Form preview

Get the free Certificate template

Get Form
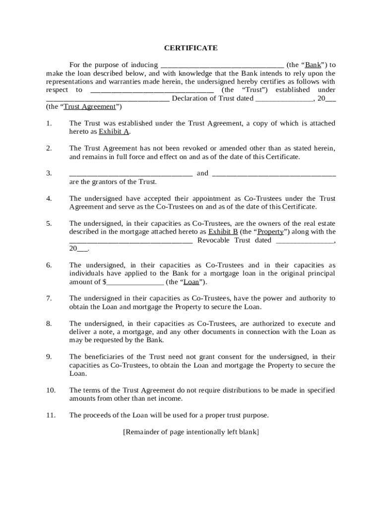
To transfer assets into a trust, a Certificate of Trust is needed. This is a summary or quotation of selected parts of the trust. Its purpose is to allow a person to know the correct name of the trust
We are not affiliated with any brand or entity on this form
Illustration
Fill out
Complete the form online in a simple drag-and-drop editor.
Illustration
eSign
Add your legally binding signature or send the form for signing.
Illustration
Share
Share the form via a link, letting anyone fill it out from any device.
Illustration
Export
Download, print, email, or move the form to your cloud storage.

Why choose pdfFiller for your legal forms?

GDPR
AICPA SOC 2
PCI
HIPAA
CCPA
FDA

All-in-one solution

pdfFiller offers a PDF editor, eSignatures, file sharing, collaboration tools, and secure storage—all in one place.

Easy to use

pdfFiller is simple, cloud-based, has a mobile app, and requires no downloads or a steep learning curve.

Secure and compliant

With encryption, user authentication, and certifications like HIPAA, SOC 2 Type II, and PCI DSS, pdfFiller keeps sensitive legal forms secure.
Form preview

What is certificate

A certificate is an official document that verifies a specific fact, achievement, or qualification.

pdfFiller scores top ratings on review platforms

Users Most Likely To Recommend - Summer 2025
Grid Leader in Small-Business - Summer 2025
High Performer - Summer 2025
Regional Leader - Summer 2025
It was much easier to use than I anticipated
Claudia R
satisfied
belle
Excelente
Helen J Rodriguez F
Its great for a quick edit to a doc.
Dono
its good to fill out my timecard and save with ease.
Amy O
GOOD EASY
Anonymous Customer
Show more Show less
Fill fillable certificate template form: Try Risk Free
Rate free certificate template form
4.9
satisfied
43 votes

Who needs certificate template?

Explore how professionals across industries use pdfFiller.
Picture
Certificate template is needed by:
  • Graduates needing proof of education.
  • Employees requiring verification of training.
  • Businesses seeking to establish legitimacy.
  • Individuals needing proof of identity or status.
  • Organizations issuing awards or recognitions.

Ultimate Guide to Certificate Forms on pdfFiller

How do you define a certificate form?

Certificate forms are essential documents used to authenticate, certify, or validate specific information or achievements. They play a crucial role in various scenarios, such as educational accolades, legal agreements, or business certifications. Integrity and precision in these forms are paramount, as inaccuracies can lead to disputes or legal complications.
  • Purpose: A certificate form serves to officially recognize achievements or validate information.
  • Uses: Frequently required in educational institutions, professional settings, and for legal documents.
  • Accuracy: Ensuring all information is correct is vital to maintain credibility and avoid future issues.

What are the key components of a certificate form?

Understanding the components of a certificate form is essential for successful completion. Typically, these components include fields for names, dates, signatures, and any specific details relevant to Trust Agreements. Each field must be filled with accurate information to ensure the certificate's validity.
  • Names: The certificate must accurately reflect the recipient's name.
  • Dates: Important for the timing of the certification; should include issue and effective dates.
  • Signatures: Typically required to validate the document; may include multiple signatories.

How can you fill out a certificate form efficiently?

To efficiently complete a certificate form, start with signing up on pdfFiller, which provides various templates to choose from. Fill out the required fields carefully and utilize the editing tools to customize the document further. Reviewing the form for accuracy before submission is crucial to avoid any potential issues.
  • Start by signing up on pdfFiller and selecting a suitable template.
  • Fill out the certificate form fields with precise details.
  • Customize using pdfFiller's editing tools to ensure it meets your requirements.
  • Review all fields for accuracy before final submission.

What tools does pdfFiller offer for managing certificate forms?

pdfFiller provides several interactive tools that make signing and managing certificate forms effortless. eSignature features enable users to sign documents digitally, ensuring a quick turnaround. Additionally, document sharing capabilities allow collaboration with team members, enhancing workflow productivity without the hassle of emailing files back and forth.
  • eSign features: Quickly sign your certificate form electronically.
  • Document sharing: Collaborate seamlessly with team members to finalize documents.
  • Secure storage: Manage and save completed forms in the cloud for easy access.

How can you creatively design a certificate form?

Creating visually appealing certificate forms is essential for making a lasting impression. Incorporate branding elements like logos or color schemes that reflect your organization’s identity. Utilize pdfFiller's selection of fonts and layouts to enhance the design, and develop personalized templates that resonate with your audience.
  • Branding: Integrate your organization's colors and logo for a customized look.
  • Layout: Choose from various layouts offered by pdfFiller to find one that suits your needs.
  • Personalization: Create tailored templates that reflect your achievements and values.

What compliance considerations should be kept in mind?

Understanding the legal requirements for certificate forms in your region is crucial. Compliance varies based on jurisdiction and can affect the legitimacy of Trust Agreements and loans. pdfFiller ensures that you can manage these documents while adhering to local regulations, safeguarding against potential legal disputes.
  • Legal requirements: Familiarize yourself with what constitutes a valid certificate in your area.
  • Impact on agreements: Ensure your documents meet current legal standards for Trust Agreements.
  • Regulatory adherence: Use pdfFiller's features to maintain compliance with local laws.

What best practices exist for managing completed certificates?

Once your certificate forms are completed, proper management is critical for maintaining organization. Implement best practices for document management in pdfFiller, including storing and retrieving completed documents efficiently. Regularly updating records, alongside creating backups, can safeguard against data loss and ensure accessibility when needed.
  • Document management: Utilize organized folders within pdfFiller for easy retrieval.
  • Maintaining records: Regularly update your completed forms and ensure they are current.
  • Backups: Keep duplicate records to prevent any potential data loss.

How to fill out the certificate template

  1. 1.
    Open the PDFfiller website and log into your account.
  2. 2.
    Select the 'Upload Document' option to upload your certificate form.
  3. 3.
    Once uploaded, click on the document to open it within the editor.
  4. 4.
    Use the text tool to add necessary information such as name, date, and signature where required.
  5. 5.
    Ensure all fields are filled out clearly and accurately according to any guidelines provided.
  6. 6.
    Utilize any 'Checklist' feature if available to verify all sections are completed.
  7. 7.
    Review the entire document for spelling errors or missing information.
  8. 8.
    Once satisfied, click the 'Save' option to retain changes.
  9. 9.
    Finally, choose 'Download' or 'Share' to export your completed certificate.
Regular content decoration
If you believe that this page should be taken down, please follow our DMCA take down process here .
This form may include fields for payment information. Data entered in these fields is not covered by PCI DSS compliance.