Form preview

Get the free pdffiller

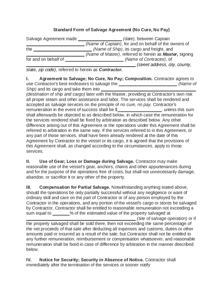
Get Form
This form is adapted from the Standard Form of Salvage Agreement approved and published by the Committee of Lloyd's. It is the contract most frequently used between salvors and ship owners. When no
We are not affiliated with any brand or entity on this form
Illustration
Fill out
Complete the form online in a simple drag-and-drop editor.
Illustration
eSign
Add your legally binding signature or send the form for signing.
Illustration
Share
Share the form via a link, letting anyone fill it out from any device.
Illustration
Export
Download, print, email, or move the form to your cloud storage.

Why choose pdfFiller for your legal forms?

GDPR
AICPA SOC 2
PCI
HIPAA
CCPA
FDA

All-in-one solution

pdfFiller offers a PDF editor, eSignatures, file sharing, collaboration tools, and secure storage—all in one place.

Easy to use

pdfFiller is simple, cloud-based, has a mobile app, and requires no downloads or a steep learning curve.

Secure and compliant

With encryption, user authentication, and certifications like HIPAA, SOC 2 Type II, and PCI DSS, pdfFiller keeps sensitive legal forms secure.
Form preview

What is standard form of salvage

The standard form of salvage is a legally recognized document outlining the terms and conditions for the salvage of property after a loss.

pdfFiller scores top ratings on review platforms

Users Most Likely To Recommend - Summer 2025
Grid Leader in Small-Business - Summer 2025
High Performer - Summer 2025
Regional Leader - Summer 2025
Exactly what I needed. Exactly what I needed!
Victor Moseley
Way better that DocuSign Way better that DocuSign. Everything I need is here.
Daylon Hunter
this is a great app this is a great app. thank you
ms sims
I had a very complicated question pertaining to a credit card charge, (I didn't know which account within our company had incurred the charge, and therefore, couldn't track down a receipt) **** helped me reverse engineer the charge to find out where it came from. My company provides Customer Support for the Video Gaming industry, so I know the value of a positive CS experience. Way to Go, ****!
Kristi C
I had a very complicated question pertaining to a credit card charge, (I didn't know which account within our company had incurred the charge, and therefore, couldn't track down a receipt) **** helped me reverse engineer the charge to find out where it came from. My company provides Customer Support for the Video Gaming industry, so I know the value of a positive CS experience. Way to Go, ****!
Kristi C
I had a very complicated question pertaining to a credit card charge, (I didn't know which account within our company had incurred the charge, and therefore, couldn't track down a receipt) **** helped me reverse engineer the charge to find out where it came from. My company provides Customer Support for the Video Gaming industry, so I know the value of a positive CS experience. Way to Go, ****!
Kristi C
Show more Show less
Fill fillable pdffiller template form: Try Risk Free
Rate free pdffiller template form
4.3
satisfied
53 votes

Who needs pdffiller template?

Explore how professionals across industries use pdfFiller.
Picture
Pdffiller template is needed by:
  • Insurance adjusters
  • Salvage companies
  • Property owners
  • Legal professionals
  • Maritime operators

How to fill out the pdffiller template

  1. 1.
    Start by downloading the standard form of salvage from pdfFiller.
  2. 2.
    Open the PDF file in pdfFiller.
  3. 3.
    Begin with the header section: Enter the date of the salvage event and the relevant parties involved, including their names and contact information.
  4. 4.
    Proceed to the body of the form: Fill in the description of the property being salvaged, including its condition and any identifying details.
  5. 5.
    For the financial section, input the estimated value of the salvage and any applicable deductions or conditions related to the salvage operation.
  6. 6.
    Review the terms and conditions carefully, ensuring all required fields are completed accurately.
  7. 7.
    Finally, sign the document electronically and include any necessary witness signatures if required.
  8. 8.
    Save the completed form and consider printing a copy for your records.
Regular content decoration
If you believe that this page should be taken down, please follow our DMCA take down process here .
This form may include fields for payment information. Data entered in these fields is not covered by PCI DSS compliance.