Form preview

Get the free 100 GENERAL PROVISIONS - atp nebraska Doc Template template

Get Form
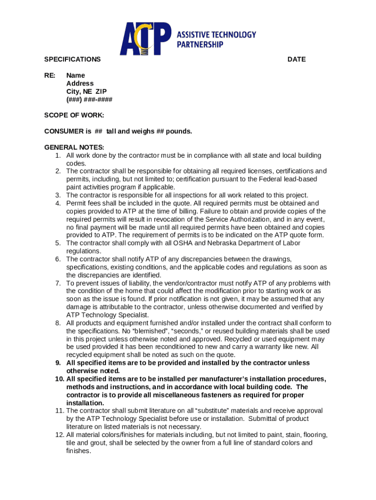
SPECIFICATIONSDATERE: NameAddressCity, NE ZIP(###) #######SCOPE OF WORK:CONSUMER is ## tall and weighs ## pounds.GENERAL NOTES:1. All work done by the contractor must be in compliance with all state and local building codes.2. The contractor shall be responsible for obtaining all required licenses, certifications and permits, including, but not limited to; certification pursuant to the Federal leadbased paint activities program if applicable.3. The contractor is
We are not affiliated with any brand or entity on this form

Get, Create, Make and Sign 100 general provisions

Edit
Edit your 100 general provisions form online
Type text, complete fillable fields, insert images, highlight or blackout data for discretion, add comments, and more.
Add
Add your legally-binding signature
Draw or type your signature, upload a signature image, or capture it with your digital camera.
Share
Share your form instantly
Email, fax, or share your 100 general provisions form via URL. You can also download, print, or export forms to your preferred cloud storage service.

Editing 100 general provisions online

9.5
Ease of Setup
pdfFiller User Ratings on G2
9.0
Ease of Use
pdfFiller User Ratings on G2
Here are the steps you need to follow to get started with our professional PDF editor:
1
Register the account. Begin by clicking Start Free Trial and create a profile if you are a new user.
2
Upload a document. Select Add New on your Dashboard and transfer a file into the system in one of the following ways: by uploading it from your device or importing from the cloud, web, or internal mail. Then, click Start editing.
3
Edit 100 general provisions. Add and change text, add new objects, move pages, add watermarks and page numbers, and more. Then click Done when you're done editing and go to the Documents tab to merge or split the file. If you want to lock or unlock the file, click the lock or unlock button.
4
Save your file. Select it from your records list. Then, click the right toolbar and select one of the various exporting options: save in numerous formats, download as PDF, email, or cloud.
pdfFiller makes dealing with documents a breeze. Create an account to find out!

Uncompromising security for your PDF editing and eSignature needs

Your private information is safe with pdfFiller. We employ end-to-end encryption, secure cloud storage, and advanced access control to protect your documents and maintain regulatory compliance.
GDPR
AICPA SOC 2
PCI
HIPAA
CCPA
FDA

How to fill out 100 general provisions

Illustration

How to fill out 100 general provisions

01
Start by understanding the purpose of the 100 general provisions.
02
Gather all necessary legal documents and references relevant to the provisions.
03
Break down each provision into its key components.
04
Write a clear and concise title for each provision.
05
State the legal requirements or obligations outlined in each provision.
06
Include any exceptions or special conditions for each provision.
07
Make sure language is consistent throughout the provisions.
08
Review each provision for clarity and legal accuracy.
09
Seek feedback from legal experts if necessary.
10
Finalize the document and ensure it complies with any applicable regulations.

Who needs 100 general provisions?

01
Legal professionals drafting contracts or agreements.
02
Businesses seeking to establish clear operational guidelines.
03
Organizations that require compliance with specific regulations.
04
Government agencies needing standardized legal frameworks.
05
Individuals preparing for legal proceedings involving general provisions.

Comprehensive Guide to the 100 General Provisions Form

Understanding the 100 General Provisions Form

The 100 General Provisions Form is a crucial document utilized across various legal and professional sectors, serving to standardize provisions in contracts, agreements, or project specifications. This form outlines general terms that govern how parties interact in various transactions. Its significance lies in ensuring clarity, minimizing misunderstandings, and establishing explicit rules that can mitigate disputes.

The importance of the 100 General Provisions Form cannot be overstated. In a legal context, this form acts as a foundational document that delineates responsibilities, rights, and expectations among involved parties. In professional circles, it ensures that all stakeholders are on the same page, thereby streamlining processes and enhancing project efficiency.

Clarity in roles and responsibilities
Reduced risk of legal disputes
Standardization of contracts across projects

Who needs to use the 100 General Provisions Form?

