Form preview

Get the free pdffiller

Get Form
Modification of a trust may be done through a procedure called amendment. For example one can amend a trust to change or add beneficiaries, change disposition of assets in the trust, or change trustees.
We are not affiliated with any brand or entity on this form
Illustration
Fill out
Complete the form online in a simple drag-and-drop editor.
Illustration
eSign
Add your legally binding signature or send the form for signing.
Illustration
Share
Share the form via a link, letting anyone fill it out from any device.
Illustration
Export
Download, print, email, or move the form to your cloud storage.

Why choose pdfFiller for your legal forms?

GDPR
AICPA SOC 2
PCI
HIPAA
CCPA
FDA

All-in-one solution

pdfFiller offers a PDF editor, eSignatures, file sharing, collaboration tools, and secure storage—all in one place.

Easy to use

pdfFiller is simple, cloud-based, has a mobile app, and requires no downloads or a steep learning curve.

Secure and compliant

With encryption, user authentication, and certifications like HIPAA, SOC 2 Type II, and PCI DSS, pdfFiller keeps sensitive legal forms secure.
Form preview

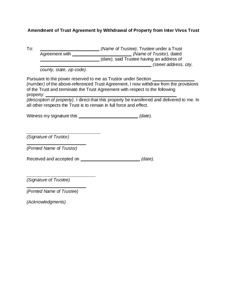
What is amendment of trust agreement

An amendment of trust agreement is a legal document that modifies the terms of an existing trust agreement.

pdfFiller scores top ratings on review platforms

Users Most Likely To Recommend - Summer 2025
Grid Leader in Small-Business - Summer 2025
High Performer - Summer 2025
Regional Leader - Summer 2025
I've had some problems with the application but overall it meets my business needs.
jawahna h
Easy to use and very useful in today's business world
Barbara S
This is a great tool (and I design systems similar to this). However, I'm just not sure I will use it enough in order to justify the annual price.
Kimberly M
I have just started using this program but so far I am happy with it. It is great for completing documents that have been scanned in.
Jean
This was the best PDF editor site I have seen thus far! It was so smooth and easy to use, as well as had multiple options to easily save and transfer the document without needing to convert everything back and forth!
Shannon
ealy good app. for this time with the pandemie ...
andre t
Show more Show less
Fill fillable pdffiller template form: Try Risk Free
Rate free pdffiller template form
4.8
satisfied
26 votes

Who needs pdffiller template?

Explore how professionals across industries use pdfFiller.
Picture
Pdffiller template is needed by:
  • Trustees seeking to update trust terms.
  • Beneficiaries wanting to clarify their rights.
  • Legal representatives managing trust assets.
  • Individuals adjusting trust for tax purposes.
  • Parties involved in estate planning or legal disputes.

How to fill out the pdffiller template

  1. 1.
    Open the pdfFiller website and log in to your account or create a new one if you don't have an account.
  2. 2.
    Upload your existing trust agreement document to the platform by selecting 'Upload' or dragging and dropping the file into the designated area.
  3. 3.
    Once uploaded, look for the 'Edit' option, and select it to start making changes to your trust agreement.
  4. 4.
    Use text fields to add new provisions or modify existing terms as necessary, ensuring all changes comply with legal standards.
  5. 5.
    Review the document for any errors and ensure that all necessary amendments are clearly stated and easy to understand.
  6. 6.
    After completing the edits, save the document and choose the option to 'Print' or 'Download' to obtain a physical or electronic copy for your records.
  7. 7.
    Consider sharing the amended agreement with all relevant parties, such as beneficiaries and legal advisors, for transparency and record-keeping.
Regular content decoration
If you believe that this page should be taken down, please follow our DMCA take down process here .
This form may include fields for payment information. Data entered in these fields is not covered by PCI DSS compliance.