, ensuring that the authorization process is both valid and secure.

Key Features of the USPS Form 1583 Mail Delivery Authorization

The USPS Form 1583 includes several critical attributes, such as detailed sections requiring information from both the applicant and the designated agent. This information includes names, addresses, and identification details. Additionally, the form mandates notarization and verification procedures conducted by the Postal Service, ensuring its authenticity and adherence to regulations.
  • Standard format with clearly defined sections
  • Information requirements for both applicant and agent
  • Verification procedures by the Postal Service

Who Needs the USPS Form 1583 Mail Delivery Authorization?

This form is primarily designed for individuals who need to authorize another person to collect their mail. It is particularly useful for those who may be unavailable to receive their mail personally or who wish to delegate these responsibilities. Additionally, businesses or organizations that require an agent for postal services will find this form essential.
Scenarios such as moving to a new location, being away for extended periods, or needing assistance with mail collection all necessitate the use of the USPS Form 1583.

How to Fill Out the USPS Form 1583 Mail Delivery Authorization Online

To fill out the USPS Form 1583 online, follow these steps:
  • Access the form through the official website.
  • Gather necessary personal information such as name, address, and identification.
  • Follow field-by-field instructions for accurate completion.
  • Avoid common mistakes by double-checking entries for accuracy and completeness.
Taking these steps will streamline your form-filling experience, ensuring you correctly complete the mail agent authorization.

How to Sign or Notarize the USPS Form 1583 Mail Delivery Authorization

The signing and notarization process for the USPS Form 1583 includes both digital and wet signature alternatives. It's important to understand the notarization requirements, as this adds an essential layer of validity to the authorization. Notarization assures the Postal Service that the application has been verified by a trusted official.
  • Check if an in-person notarization is needed.
  • Find a notary if you do not have one readily available.
  • Understand the local requirements for notarization.

Submission Methods for the USPS Form 1583 Mail Delivery Authorization

Users can submit the USPS Form 1583 through various methods, ensuring flexibility and convenience in the process:
  • Online submission via the Postal Service website
  • In-person delivery at designated Postal Service locations
Be aware that there may be fees associated with the submission, which can vary based on the chosen method. Additionally, it's crucial to adhere to deadlines related to submission and processing to ensure seamless authorization.

What Happens After You Submit the USPS Form 1583 Mail Delivery Authorization?

Once submitted, the Postal Service will conduct a verification process for the USPS Form 1583. This process is vital for confirming the authenticity of the authorization. Users can expect varying durations for processing, depending on the verification workload.
To stay informed, applicants can track the application status after submission, providing peace of mind regarding their mail delivery authorization.

How pdfFiller Simplifies the USPS Form 1583 Mail Delivery Authorization Process

pdfFiller streamlines the USPS Form 1583 process with a user-friendly platform that allows seamless editing, signing, and submitting of documents. Security is a top priority, as pdfFiller employs robust measures like 256-bit encryption to protect sensitive information.
  • Easy editing and customization of forms
  • Secure handling of personal data
  • User-friendly interface enhances usability

Final Thoughts on Using the USPS Form 1583 Mail Delivery Authorization

Completing the USPS Form 1583 accurately ensures reliable mail delivery through authorized agents, making it a powerful tool for those who require assistance with their mail. Utilizing trusted platforms like pdfFiller can further enhance the efficiency and security of the process.
Last updated on Nov 16, 2014

How to fill out the USPS Form 1583

  1. 1.
    To access the USPS Form 1583 on pdfFiller, visit the pdfFiller website and use the search function to locate the form by name.
  2. 2.
    Once the form is open, familiarize yourself with the layout. The form includes fields for essential applicant and agent information.
  3. 3.
    Before filling out the form, gather necessary documents, such as identification for both parties and any additional information required by the Postal Service.
  4. 4.
    Begin by entering the applicant’s full name, address, and contact information in the designated fields.
  5. 5.
    Next, fill in the agent’s information, including their name, address, and contact details, ensuring all entries are accurate.
  6. 6.
    If required, refer to the instructions provided within the form for guidance on completing checkboxes and signatures.
  7. 7.
    After completing all fields, review your entries carefully. Ensure that both the applicant and agent have signed where necessary.
  8. 8.
    If notarization is needed, locate a notary public to sign the form to comply with Postal Service requirements.
  9. 9.
    Finally, save your completed form by clicking the 'Save' button on pdfFiller. You can also download the form or submit it directly through the platform, following the on-screen instructions to finalize submission.
Regular content decoration

FAQs

If you can't find what you're looking for, please contact us anytime!
To use USPS Form 1583, applicants must have valid identification and provide accurate information about their mailing needs. Both the applicant and agent must sign the form.
While there are no strict deadlines for submitting USPS Form 1583, it is recommended to complete it before utilizing an agent for mail delivery to ensure uninterrupted service.
USPS Form 1583 can be submitted either in person at your local postal service office or can be faxed to the appropriate postal facility, depending on your location's guidelines.
Along with USPS Form 1583, applicants must provide valid identification and any documentation that verifies the agent's authority to handle the mail on behalf of the applicant.
Common mistakes include failing to sign the form, not providing complete identification details, and neglecting to properly notarize the document if required.
Processing times for USPS Form 1583 can vary based on location, but typically you can expect verification to be completed within a few business days.
For situation-specific concerns relating to USPS Form 1583, reaching out to your local postal office or visiting the USPS website can provide tailored assistance.
If you believe that this page should be taken down, please follow our DMCA take down process here .
This form may include fields for payment information. Data entered in these fields is not covered by PCI DSS compliance.