The 100 General Provisions Form is essential for a diverse audience. This includes homeowners embarking on renovation projects, entrepreneurs drafting contractual agreements, and contractors who need to specify work conditions. Each group benefits from having a clear understanding of their rights and obligations, which this form facilitates.

Similarly, project managers and legal teams also find this form invaluable as it serves as a go-to reference for managing expectations and ensuring compliance throughout a project lifecycle. Administrative staff benefit from it as they can assist in ensuring the form is completed accurately.

Homeowners: For clear renovation guidelines and expectations.
Entrepreneurs: To establish contractual terms with clarity.
Contractors: To specify work conditions explicitly.

Step-by-step guide to completing the 100 General Provisions Form

Before filling out the 100 General Provisions Form, it's essential to gather all required documentation. This includes any previous contracts, project specifications, and identification of involved parties. By preparing in advance, you can streamline the completion process significantly.

Utilizing tools such as pdfFiller can also enhance your efficiency when working with the form. The platform provides several built-in features designed for ease of use, including simple navigation and intuitive design.

Review the form layout to understand its structure.
Enter accurate information in designated fields.
Double-check for any inaccuracies before submission.

Editing and managing the 100 General Provisions Form online

Editing the 100 General Provisions Form is straightforward with pdfFiller's robust editing tools. Users can easily modify existing entries, add comments or annotations, and make necessary updates before finalizing the document. This online platform makes real-time collaboration seamless.

When collaborating with team members, you can grant permissions and manage access rights to ensure sensitive information remains secure. This enables you to gather input efficiently, streamlining the document revision process.

Use comment features for suggesting changes.
Set access levels for team members.
Keep track of changes with version control.

eSigning the 100 General Provisions Form

eSigning refers to the electronic signing of documents, which streamlines the approval process for the 100 General Provisions Form. This method not only simplifies the act of signing but also enhances security and compliance, as digital signatures come with encrypted information that verifies identity.

To initiate an eSignature through pdfFiller, it’s as simple as clicking a button to add your signature digitally. The platform guides users through the process to ensure each step is completed correctly, adhering to legal standards.

Select the eSigning option within pdfFiller.
Follow prompts to add your digital signature.
Confirm to save the signed document.

Common mistakes to avoid when using the 100 General Provisions Form

Users of the 100 General Provisions Form often encounter common pitfalls that can lead to complications down the line. This can include failing to fill out all relevant sections completely or misunderstanding legal terminologies that could affect the interpretation of terms.

To prevent mistakes, it's helpful to review a checklist of necessary information. This serves as a final review guide before submission, ensuring that no detail is overlooked.

Ensure all fields are completed accurately.
Clarify any legal terms that you do not understand.
Double-check the signature before submission.

Frequently asked questions about the 100 General Provisions Form

Addressing questions regarding the legality and requirements surrounding the 100 General Provisions Form is essential for users. Common inquiries include what constitutes a valid form, how to submit the form once completed, and implications of incorrect submissions.

Providing comprehensive answers to these queries not only helps potential users feel more secure about employing the form but also ensures compliance with regulation standards.

What is the legal status of a signed 100 General Provisions Form?
How do I submit the completed form?
What should I do if I find an error after submission?

Additional features and tools offered by pdfFiller

pdfFiller provides users with an extensive array of document management capabilities beyond just filling out forms. Users can store and retrieve past forms efficiently, ensuring that all historical data is readily accessible for reference or review.

The collaborative features of pdfFiller also stand out, enabling teams to share documents easily. Coupled with customer support resources that offer tutorials, users have everything they need to take full advantage of the platform.

Easily store and retrieve past forms.
Collaborate with team members in real time.
Access customer support and tutorials for guidance.

What is 100 GENERAL PROVISIONS - atp nebraska Doc Template Form?

The 100 GENERAL PROVISIONS - atp nebraska Doc Template is a fillable form in MS Word extension you can get completed and signed for specified purpose. In that case, it is furnished to the actual addressee to provide some details of certain kinds. The completion and signing is possible in hard copy or with an appropriate tool like PDFfiller. Such services help to complete any PDF or Word file online. While doing that, you can customize its appearance according to your requirements and put a legal e-signature. Upon finishing, the user sends the 100 GENERAL PROVISIONS - atp nebraska Doc Template to the respective recipient or several recipients by mail and also fax. PDFfiller has a feature and options that make your Word template printable. It provides different options when printing out appearance. No matter, how you'll deliver a document - physically or electronically - it will always look neat and clear. In order not to create a new file from the beginning all the time, turn the original Word file into a template. After that, you will have a customizable sample.

