Form preview

Get the free Sum and Difference Identities & Formulas - Sine, Cosine ...

Get Form
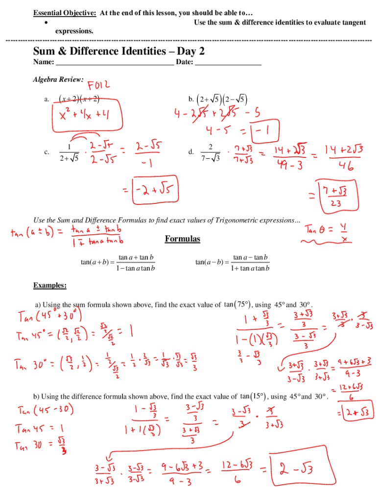
Essential Objective: At the end of this lesson, you should be able to Use the sum & difference identities to evaluate tangent expressions. Sum & Difference Identities Day 2 Name: ___ Date: ___ Algebra Review:a. x 2 x 2 b. 2 5 2 5c.1 2 5d.2 7 3Use the Sum and Difference
We are not affiliated with any brand or entity on this form

Get, Create, Make and Sign sum and difference identities

Edit
Edit your sum and difference identities form online
Type text, complete fillable fields, insert images, highlight or blackout data for discretion, add comments, and more.
Add
Add your legally-binding signature
Draw or type your signature, upload a signature image, or capture it with your digital camera.
Share
Share your form instantly
Email, fax, or share your sum and difference identities form via URL. You can also download, print, or export forms to your preferred cloud storage service.

How to edit sum and difference identities online

9.5
Ease of Setup
pdfFiller User Ratings on G2
9.0
Ease of Use
pdfFiller User Ratings on G2
To use our professional PDF editor, follow these steps:
1
Log in. Click Start Free Trial and create a profile if necessary.
2
Simply add a document. Select Add New from your Dashboard and import a file into the system by uploading it from your device or importing it via the cloud, online, or internal mail. Then click Begin editing.
3
Edit sum and difference identities. Rearrange and rotate pages, insert new and alter existing texts, add new objects, and take advantage of other helpful tools. Click Done to apply changes and return to your Dashboard. Go to the Documents tab to access merging, splitting, locking, or unlocking functions.
4
Save your file. Select it from your records list. Then, click the right toolbar and select one of the various exporting options: save in numerous formats, download as PDF, email, or cloud.
With pdfFiller, dealing with documents is always straightforward.

Uncompromising security for your PDF editing and eSignature needs

Your private information is safe with pdfFiller. We employ end-to-end encryption, secure cloud storage, and advanced access control to protect your documents and maintain regulatory compliance.
GDPR
AICPA SOC 2
PCI
HIPAA
CCPA
FDA

How to fill out sum and difference identities

Illustration

How to fill out sum and difference identities

01
Identify the angles involved in the sum or difference identity, such as A and B.
02
Locate the appropriate sum or difference identity formula from trigonometric identities.
03
If using a sum identity, plug A and B into the formula: sin(A + B) = sin A cos B + cos A sin B.
04
If using a difference identity, plug A and B into the formula: sin(A - B) = sin A cos B - cos A sin B.
05
Evaluate the sine and cosine values for the given angles A and B.
06
Substitute these values into the identity to find the result.

Who needs sum and difference identities?

01
Students studying trigonometry for computations involving angles.
02
Engineers working with wave functions and oscillations.
03
Mathematicians involved in analytical geometry and calculus.
04
Physicists exploring concepts like angular motion and periodic phenomena.

Sum and difference identities: A comprehensive guide

Understanding sum and difference identities

Sum and difference identities are fundamental equations in trigonometry that express trigonometric functions of sums or differences of angles in terms of functions of the individual angles. These identities empower mathematicians and students to manipulate and simplify trigonometric expressions effectively.

Understanding these identities is crucial not only for tackling basic trigonometric problems but also for more complex applications in calculus, physics, and engineering. By enabling us to rewrite trigonometric functions, these identities facilitate the solution of equations and integrals that might otherwise be difficult to approach.

Simplification: Reduce complex trigonometric expressions to more manageable forms.
Equation solving: Provide tools for solving trigonometric equations.
Calculus applications: Aid in evaluating integrals and derivatives involving trigonometric functions.
Real-world applications: Offer solutions to problems in physics, engineering, and other fields.

Overview of key formulas

The following are the essential sum and difference formulas for the three primary trigonometric functions: sine, cosine, and tangent. These formulas form the backbone of trigonometric manipulation.

SinA * CosB + CosA * SinB
SinA * CosB - CosA * SinB
CosA * CosB - SinA * SinB
CosA * CosB + SinA * SinB
(TanA + TanB) / (1 - TanA * TanB)
(TanA - TanB) / (1 + TanA * TanB)

Proof of sum and difference identities

The validity of sum and difference identities can be demonstrated through geometric and algebraic proofs. Starting with sine identities, we can use the unit circle concept to derive these expressions. Considering coordinates of points on the circle, the identities can be derived.

1. Consider points on the unit circle defined by angles A and B. 2. Decompose sine and cosine into coordinates. 3. Express resultant angles.
1. Use coordinates related to angles A and B. 2. Utilize Pythagorean identities. 3. Show equivalent trigonometric forms.
1. Use the definitions of tangent in terms of sine and cosine. 2. Substitute derived identities. 3. Simplify to confirm the ratios.

