Form preview

Get the free NAR Settlement and IR Forms FAQ - Idaho REALTORS

Get Form
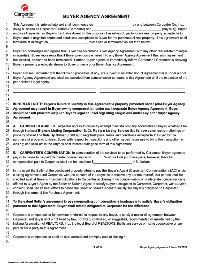
BUYER AGENCY AGREEMENT 1 2 3 4 5 6 7 8 9 10 11 12 13 14 15 16 17 18 19 20 21 22 23 24 25 26 27 28 29 30 31 32 33 34 35 36 37 38 39 40 41 42 43 44 45 46 47 48 49 50This Agreement is entered into and shall commence on ___ by and between Carpenter Co. Inc., doing business as Carpenter Realtors (Carpenter) and ___ (Buyer(s)). Buyer employs Carpenter as Buyers Exclusive Agent for the purpose of assisting Buyer to locate real property acceptable to Buyer, and to negotiate terms and conditions...
We are not affiliated with any brand or entity on this form

Get, Create, Make and Sign nar settlement and ir

Edit
Edit your nar settlement and ir form online
Type text, complete fillable fields, insert images, highlight or blackout data for discretion, add comments, and more.
Add
Add your legally-binding signature
Draw or type your signature, upload a signature image, or capture it with your digital camera.
Share
Share your form instantly
Email, fax, or share your nar settlement and ir form via URL. You can also download, print, or export forms to your preferred cloud storage service.

Editing nar settlement and ir online

9.5
Ease of Setup
pdfFiller User Ratings on G2
9.0
Ease of Use
pdfFiller User Ratings on G2
To use our professional PDF editor, follow these steps:
1
Register the account. Begin by clicking Start Free Trial and create a profile if you are a new user.
2
Upload a file. Select Add New on your Dashboard and upload a file from your device or import it from the cloud, online, or internal mail. Then click Edit.
3
Edit nar settlement and ir. Rearrange and rotate pages, add and edit text, and use additional tools. To save changes and return to your Dashboard, click Done. The Documents tab allows you to merge, divide, lock, or unlock files.
4
Save your file. Select it from your list of records. Then, move your cursor to the right toolbar and choose one of the exporting options. You can save it in multiple formats, download it as a PDF, send it by email, or store it in the cloud, among other things.
With pdfFiller, it's always easy to work with documents. Try it out!

Uncompromising security for your PDF editing and eSignature needs

Your private information is safe with pdfFiller. We employ end-to-end encryption, secure cloud storage, and advanced access control to protect your documents and maintain regulatory compliance.
GDPR
AICPA SOC 2
PCI
HIPAA
CCPA
FDA

How to fill out nar settlement and ir

Illustration

How to fill out nar settlement and ir

01
Obtain the necessary NAR settlement forms from the official website or your local NAR office.
02
Review all instructions provided with the forms to ensure understanding of the requirements.
03
Fill out the personal information section, including your name, address, and license number.
04
Detail the transaction information, including property address, sale price, and date of sale.
05
Include any relevant fees or commissions that apply to the settlement.
06
Double-check all entries for accuracy and completeness.
07
Sign and date the forms where required.
08
Submit the completed forms to the appropriate authority or organization as directed.

Who needs nar settlement and ir?

01
Real estate agents involved in transactions that require a settlement statement.
02
Buyers and sellers who need to understand the financial aspects of their property transaction.
03
Accountants and financial advisors working with clients on real estate transactions.
04
Real estate agencies that need to keep accurate transaction records.

Navigating the NAR Settlement and IR Form: What You Need to Know

Understanding the NAR settlement

The NAR settlement represents a significant change in the landscape of real estate transactions. This settlement stems from a lawsuit alleging antitrust violations within the National Association of Realtors (NAR), which has led to revised practices in how commissions and listings are managed. The implications of this settlement are extensive, potentially reshaping how real estate professionals conduct their business.

For real estate professionals, the NAR settlement indicates a pivot towards more transparency in commission structures and other practices. Agents and brokers will need to adapt rapidly to new regulations and guidelines to remain compliant. Buyers and sellers will benefit from a clearer understanding of fees and practices typical in real estate transactions.

Increased transparency around commission fees.
Changes to how listings are presented and accessed.
Expectations for accountability among real estate professionals.

