Form preview

Get the free F24A template

Get Form
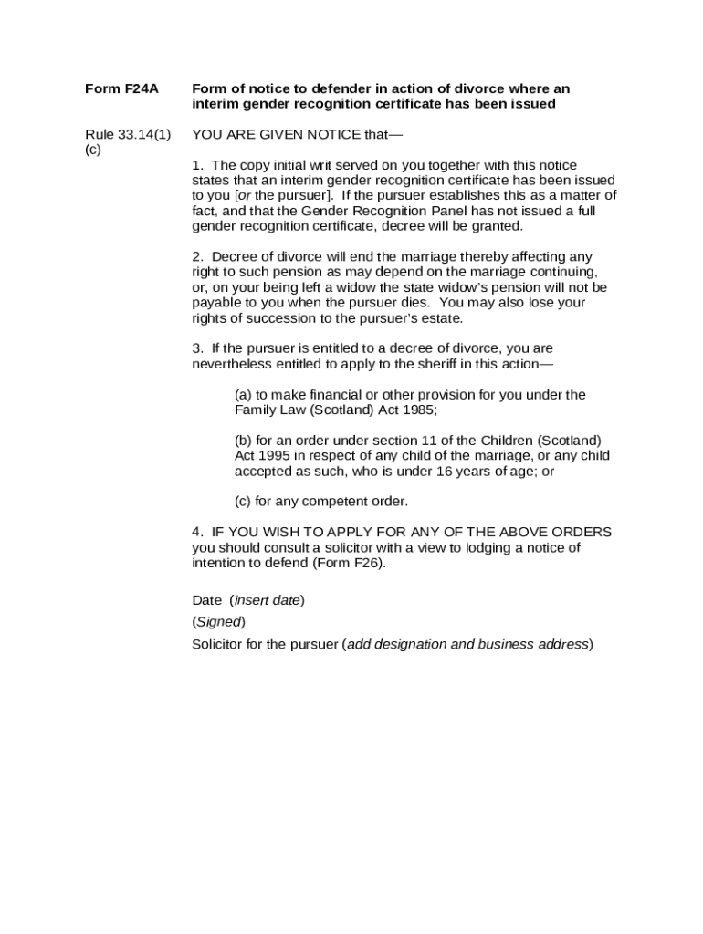
Form F24A Form of notice to defender in action of divorce where an interim gender recognition certificate has been issuedRule 33.14(1)(c) YOU ARE GIVEN NOTICE that1. The copy initial writ served on you together with this notice states that an interim gender recognition certificate has been issued to you [or the pursuer]. If the pursuer establishes this as a matter of fact, and that the Gender Recognition Panel has not issued a full gender recognition certificate, decree will be granted
We are not affiliated with any brand or entity on this form

Get, Create, Make and Sign f24a template

Edit
Edit your f24a template form online
Type text, complete fillable fields, insert images, highlight or blackout data for discretion, add comments, and more.
Add
Add your legally-binding signature
Draw or type your signature, upload a signature image, or capture it with your digital camera.
Share
Share your form instantly
Email, fax, or share your f24a template form via URL. You can also download, print, or export forms to your preferred cloud storage service.

How to edit f24a template online

9.5
Ease of Setup
pdfFiller User Ratings on G2
9.0
Ease of Use
pdfFiller User Ratings on G2
In order to make advantage of the professional PDF editor, follow these steps:
1
Log in. Click Start Free Trial and create a profile if necessary.
2
Upload a file. Select Add New on your Dashboard and upload a file from your device or import it from the cloud, online, or internal mail. Then click Edit.
3
Edit f24a template. Rearrange and rotate pages, add and edit text, and use additional tools. To save changes and return to your Dashboard, click Done. The Documents tab allows you to merge, divide, lock, or unlock files.
4
Save your file. Select it in the list of your records. Then, move the cursor to the right toolbar and choose one of the available exporting methods: save it in multiple formats, download it as a PDF, send it by email, or store it in the cloud.
With pdfFiller, it's always easy to work with documents. Try it out!

