Form preview

Get the free Authorization for Disclosure of Medical Ination template

Get Form
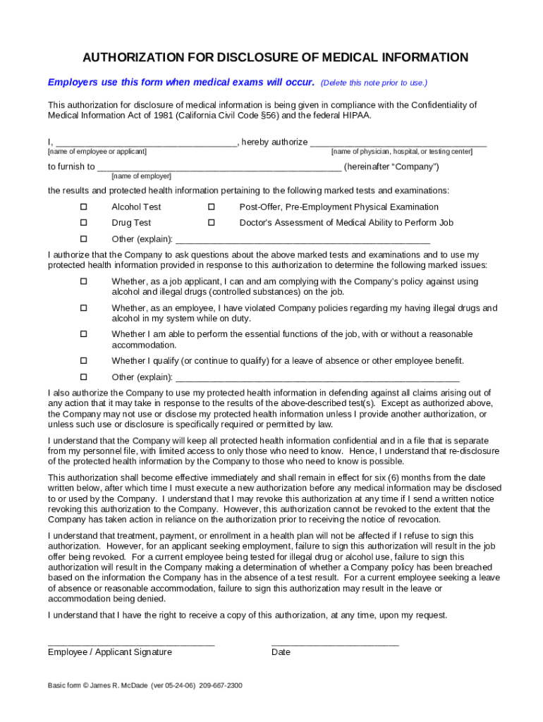
This form is used to authorize the company to obtain results of an employee's drug or alcohol tests or other medical tests.
We are not affiliated with any brand or entity on this form
Illustration
Fill out
Complete the form online in a simple drag-and-drop editor.
Illustration
eSign
Add your legally binding signature or send the form for signing.
Illustration
Share
Share the form via a link, letting anyone fill it out from any device.
Illustration
Export
Download, print, email, or move the form to your cloud storage.

Why choose pdfFiller for your legal forms?

GDPR
AICPA SOC 2
PCI
HIPAA
CCPA
FDA

All-in-one solution

pdfFiller offers a PDF editor, eSignatures, file sharing, collaboration tools, and secure storage—all in one place.

Easy to use

pdfFiller is simple, cloud-based, has a mobile app, and requires no downloads or a steep learning curve.

Secure and compliant

With encryption, user authentication, and certifications like HIPAA, SOC 2 Type II, and PCI DSS, pdfFiller keeps sensitive legal forms secure.
Form preview

What is authorization for disclosure of

An authorization for disclosure of is a legal document granting permission to release personal information to specified parties.

pdfFiller scores top ratings on review platforms

Users Most Likely To Recommend - Summer 2025
Grid Leader in Small-Business - Summer 2025
High Performer - Summer 2025
Regional Leader - Summer 2025
Love it. Use it all the time for personal and professional use. Easy to use. Excellent value.
Anonymous Customer
PDFiller has been a lifesaver in dealing back and forth with our real estate contract.
Frank J. S
love the whole website, the graphics, the concept, the ease of results.
Jane H
PDF filler was easy to use. A little trouble relocating document, though did find it.
Geraldine L
I find PDF filler very easy to use and it made my application look much neater and professional than if I had hand filled it out.
William P
Good service and I use it every day! Thanks!
Teresa H
Show more Show less
Fill fillable authorization for disclosure of form: Try Risk Free
Rate free authorization for disclosure of form
4.9
satisfied
58 votes

Who needs authorization for disclosure of?

Explore how professionals across industries use pdfFiller.
Picture
Authorization for disclosure of is needed by:
  • Patients requiring medical records for treatment.
  • Clients needing financial documents for loans.
  • Employees requesting access to personal files for job applications.
  • Individuals seeking to share information with insurance companies.

How to fill out the authorization for disclosure of

  1. 1.
    Open pdfFiller and upload the authorization for disclosure of form you wish to fill out.
  2. 2.
    Read the form carefully to understand what information is being requested.
  3. 3.
    Fill in your personal information at the top section, including your full name, address, and contact details.
  4. 4.
    Identify the specific information you wish to disclose by checking the appropriate boxes or typing in the details.
  5. 5.
    List the names of the individuals or organizations that will receive the disclosed information.
  6. 6.
    Specify the purpose of the authorization to clarify why the disclosure is needed.
  7. 7.
    Review the expiration date section to set a date when the authorization will no longer be valid.
  8. 8.
    Sign and date the form at the bottom to validate your consent.
  9. 9.
    Save the filled form and download or print a copy for your records.
Regular content decoration
If you believe that this page should be taken down, please follow our DMCA take down process here .
This form may include fields for payment information. Data entered in these fields is not covered by PCI DSS compliance.