Key players involved

The key players in the NAR settlement include the National Association of Realtors, representing thousands of real estate professionals, and the home sellers and buyers impacted by these changes. This settlement aims to address conflicts of interest and encourage fair competition among agents. By understanding these roles, stakeholders can navigate the new framework effectively.

NAR settlement impact on real estate practices

The NAR settlement introduces several critical changes to how commission structures are organized. Real estate agents are now required to disclose commission rates more openly, helping clients make informed decisions about service costs. For sellers, this means enhanced clarity regarding what they stand to pay for representation, while buyers can expect fewer hidden fees.

In addition to commission changes, Multiple Listing Services (MLS) are directly affected. The settlement enforces stricter guidelines on how listings are advertised and who can see property details. Agents will need to adjust their practices to ensure compliance with new regulations surrounding listing presentations, while maintaining access to MLS resources.

More detailed disclosure requirements for commissions.
Altered access rules for MLS participants and consumers.
Increased legal responsibilities for real estate professionals.

The IR form explained

The IR Form, short for Information Request Form, plays a crucial role in the context of the NAR settlement. It serves as a standardized document that facilitates the collection of essential information related to transactions and commission considerations. This allows parties involved in real estate transactions to comply with the new regulations stemming from the settlement.

Filling out the IR Form accurately is vital for transparency and record-keeping. Real Estate practitioners and clients must ensure they gather the necessary information and documentation outlined in the form. Properly completed IR Forms will assist in providing clarity to commission arrangements, thus fostering better client-agent relationships.

Personal and contact information of buyers and sellers.
Details on commission structures and agreements.
Property specifics including addresses and MLS numbers.

Step-by-step guide for filling out the IR form

To successfully fill out the IR Form, begin by preparing necessary documents such as proof of identity, property information, and any existing agreements related to commissions. Having these documents at hand streamlines the process and reduces the likelihood of errors.

Each section of the IR Form requires specific information. Ensure that you fill in all fields meticulously, verifying the information provided is accurate. Common sections include personal details, commission agreements, and property descriptions. Taking the time to check each part of the form will help you avoid common pitfalls.

Gather and review all required documents before starting.
Complete each section with accurate and coherent data.
Review the form before submission to ensure all information is correct.

Editing and managing your IR form with pdfFiller

pdfFiller offers users an intuitive platform for editing and managing the IR Form post completion. Utilizing pdfFiller’s editing tools allows users to modify any fields that require corrections or updates seamlessly. This proves advantageous for collaborative efforts, ensuring everyone involved has the latest information.

eSigning the IR Form is another critical feature available through pdfFiller. Users can sign the document electronically, ensuring it meets legal standards while facilitating quicker transactions. The process is streamlined, allowing collaboration without any geographic constraints.

Utilize editing features to track changes and updates.
E-sign documents to ensure compliance and expedience.
Share documents effortlessly with team members using the platform.

FAQs about the NAR settlement and IR form

Homeowners often have questions regarding the implications of the NAR settlement and the IR Form. Common inquiries revolve around how commission changes will affect their buying or selling experience, and many are seeking guidance on how to ensure compliance with these new regulations. Providing clarity on these questions can help homeowners feel confident navigating the real estate process.

From the perspective of real estate professionals, questions typically focus on compliance standards and best practices moving forward. Brokers and agents must educate themselves about the evolving landscape to avoid potential legal implications. Understanding the IR Form and ensuring its proper use can be instrumental in maintaining professionalism and compliance.

What are the primary changes introduced by the NAR settlement?
How will the IR Form be utilized in transactions?
What steps can be taken to remain compliant with the new regulations?

Additional insights on NAR settlement compliance

Adapting to the new compliance landscape requires a proactive approach from real estate professionals. Best practices include staying informed about legal requirements, attending training sessions, and utilizing shared resources for compliance strategies. Continuous learning is vital to ensure that practices align with the latest developments in real estate regulations after the NAR settlement.

Collaboration among real estate agents is encouraged to share experiences and effective strategies for navigating compliance demands. Networking events and industry forums provide opportunities for professionals to learn from one another, ensuring everyone is well-equipped to adapt to the changing environment.

Regularly review NAR guidelines and updates.
Participate in workshops and training focused on compliance.
Build a network for sharing compliance experiences and resources.