Uncompromising security for your PDF editing and eSignature needs

Your private information is safe with pdfFiller. We employ end-to-end encryption, secure cloud storage, and advanced access control to protect your documents and maintain regulatory compliance.
GDPR
AICPA SOC 2
PCI
HIPAA
CCPA
FDA

How to fill out f24a template

Illustration

How to fill out form f24a

01
Download the form F24A from the official tax authority website.
02
Fill in your personal information at the top of the form, including your name, address, and tax identification number.
03
Specify the payment type for which you are submitting the form.
04
Enter the relevant amounts to be paid in the designated fields.
05
Complete any additional sections necessary for your specific situation, such as deductions or exemptions.
06
Review all information entered to ensure accuracy.
07
Print the form if submitting by mail, or retain a digital copy for online submission.
08
Submit the form to the appropriate tax authority before the deadline.

Who needs form f24a?

01
Individuals and businesses who are liable to pay specific taxes, such as income tax or social security contributions, in Italy.

A Comprehensive Guide to the F24A Template Form

Overview of the F24A template form

The F24A template form serves as a crucial document designed for a variety of administrative and legal purposes. It's primarily utilized to record and communicate binding agreements, ensuring clarity and mutual understanding between parties involved. The importance of using the correct template cannot be overstated, as misunderstandings or errors may lead to compliance issues or contractual disputes.

Who can utilize the F24A template form?

Individuals and organizations alike can reap substantial benefits from the F24A template form. Here's a more detailed breakdown of its potential users:

Single Users: Individuals needing personal documentation can effectively use the F24A form to formalize essential agreements.
Teams: Organizations or groups working on collaborative projects can employ the F24A form to ensure all parties are aligned with the terms of cooperation.

Additionally, various industries have specific needs that the F24A form addresses, making it a versatile choice for contractual engagements.

Preparing to use the F24A template form

Before diving into filling out the F24A template form, preparation is critical. Gather the essential information required for completion, including identification details, agreement specifics, and any relevant documentation that supports your claims or requests.

Necessary Information to Gather: Personal identification numbers, contact details, and specifics of agreements must be at hand.
Understanding Legal Terminology: Familiarize yourself with any legal terms within the form to ensure proper usage.

Utilizing tools like pdfFiller for editing and managing your PDF files will significantly enhance your experience, providing easy accessibility and seamless document management features.

Step-by-step guide to completing the F24A template form

Accessing the F24A template is straightforward on the pdfFiller platform. Here's how to complete each section effectively:

Section 1: Personal Information - Accurately input your full name, address, and other identifying details.
Section 2: Agreement Details - Clearly state the terms and specifics of the agreement to avoid confusion.
Section 3: Signatures - Ensure all necessary parties sign the document.

When filling out these sections, watch for common mistakes such as typos in personal information or missing signatures, as these errors can invalidate the form.

Editing and customizing the F24A template form

Once you have the F24A form ready, you might need to modify pre-filled information or customize sections to meet specific needs. pdfFiller provides a plethora of editing tools to facilitate this process.

How to Modify Pre-filled Information - Click on the field you want to change and enter the new information.
Adding or Removing Sections - pdfFiller allows you to add blank sections or delete unnecessary ones as needed.

Utilizing pdfFiller tools offers enhanced customization options, letting you align the form more closely with your specific requirements.

Signing the F24A form

Digital signatures have gained immense recognition, and understanding their importance is essential. The legal validity of eSignatures greatly enhances the efficiency of document handling.

Importance of Digital Signatures - They streamline the signing process and offer a secure way for parties to affirm their agreement.
Step-by-Step Process on pdfFiller for eSigning - Follow the prompts to sign electronically, ensuring compliance with legal standards.

