Form preview

Get the free Notice to Trustee of Assignment template

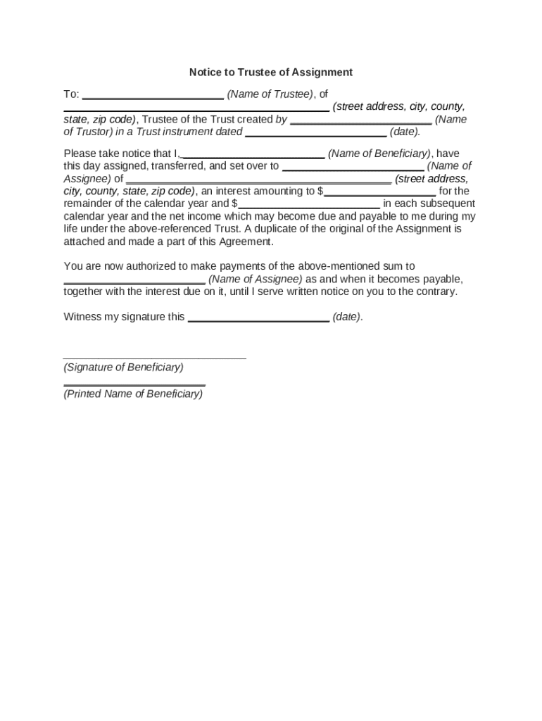
Get Form
An assignment by a feneficiary of his or her interest in a trust is usually regarded as a transfer of a right, title, or estate in property. As a general rule, the essentials of such an assignment
We are not affiliated with any brand or entity on this form
Illustration
Fill out
Complete the form online in a simple drag-and-drop editor.
Illustration
eSign
Add your legally binding signature or send the form for signing.
Illustration
Share
Share the form via a link, letting anyone fill it out from any device.
Illustration
Export
Download, print, email, or move the form to your cloud storage.

Why choose pdfFiller for your legal forms?

GDPR
AICPA SOC 2
PCI
HIPAA
CCPA
FDA

All-in-one solution

pdfFiller offers a PDF editor, eSignatures, file sharing, collaboration tools, and secure storage—all in one place.

Easy to use

pdfFiller is simple, cloud-based, has a mobile app, and requires no downloads or a steep learning curve.

Secure and compliant

With encryption, user authentication, and certifications like HIPAA, SOC 2 Type II, and PCI DSS, pdfFiller keeps sensitive legal forms secure.
Form preview

What is notice to trustee of

A Notice to Trustee of is a formal communication indicating a change or event regarding a trust or estate that must be acknowledged by the trustee.

pdfFiller scores top ratings on review platforms

Users Most Likely To Recommend - Summer 2025
Grid Leader in Small-Business - Summer 2025
High Performer - Summer 2025
Regional Leader - Summer 2025
Excellent software to use Excellent software to use, works perfectly and really supports all the challenges I have.
Dmitry Krajnov
Good Good software and program
MARIA RAMIREZ
Excellent program for my business. I use it every week. My customers have blank forms that need to be filled in.
Alan M
Easy to use
Tyler Q
Love it! Easy to use ! Just perfect.
Latasha T C
VERY EASY TO USE
Atunaisa P
Show more Show less
Fill fillable notice to trustee of form: Try Risk Free
Rate free notice to trustee of form
4.3
satisfied
41 votes

Who needs notice to trustee of?

Explore how professionals across industries use pdfFiller.
Picture
Notice to trustee of is needed by:
  • Beneficiaries of a trust
  • Trustees managing estates
  • Legal representatives of the estate
  • Property owners involved in trust arrangements
  • Creditors holding claims against the trust

How to fill out the notice to trustee of

  1. 1.
    Open pdfFiller and upload your Notice to Trustee of form.
  2. 2.
    Fill in the date at the top of the document to indicate when the notice is being issued.
  3. 3.
    In the 'Trustee Information' section, provide the full name and contact details of the trustee.
  4. 4.
    In the 'Notifying Party Information' section, enter your full name and details as the sender.
  5. 5.
    Clearly state the purpose of the notice in a concise manner, including any important details regarding the trust or estate.
  6. 6.
    Indicate any specific instructions or actions required from the trustee.
  7. 7.
    Review the document for accuracy and completeness, ensuring all essential information is present.
  8. 8.
    Submit or send the completed form electronically through pdfFiller, or print it for physical delivery.
Regular content decoration
If you believe that this page should be taken down, please follow our DMCA take down process here .
This form may include fields for payment information. Data entered in these fields is not covered by PCI DSS compliance.