Practical applications of sum and difference formulas

Sum and difference identities have diverse applications beyond mere calculations. They are foundational in solving trigonometric equations, simplifying complex models, and even modeling real-life phenomena. For instance, in physics, they are applied in wave functions and harmonic motion.

Here are a few ways these identities come into play:

Solving equations: Apply identities to equations requiring simplification.
Modeling real-world phenomena: Utilize trigonometric identities in physics and engineering problems.
Analysis in calculus: Integrate or differentiate functions involving trigonometry.

How to use sum and difference identities

Using sum and difference identities involves various steps. First, identify when an identity will simplify your problem. Next, select the appropriate formula based on your needs, and then apply it through calculated steps.

Identify the need for an identity: Check if utilizing the identity will simplify the expression.
Select the appropriate formula: Match your expression with the sum or difference formula.
Apply through step-by-step calculations: Break down the expression as per the chosen identity.

Common problems using sum and difference identities

Practicing with specific examples can solidify your understanding of sum and difference identities. Calculating exact values using these identities helps illustrate their utility.

Evaluate cos(105°) using cos(60° + 45°).
Calculate sin(15°) using sin(45° - 30°).
Compute tan(75°) leveraging tan(45° + 30°).

Advanced applications and examples

Beyond basic calculations, sum and difference identities play a crucial role in researching and validating more complex trigonometric identities. An example involves verifying Sin(a + b) = SinA * CosB + CosA * SinB.

Verification of Sin(a + b) through angle addition.
A real-world application in engineering involving wave interference.
Expanding and simplifying expressions using derived identities.

Visualizing the identities

Visualization aids understanding of sum and difference identities significantly. By graphically representing these identities, students can see how angles interact on the unit circle.

Moreover, incorporating interactive tools like dynamic geometry software and animated videos can enhance comprehension of these identities’ relationships.

Practice problems and exercises

Engaging in practice sets reinforces mastery of sum and difference identities. Problems can range from basic identification of formulas to more complex calculations.

Multiple choice questions to evaluate understanding of sum and difference identities.
Solving direct problems using sum and difference identities.
Complex problems involving verification and simplification.

Frequently asked questions (FAQs)

Curiosity often leads to questions about the scope and utility of sum and difference identities in mathematics. For instance, many wonder how these identities fit into calculus or how to memorize them effectively.

Six primary identities for sine, cosine, and tangent based on sums and differences.
Integral and derivative evaluations involving trigonometric functions.
Utilize mnemonic devices or practice to reinforce memory of identities.
Facilitates problem-solving in both theoretical and practical contexts.

Additional learning tools

To enhance learning experiences regarding sum and difference identities, various tools can be utilized. Flashcards provide a swift method for memorization, while summary videos can clarify complex concepts.

Timed challenges to memorize identities.
Visual explanations of identity applications.
Self-assessment tools to gauge understanding and application.
Fill form : Try Risk Free
Users Most Likely To Recommend - Summer 2025
Grid Leader in Small-Business - Summer 2025
High Performer - Summer 2025
Regional Leader - Summer 2025
Easiest To Do Business With - Summer 2025
Best Meets Requirements- Summer 2025
Rate the form
4.2
Satisfied
26 Votes

For pdfFiller’s FAQs

Below is a list of the most common customer questions. If you can’t find an answer to your question, please don’t hesitate to reach out to us.

When you're ready to share your sum and difference identities, you can send it to other people and get the eSigned document back just as quickly. Share your PDF by email, fax, text message, or USPS mail. You can also notarize your PDF on the web. You don't have to leave your account to do this.
Make sure you get and install the pdfFiller iOS app. Next, open the app and log in or set up an account to use all of the solution's editing tools. If you want to open your sum and difference identities, you can upload it from your device or cloud storage, or you can type the document's URL into the box on the right. After you fill in all of the required fields in the document and eSign it, if that is required, you can save or share it with other people.
The pdfFiller app for Android allows you to edit PDF files like sum and difference identities. Mobile document editing, signing, and sending. Install the app to ease document management anywhere.
Sum and difference identities are mathematical formulas used in trigonometry to express the sine, cosine, and tangent of the sum or difference of two angles in terms of the sine and cosine of the individual angles. They are important for simplifying the calculations involving trigonometric functions.
There is no requirement to 'file' sum and difference identities as they are mathematical expressions used for calculations rather than documents that need to be submitted. However, students, mathematicians, and engineers often utilize them in various applications.
To use sum and difference identities, one must identify the angles involved. For the sine and cosine identities, use the formulas: sin(A ± B) = sin(A)cos(B) ± cos(A)sin(B) and cos(A ± B) = cos(A)cos(B) ∓ sin(A)sin(B). Substitute the known values of angles A and B into these formulas to compute the desired trigonometric results.
The purpose of sum and difference identities is to simplify the calculation of trigonometric functions when dealing with the sum or difference of angles. They help in solving problems in trigonometry, calculus, physics, and engineering.
There is no formal reporting requirement for sum and difference identities. However, when applying these identities, one should report or document the angles used and the results obtained after applying the identities in calculations or proofs.
Fill out your sum and difference identities online with pdfFiller!

pdfFiller is an end-to-end solution for managing, creating, and editing documents and forms in the cloud. Save time and hassle by preparing your tax forms online.

Get started now
Form preview

Related Forms

If you believe that this page should be taken down, please follow our DMCA take down process here .
This form may include fields for payment information. Data entered in these fields is not covered by PCI DSS compliance.