Get the free Bylaws - Articles of Agreement 501c3 Friends Group Sample (3)
Show details
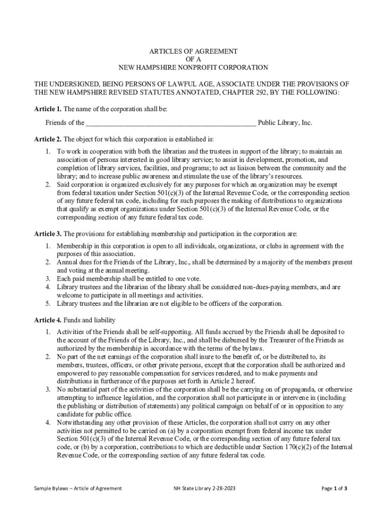
ARTICLES OF AGREEMENT OF A NEW HAMPSHIRE NONPROFIT CORPORATION THE UNDERSIGNED, BEING PERSONS OF LAWFUL AGE, ASSOCIATE UNDER THE PROVISIONS OF THE NEW HAMPSHIRE REVISED STATUTES ANNOTATED, CHAPTER 292, BY THE FOLLOWING: Article 1. The name of the corporation shall be: Friends of the ___ Public Library, Inc. Article 2. The object for which this corporation is established is: 1. To work in cooperation with both the librarian and the trustees in support of the library; to maintain an association of
We are not affiliated with any brand or entity on this form
Get, Create, Make and Sign bylaws - articles of
Edit your bylaws - articles of form online
Type text, complete fillable fields, insert images, highlight or blackout data for discretion, add comments, and more.
Add your legally-binding signature
Draw or type your signature, upload a signature image, or capture it with your digital camera.
Share your form instantly
Email, fax, or share your bylaws - articles of form via URL. You can also download, print, or export forms to your preferred cloud storage service.
Editing bylaws - articles of online
Follow the steps down below to take advantage of the professional PDF editor:
1
Log in to your account. Click on Start Free Trial and register a profile if you don't have one yet.
2
Prepare a file. Use the Add New button to start a new project. Then, using your device, upload your file to the system by importing it from internal mail, the cloud, or adding its URL.
3
Edit bylaws - articles of. Text may be added and replaced, new objects can be included, pages can be rearranged, watermarks and page numbers can be added, and so on. When you're done editing, click Done and then go to the Documents tab to combine, divide, lock, or unlock the file.
4
Get your file. Select your file from the documents list and pick your export method. You may save it as a PDF, email it, or upload it to the cloud.
With pdfFiller, it's always easy to work with documents. Try it!
Uncompromising security for your PDF editing and eSignature needs
Your private information is safe with pdfFiller. We employ end-to-end encryption, secure cloud storage, and advanced access control to protect your documents and maintain regulatory compliance.
How to fill out bylaws - articles of
How to fill out bylaws - articles of
01
Title the document as 'Bylaws'.
02
Include a section for the name of the organization.
03
Define the purpose of the organization.
04
Outline the membership criteria and process for joining.
05
Describe the structure of the board of directors and their roles.
06
Specify the voting procedures and quorum requirements.
07
Detail the meeting procedures, including frequency and notice requirements.
08
Include provisions for amending the bylaws.
09
Add any clauses relevant to financial management.
10
Sign and date the bylaws for official recognition.
Who needs bylaws - articles of?
01
Nonprofit organizations for formal governance.
02
Corporations for regulatory compliance.
03
Clubs and associations to outline membership and operations.
04
Partnerships to clarify roles and responsibilities.
05
Any group seeking to establish a structured framework for decision-making.
Fill
form
: Try Risk Free
For pdfFiller’s FAQs
Below is a list of the most common customer questions. If you can’t find an answer to your question, please don’t hesitate to reach out to us.
How do I modify my bylaws - articles of in Gmail?
The pdfFiller Gmail add-on lets you create, modify, fill out, and sign bylaws - articles of and other documents directly in your email. Click here to get pdfFiller for Gmail. Eliminate tedious procedures and handle papers and eSignatures easily.
How do I edit bylaws - articles of straight from my smartphone?
You can do so easily with pdfFiller’s applications for iOS and Android devices, which can be found at the Apple Store and Google Play Store, respectively. Alternatively, you can get the app on our web page: https://edit-pdf-ios-android.pdffiller.com/. Install the application, log in, and start editing bylaws - articles of right away.
How do I fill out the bylaws - articles of form on my smartphone?
On your mobile device, use the pdfFiller mobile app to complete and sign bylaws - articles of. Visit our website (https://edit-pdf-ios-android.pdffiller.com/) to discover more about our mobile applications, the features you'll have access to, and how to get started.
What is bylaws - articles of?
Bylaws are the governing rules and regulations adopted by an organization, such as a corporation or nonprofit, that outline the management structure and operation procedures. Articles of incorporation, on the other hand, are legal documents filed with a government body to establish the existence of the corporation.
Who is required to file bylaws - articles of?
Typically, the founders or incorporators of a corporation are required to file the articles of incorporation with the appropriate state agency, whereas the bylaws are created by the organization’s board of directors.
How to fill out bylaws - articles of?
To fill out bylaws, organizations should include sections on the name of the organization, purpose, membership rules, meeting protocols, the roles of officers and directors, and procedures for amending bylaws. For articles of incorporation, details such as the business name, registered agent, address, and purpose must be included.
What is the purpose of bylaws - articles of?
The purpose of bylaws is to provide a framework for the internal governance of the organization, establishing how it will operate, make decisions, and manage conflicts. Articles of incorporation serve to legally establish the organization as a recognized entity under state law.
What information must be reported on bylaws - articles of?
Bylaws should report information including the organization’s name, purpose, membership criteria, governance structure, meeting procedures, and amendment processes. Articles of incorporation generally require the organization's name, registered agent, business address, and the purpose of the corporation.
Fill out your bylaws - articles of online with pdfFiller!
pdfFiller is an end-to-end solution for managing, creating, and editing documents and forms in the cloud. Save time and hassle by preparing your tax forms online.
Bylaws - Articles Of is not the form you're looking for?Search for another form here.
Related Forms
If you believe that this page should be taken down, please follow our DMCA take down process
here
.
This form may include fields for payment information. Data entered in these fields is not covered by PCI DSS compliance.