Recent developments and ongoing updates

The NAR settlement is an evolving situation, with new guidelines and updates emerging regularly. Real estate practitioners must stay connected to industry news to inform their practices adequately. Keeping abreast of changes ensures that agents and firms maintain compliance and respond to emerging trends effectively.

Home buyers and sellers should also be aware of ongoing adjustments to the real estate market in response to this settlement. As practices change, there may be new opportunities and challenges to navigate. The importance of understanding local regulations and updates cannot be overstated, making it crucial for stakeholders to remain informed.

Follow reliable sources for news on the NAR settlement.
Attend industry conferences to gain insights on future trends.
Engage in market studies to understand the changing landscape.

Community and support networks

Building a robust support network is beneficial for real estate professionals navigating the NAR settlement landscape. Joining associations and participating in forums allows individuals to connect with others facing similar challenges, creating spaces for collaboration and knowledge sharing. These networks enhance collective understanding and can provide additional resources for compliance and best practices.

Externally, individuals and teams can take advantage of resources available through pdfFiller, which facilitate not just document management but also collaboration through shared experiences. Utilizing these tools effectively builds stronger communities, enhancing the overall efficacy of real estate transactions.

Connect with local real estate organizations and groups.
Participate in online forums addressing the NAR settlement.
Share insights and strategies with peers for collaborative problem-solving.

Unlocking the full potential of your documents with pdfFiller

pdfFiller provides powerful document management capabilities that enhance the IR Form's utility. Its intuitive platform streamlines workflows, enabling real estate professionals to efficiently organize and access their forms anytime, anywhere. These capabilities are particularly helpful in rapidly changing environments where quick decision-making is required.

The integration of pdfFiller with other tools in your tech ecosystem further amplifies its effectiveness. By utilizing these features, real estate agents can maximize their productivity while maintaining compliance with new best practices introduced by the NAR settlement.

Organize documents for easy retrieval and management.
Leverage integrations to enhance your practice's efficiency.
Utilize cloud-based access for enhanced flexibility in document handling.
Fill form : Try Risk Free
Users Most Likely To Recommend - Summer 2025
Grid Leader in Small-Business - Summer 2025
High Performer - Summer 2025
Regional Leader - Summer 2025
Easiest To Do Business With - Summer 2025
Best Meets Requirements- Summer 2025
Rate the form
4.7
Satisfied
25 Votes

For pdfFiller’s FAQs

Below is a list of the most common customer questions. If you can’t find an answer to your question, please don’t hesitate to reach out to us.

You may do so effortlessly with pdfFiller's iOS and Android apps, which are available in the Apple Store and Google Play Store, respectively. You may also obtain the program from our website: https://edit-pdf-ios-android.pdffiller.com/. Open the application, sign in, and begin editing nar settlement and ir right away.
Use the pdfFiller mobile app to complete and sign nar settlement and ir on your mobile device. Visit our web page (https://edit-pdf-ios-android.pdffiller.com/) to learn more about our mobile applications, the capabilities you’ll have access to, and the steps to take to get up and running.
With the pdfFiller Android app, you can edit, sign, and share nar settlement and ir on your mobile device from any place. All you need is an internet connection to do this. Keep your documents in order from anywhere with the help of the app!
NAR settlement refers to the National Association of Realtors' transaction statements that detail the settlement costs associated with real estate transactions. 'IR' typically stands for Income Reporting, which involves reporting income related to real estate activities.
Real estate professionals and agents involved in transactions that require settlement statements are required to file NAR settlements and income reporting (IR).
To fill out a NAR settlement and IR, individuals must gather necessary transaction details, including property information, parties involved, costs, and commissions. They should ensure accurate and complete reporting in accordance with NAR guidelines.
The purpose of NAR settlement is to provide transparency and clarity regarding transaction costs in real estate dealings. Income reporting ensures compliance with tax regulations and accurate tracking of earnings for agents and brokers.
The information that must be reported on NAR settlement includes listing and selling prices, commissions, closing costs, and any pertinent fees. For IR, it encompasses income from commissions, bonuses, and any other earnings related to real estate activities.
Fill out your nar settlement and ir online with pdfFiller!

pdfFiller is an end-to-end solution for managing, creating, and editing documents and forms in the cloud. Save time and hassle by preparing your tax forms online.

Get started now
Form preview
If you believe that this page should be taken down, please follow our DMCA take down process here .
This form may include fields for payment information. Data entered in these fields is not covered by PCI DSS compliance.