
Get the free To: Volunteer Police and Fire Departments From
Get, Create, Make and Sign to volunteer police and



How to edit to volunteer police and online
Uncompromising security for your PDF editing and eSignature needs
How to fill out to volunteer police and

How to fill out to volunteer police and
Who needs to volunteer police and?
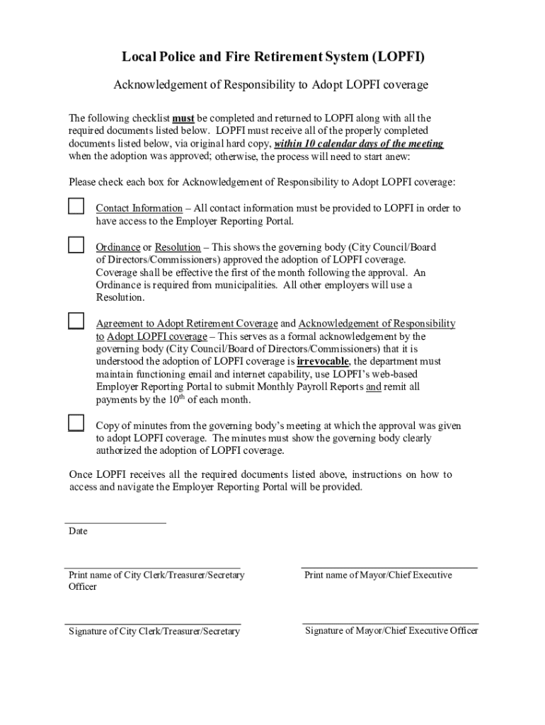
To volunteer police and form: A comprehensive guide
Understanding volunteer police programs
Volunteer police programs are initiatives designed to engage community members in law enforcement efforts. These programs aim to establish a collaborative relationship between police departments and the communities they serve, fostering trust and enhancing public safety.
By participating in these programs, volunteers assist with various tasks, from administrative duties to community outreach, helping to alleviate the workload on sworn officers. The primary purpose is to bridge the gap between law enforcement and the community, ultimately benefiting everyone involved.
The roles of volunteers can vary significantly, depending on the department and community needs. Responsibilities may include attending neighborhood events, conducting safety presentations, or assisting in crime prevention initiatives. Volunteers play a vital role in fostering a positive relationship between police officers and local residents.
Eligibility requirements for volunteers
Potential volunteers must meet specific eligibility criteria to ensure a successful and safe partnership with law enforcement. Most police departments require applicants to be at least 18 years old. Background checks are also a common prerequisite, as departments seek to ensure the integrity and reliability of their volunteer force.
Certain skills, such as communication, organization, and basic computer proficiency, are often valued, alongside relevant experience in community service or volunteer work. Additionally, physical and mental health assessments may be necessary to confirm an applicant's fitness for the duties they will undertake.
The volunteer application process
Applying to be a volunteer police officer typically involves several steps to ensure all candidates are thoroughly vetted and suitable for the program. The first step is accessing the application form, which is usually available on the police department's website or in-person at local precincts.
Before completing the form, applicants should gather necessary documents (such as identification and references) that support their application. When filling out the personal information section, accuracy is crucial. Previous volunteer experience should be described in detail, highlighting relevant skills and contributions. After ensuring all sections are complete, applicants can submit the application either online or in person.
Common mistakes to avoid during the application process include providing inaccurate information or failing to complete sections of the application. After submission, applicants can expect a timeline of a few weeks for review and feedback from the police department.
Training and onboarding for volunteer police
Once accepted, volunteers undergo initial training programs designed to equip them with the necessary skills for their roles. This training may cover topics such as community policing, communication strategies, and safety protocols. Understanding the legal and ethical responsibilities of volunteer police work is also crucial.
Ongoing training opportunities are often available, allowing volunteers to enhance their skills continuously. Mentorship programs pairing new volunteers with experienced officers provide additional support and guidance, fostering a sense of community and collaboration.