Instructions for the form 100 GENERAL PROVISIONS - atp nebraska Doc Template

When you are ready to start completing the 100 GENERAL PROVISIONS - atp nebraska Doc Template fillable template, you have to make certain all the required info is prepared. This very part is important, as far as mistakes can lead to unwanted consequences. It is always annoying and time-consuming to re-submit whole editable template, not even mentioning penalties caused by missed deadlines. To cope the figures takes more focus. At first glance, there’s nothing tricky about it. Yet still, there's nothing to make a typo. Professionals advise to keep all important data and get it separately in a different file. Once you have a template, you can just export that information from the file. Anyway, it's up to you how far can you go to provide accurate and correct data. Doublecheck the information in your 100 GENERAL PROVISIONS - atp nebraska Doc Template form carefully while filling all necessary fields. In case of any mistake, it can be promptly fixed within PDFfiller editor, so that all deadlines are met.

100 GENERAL PROVISIONS - atp nebraska Doc Template word template: frequently asked questions

1. Can I submit personal files online safely?

Tools working with such an information (even intel one) like PDFfiller are obliged to provide security measures to users. They include the following features:

  • Private cloud storage where all data is kept protected with encryption. The user is the only person who has got to access their personal files. Disclosure of the information by the service is strictly prohibited all the way.
  • To prevent identity theft, every single file gets its unique ID number once signed.
  • Users are able to use some additional security features. They are able to set authorization for recipients, for example, request a photo or password. PDFfiller also offers specific folders where you can put your 100 GENERAL PROVISIONS - atp nebraska Doc Template writable form and secure them with a password.

2. Have never heard of electronic signatures. Are they the same comparing to physical ones?

Yes, and it's absolutely legal. After ESIGN Act released in 2000, a digital signature is considered legal, just like physical one is. You can fill out a word file and sign it, and to official organizations it will be the same as if you signed a hard copy with pen, old-fashioned. While submitting 100 GENERAL PROVISIONS - atp nebraska Doc Template form, you have a right to approve it with a digital solution. Ensure that it corresponds to all legal requirements like PDFfiller does.

3. I have a sheet with some of required information all set. Can I use it with this form somehow?

In PDFfiller, there is a feature called Fill in Bulk. It helps to make an export of data from file to the online word template. The key benefit of this feature is that you can use it with Ms Excel spread sheets.

Fill form : Try Risk Free
Users Most Likely To Recommend - Summer 2025
Grid Leader in Small-Business - Summer 2025
High Performer - Summer 2025
Regional Leader - Summer 2025
Easiest To Do Business With - Summer 2025
Best Meets Requirements- Summer 2025
Rate the form
4.6
Satisfied
29 Votes

For pdfFiller’s FAQs

Below is a list of the most common customer questions. If you can’t find an answer to your question, please don’t hesitate to reach out to us.

Completing and signing 100 general provisions online is easy with pdfFiller. It enables you to edit original PDF content, highlight, blackout, erase and type text anywhere on a page, legally eSign your form, and much more. Create your free account and manage professional documents on the web.
You can easily create and fill out legal forms with the help of the pdfFiller mobile app. Complete and sign 100 general provisions and other documents on your mobile device using the application. Visit pdfFiller’s webpage to learn more about the functionalities of the PDF editor.
You can make any changes to PDF files, such as 100 general provisions, with the help of the pdfFiller mobile app for Android. Edit, sign, and send documents right from your mobile device. Install the app and streamline your document management wherever you are.
100 general provisions refer to a set of standard guidelines or requirements outlined in legal, regulatory, or administrative contexts that govern various operations or activities.
Organizations or individuals that meet specific criteria set forth by governing bodies, which often include businesses, non-profits, or anyone engaged in activities that necessitate compliance with these provisions.
Filling out 100 general provisions typically involves completing a standardized form or document that prompts for relevant information, ensuring accuracy and adherence to all specified guidelines.
The purpose of 100 general provisions is to establish a standardized framework that ensures compliance, accountability, and clarity in processes related to legal and regulatory requirements.
Information required typically includes identification details, financial data, compliance statements, and any other disclosures necessary to meet the regulatory requirements of the governing body.
Fill out your 100 general provisions online with pdfFiller!

pdfFiller is an end-to-end solution for managing, creating, and editing documents and forms in the cloud. Save time and hassle by preparing your tax forms online.

Get started now
Form preview

Related Forms

If you believe that this page should be taken down, please follow our DMCA take down process here .
This form may include fields for payment information. Data entered in these fields is not covered by PCI DSS compliance.