Thus, embracing eSignatures through pdfFiller adds both convenience and reliability to your document processes.

Managing and storing your F24A template form

Once you’ve completed your F24A form, proper management and storage are paramount. Saving your document in the right format is crucial for its future usability.

Choosing the Right Format - Options like PDF or Word can be selected based on your needs.
Cloud Storage Options via pdfFiller - Use the integrated cloud storage to access your forms from anywhere.

Additionally, securely sharing the completed form with designated individuals ensures that access remains controlled and organized.

Submitting the F24A template form

Adhering to submission guidelines is essential for ensuring your form is promptly received and processed. Identify where to submit your form and understand any timelines associated with this process.

Where to Submit and Necessary Addresses - Familiarize yourself with submission methods and addresses relevant to the form.
Timelines for Submission - Confirm the deadlines to avoid any potential delays.

Establishing follow-up protocols ensures that you are well-informed of the status post-submission.

Rules and regulations pertaining to the F24A template form

Understanding the legal framework surrounding the F24A template form is critical for compliance. Familiarize yourself with the relevant regulations that might impact its usage.

Overview of Relevant Legal Regulations - Stay updated on the laws affecting the creation and submission of this form.
Compliance Requirements - Non-adherence can lead to significant consequences, including fines or legal action.

Proactive knowledge about these details can prevent misunderstandings and ensure that your documentation is always in order.

Troubleshooting common issues with the F24A template form

Despite thorough preparation, users may encounter issues when working with the F24A template form. Having a strategy for troubleshooting these problems is essential.

FAQs Related to the F24A Form - Access resources that cover common questions and concerns surrounding the form.
Common Challenges and Their Solutions - Review known issues and explore the solutions associated with them.

If the solutions provided still leave you in need of assistance, contacting support through pdfFiller can yield the help you require.

Feedback and user experience

Gathering user feedback is pivotal in assessing the effectiveness of the F24A template form. Positive experiences often lead to refinement, ensuring the tool stays relevant and useful.

User Testimonials and Case Studies - Gain insights from real user experiences using the F24A form.
How to Provide Feedback About the F24A Template Form - Encourage users to share their insights for continuous improvement.

Encouraging an ongoing dialogue helps keep the form aligned with user needs.

Additional features of pdfFiller relevant to the F24A form

The pdfFiller platform is not just about filling out forms. It offers additional functionalities that enhance the overall user experience. Collaborative tools allow teams to engage effectively when utilizing the F24A form.

Collaboration Tools for Teams - Enhance teamwork by working on the form simultaneously.
Integration Options with Other Software - Utilize other tools seamlessly alongside pdfFiller.
Mobile Access and Responsiveness - Access and manage your documents on the go with mobile-friendly features.

These features reinforce pdfFiller’s position as a powerful document management solution that accommodates user needs from multiple angles.

The F24A template form represents a vital document that can streamline communication in personal and professional scenarios. By understanding how to effectively use pdfFiller, you can leverage the platform’s capabilities to maximize your efficiency and accuracy in managing your documentation needs.

What is F24A Form?

The F24A is a fillable form in MS Word extension that can be filled-out and signed for specific purposes. In that case, it is provided to the relevant addressee to provide certain information of any kinds. The completion and signing is possible or using an appropriate application e. g. PDFfiller. These applications help to fill out any PDF or Word file without printing them out. While doing that, you can edit it for your requirements and put a valid electronic signature. Upon finishing, the user ought to send the F24A to the respective recipient or several of them by email or fax. PDFfiller has a feature and options that make your Word form printable. It has different settings for printing out. No matter, how you will deliver a form after filling it out - physically or by email - it will always look professional and clear. In order not to create a new editable template from the beginning every time, turn the original Word file as a template. After that, you will have an editable sample.

