
Get the free Transfer on Death Agreement (PDF) - Chase Bank
Show details
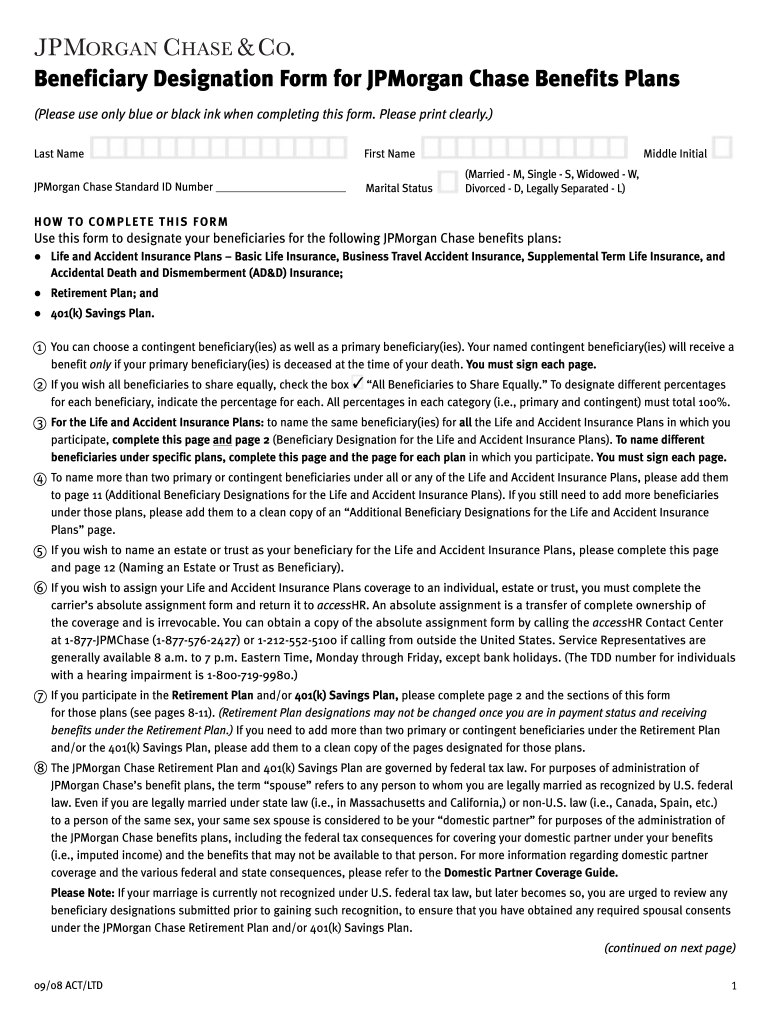
Beneficiary Designation Form for JPMorgan Chase Benefits Plans (Please use only blue or black ink when completing this form. Please print clearly.) Last NameFirst NameJPMorgan Chase Standard ID Number
We are not affiliated with any brand or entity on this form
Get, Create, Make and Sign transfer on death agreement

Edit your transfer on death agreement form online
Type text, complete fillable fields, insert images, highlight or blackout data for discretion, add comments, and more.

Add your legally-binding signature
Draw or type your signature, upload a signature image, or capture it with your digital camera.

Share your form instantly
Email, fax, or share your transfer on death agreement form via URL. You can also download, print, or export forms to your preferred cloud storage service.
Editing transfer on death agreement online
Here are the steps you need to follow to get started with our professional PDF editor:
1
Register the account. Begin by clicking Start Free Trial and create a profile if you are a new user.
2
Simply add a document. Select Add New from your Dashboard and import a file into the system by uploading it from your device or importing it via the cloud, online, or internal mail. Then click Begin editing.
3
Edit transfer on death agreement. Replace text, adding objects, rearranging pages, and more. Then select the Documents tab to combine, divide, lock or unlock the file.
4
Save your file. Select it from your list of records. Then, move your cursor to the right toolbar and choose one of the exporting options. You can save it in multiple formats, download it as a PDF, send it by email, or store it in the cloud, among other things.
With pdfFiller, it's always easy to work with documents. Check it out!
Uncompromising security for your PDF editing and eSignature needs
Your private information is safe with pdfFiller. We employ end-to-end encryption, secure cloud storage, and advanced access control to protect your documents and maintain regulatory compliance.
How to fill out transfer on death agreement

How to fill out transfer on death agreement
01
To fill out a transfer on death agreement, follow these steps:
02
Obtain the necessary forms: Contact your bank, financial institution, or a lawyer to obtain the transfer on death agreement forms.
03
Read the instructions: Carefully read the instructions provided with the forms to understand the requirements and legal implications.
04
Gather necessary information: Gather all the necessary information required for the agreement, such as the names and contact details of the beneficiaries, the specific assets or property to be transferred, and any specific conditions or instructions.
05
Fill in the forms: Fill in the forms, providing accurate and complete information.
06
Review and double-check: Review the filled forms to ensure all information is accurate and complete. Double-check for any errors or omissions.
07
Sign the agreement: Sign the agreement in the presence of a notary public or witnesses (depending on the jurisdiction) as required.
08
Keep copies: Make copies of the completed and signed agreement for your records.
09
Notify beneficiaries: Inform the beneficiaries named in the agreement about their inclusion and provide them with a copy of the agreement if required.
10
Safely store the agreement: Keep the original signed agreement in a safe and accessible place, such as a secure folder or a safe deposit box.
11
Note: It is advisable to consult with a lawyer or legal professional for guidance specific to your circumstances and jurisdiction.
Who needs transfer on death agreement?
01
Transfer on death agreements can be beneficial for individuals who:
02
- Want to ensure a smooth transfer of assets or property to specific beneficiaries upon their death.
03
- Wish to avoid the probate process, which can be time-consuming and costly.
04
- Desire to maintain privacy regarding the distribution of their assets.
05
- Have specific conditions or instructions they want to be followed after their death.
06
- Possess assets or property that may appreciate in value, such as investments, real estate, or valuable possessions.
07
It is important to consult with a lawyer or legal professional to determine if a transfer on death agreement is suitable for your specific situation and jurisdiction.
Fill
form
: Try Risk Free
For pdfFiller’s FAQs
Below is a list of the most common customer questions. If you can’t find an answer to your question, please don’t hesitate to reach out to us.
How do I make changes in transfer on death agreement?
pdfFiller not only lets you change the content of your files, but you can also change the number and order of pages. Upload your transfer on death agreement to the editor and make any changes in a few clicks. The editor lets you black out, type, and erase text in PDFs. You can also add images, sticky notes, and text boxes, as well as many other things.
How do I complete transfer on death agreement on an iOS device?
Download and install the pdfFiller iOS app. Then, launch the app and log in or create an account to have access to all of the editing tools of the solution. Upload your transfer on death agreement from your device or cloud storage to open it, or input the document URL. After filling out all of the essential areas in the document and eSigning it (if necessary), you may save it or share it with others.
How do I edit transfer on death agreement on an Android device?
You can make any changes to PDF files, like transfer on death agreement, with the help of the pdfFiller Android app. Edit, sign, and send documents right from your phone or tablet. You can use the app to make document management easier wherever you are.
Fill out your transfer on death agreement online with pdfFiller!
pdfFiller is an end-to-end solution for managing, creating, and editing documents and forms in the cloud. Save time and hassle by preparing your tax forms online.

Transfer On Death Agreement is not the form you're looking for?Search for another form here.
Relevant keywords
Related Forms
If you believe that this page should be taken down, please follow our DMCA take down process
here
.
This form may include fields for payment information. Data entered in these fields is not covered by PCI DSS compliance.