Volunteer roles and responsibilities
Volunteer police programs offer various positions tailored to different skills and interests. Community outreach and engagement are fundamental, as volunteers often participate in local events to foster trust and open communication between law enforcement and residents.
Event support and coordination roles involve assisting officers during community events, which may include organizing logistics, providing first aid, or facilitating activities. Additionally, volunteers may engage in crime prevention initiatives, aiding in neighborhood watch programs or educational sessions on safety.
Essential forms and documentation
Several key forms must be completed by volunteers to formally engage with police departments. These documents include a volunteer agreement, which outlines the terms of service, along with liability waivers that protect both the volunteer and the department.
Upon completing training, volunteers usually receive training completion certificates, which may be necessary for verification purposes. Using tools like pdfFiller can greatly facilitate the completion and management of these forms, allowing volunteers to edit PDFs, eSign documents securely, and collaborate with team members seamlessly.
Managing your volunteer experience
Tracking hours and contributions is essential for both personal motivation and recognition of volunteer efforts. Many departments emphasize the importance of consistent reporting, which may include utilizing volunteer management portals to log hours and activities.
Maintaining open communication with program coordinators ensures that volunteers remain informed about upcoming opportunities and requirements. Access to dedicated volunteer portals allows for easier resource management and interactive networking with fellow volunteers, fostering community spirit.
Understanding your impact as a volunteer
Engaging in volunteer police work significantly impacts community safety and cohesion. Volunteers act as liaisons between police departments and residents, promoting understanding and collaboration. Their work not only enhances public safety but also cultivates trust, which is vital in fostering a healthy community-police relationship.
Former volunteers often share testimonials that reflect on the profound personal growth and community connections they’ve experienced. Recognizing each volunteer's contributions is vital, and departments frequently hold appreciation events to celebrate their achievements and foster community.
Staying involved and advancing opportunities
After the initial volunteer commitment, many individuals find it rewarding to extend their involvement. Departments may offer further training and leadership opportunities for dedicated volunteers, allowing them to step into specialized units or programs that align with their interests.
Such paths can include roles in community engagement, youth mentoring programs, or crisis intervention. Volunteers seeking advancement are encouraged to engage actively in training options and express their interests to coordinators, ensuring they maximize their impact within the program.
Frequently asked questions
Volunteering can raise various concerns, particularly regarding time commitments, responsibilities, and safety. Common concerns include the number of hours required to volunteer and the nature of tasks that volunteers are expected to perform.
It is essential to clarify misconceptions about volunteer police programs, including the misconception that volunteers are not trained adequately. Dedicated training is a hallmark of these programs, ensuring volunteers are well-prepared and supported throughout their experience.
Connecting with other volunteers
Building a community network among volunteers is crucial for sharing experiences and best practices. Many departments encourage forming groups where volunteers can exchange ideas and support each other in their roles.
Social media platforms and online forums can also facilitate connection, providing avenues for volunteers to share resources and collaborate on projects, enhancing the overall volunteer experience.
How to withdraw or transition from volunteer roles
At times, volunteers may find it necessary to withdraw from their roles due to personal commitments or changes in circumstances. Open communication is essential in this process; volunteers should notify their coordinators of their intentions clearly and preferably in advance.
Completing the required withdrawal forms is often a part of the process. Additionally, those interested in transitioning to paid positions should discuss their aspirations with program coordinators. This proactive approach enables volunteers to explore different pathways within the department while maintaining positive relationships.
For pdfFiller’s FAQs
Below is a list of the most common customer questions. If you can’t find an answer to your question, please don’t hesitate to reach out to us.
How can I edit to volunteer police and from Google Drive?
Where do I find to volunteer police and?
How do I complete to volunteer police and on an Android device?
What is to volunteer police and?
Who is required to file to volunteer police and?
How to fill out to volunteer police and?
What is the purpose of to volunteer police and?
What information must be reported on to volunteer police and?
pdfFiller is an end-to-end solution for managing, creating, and editing documents and forms in the cloud. Save time and hassle by preparing your tax forms online.