Template F24A instructions

Before starting to fill out F24A Word form, be sure that you prepared all the required information. That's a mandatory part, because typos can trigger unpleasant consequences from re-submission of the whole entire template and filling out with missing deadlines and you might be charged a penalty fee. You have to be observative enough filling out the figures. At first glimpse, this task seems to be dead simple. Nevertheless, it is simple to make a mistake. Some use such lifehack as storing all data in another document or a record book and then insert this information into document's template. Anyway, put your best with all efforts and present actual and genuine data in your F24A word form, and doublecheck it while filling out all fields. If you find a mistake, you can easily make corrections when you use PDFfiller tool without blowing deadlines.

Frequently asked questions about F24A template

1. Is this legit to complete forms electronically?

According to ESIGN Act 2000, electronic forms filled out and approved using an e-signing solution are considered to be legally binding, equally to their hard analogs. This means that you are free to rightfully fill out and submit F24A fillable form to the establishment required to use digital solution that suits all requirements in accordance with certain terms, like PDFfiller.

2. Is it safe to fill in sensitive information online?

Sure, it is totally risk-free in case you use trusted application for your work flow for those purposes. Like, PDFfiller offers the benefits like these:

  • Your personal data is stored in the cloud that is facilitated with multi-level encryption. Every single document is secured from rewriting or copying its content this way. It's user only who has access to data.
  • Every file signed has its own unique ID, so it can’t be falsified.
  • You can set additional protection settings like authentication of signers by picture or security password. There is an option to protect whole folder with encryption. Just put your F24A form and set a password.

3. How can I transfer required data to the fillable template from another file?

Yes, but you need a specific feature to do that. In PDFfiller, it is called Fill in Bulk. With this one, you are able to export data from the Excel spreadsheet and place it into your word file.

Fill form : Try Risk Free
Users Most Likely To Recommend - Summer 2025
Grid Leader in Small-Business - Summer 2025
High Performer - Summer 2025
Regional Leader - Summer 2025
Easiest To Do Business With - Summer 2025
Best Meets Requirements- Summer 2025
Rate the form
4.6
Satisfied
31 Votes

For pdfFiller’s FAQs

Below is a list of the most common customer questions. If you can’t find an answer to your question, please don’t hesitate to reach out to us.

By integrating pdfFiller with Google Docs, you can streamline your document workflows and produce fillable forms that can be stored directly in Google Drive. Using the connection, you will be able to create, change, and eSign documents, including f24a template, all without having to leave Google Drive. Add pdfFiller's features to Google Drive and you'll be able to handle your documents more effectively from any device with an internet connection.
The pdfFiller premium subscription gives you access to a large library of fillable forms (over 25 million fillable templates) that you can download, fill out, print, and sign. In the library, you'll have no problem discovering state-specific f24a template and other forms. Find the template you want and tweak it with powerful editing tools.
The pdfFiller mobile applications for iOS and Android are the easiest way to edit documents on the go. You may get them from the Apple Store and Google Play. More info about the applications here. Install and log in to edit f24a template.
Form F24A is a tax declaration form used in Italy for various tax liabilities, including VAT and income tax.
Individuals and entities who have tax obligations in Italy, including businesses subject to VAT and self-employed individuals, are required to file Form F24A.
To fill out Form F24A, users must enter their tax code, personal information, taxation details, and the specific amounts owed for each type of tax. It is important to follow the guidelines provided by the Italian Revenue Agency.
The purpose of Form F24A is to facilitate the payment of taxes and to provide a standardized declaration for tax liabilities within Italy.
Form F24A requires information such as the taxpayer's identification details, the type of taxes being paid, amounts due for each tax, and bank details for payment processing.
Fill out your f24a template online with pdfFiller!

pdfFiller is an end-to-end solution for managing, creating, and editing documents and forms in the cloud. Save time and hassle by preparing your tax forms online.

Get started now
Form preview

Related Forms

If you believe that this page should be taken down, please follow our DMCA take down process here .
This form may include fields for payment information. Data entered in these fields is not covered by PCI DSS compliance.