Form preview

Get the free pdffiller

Get Form
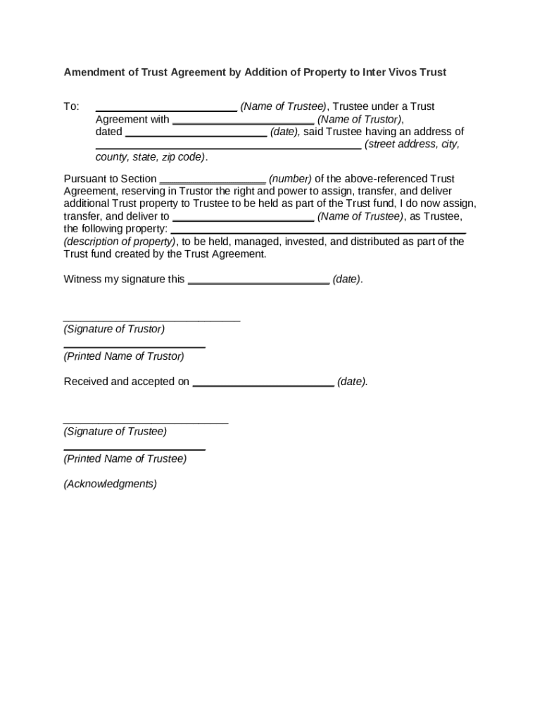
Modification of a trust may be done through a procedure called amendment. For example one can amend a trust to change or add beneficiaries, change disposition of assets in the trust, or change trustees.
We are not affiliated with any brand or entity on this form
Illustration
Fill out
Complete the form online in a simple drag-and-drop editor.
Illustration
eSign
Add your legally binding signature or send the form for signing.
Illustration
Share
Share the form via a link, letting anyone fill it out from any device.
Illustration
Export
Download, print, email, or move the form to your cloud storage.

Why choose pdfFiller for your legal forms?

GDPR
AICPA SOC 2
PCI
HIPAA
CCPA
FDA

All-in-one solution

pdfFiller offers a PDF editor, eSignatures, file sharing, collaboration tools, and secure storage—all in one place.

Easy to use

pdfFiller is simple, cloud-based, has a mobile app, and requires no downloads or a steep learning curve.

Secure and compliant

With encryption, user authentication, and certifications like HIPAA, SOC 2 Type II, and PCI DSS, pdfFiller keeps sensitive legal forms secure.
Form preview

What is amendment of trust agreement

An amendment of trust agreement is a legal document used to modify the terms of an existing trust agreement.

pdfFiller scores top ratings on review platforms

Users Most Likely To Recommend - Summer 2025
Grid Leader in Small-Business - Summer 2025
High Performer - Summer 2025
Regional Leader - Summer 2025
Just started using it. Haven't had any issues and it seems easy to use.
Roxanne P
So far it's great. I'm not planning on completing a passport application for my grandson. Hope it works.
Keith P
Wonderful, I cannot write because of my MS so this helps me tremendously.
cindy I
while a bit pricey for per annum I have found this product to be more user friendly than others
Gloria D
Makes changing a PDF very easy so happy worker!
Tanya
I am so happy to have this service. Should have gotten it a long time ago
Sylvia
Show more Show less
Fill fillable pdffiller template form: Try Risk Free
Rate free pdffiller template form
4.5
satisfied
44 votes

Who needs pdffiller template?

Explore how professionals across industries use pdfFiller.
Picture
Pdffiller template is needed by:
  • Trustees seeking changes to the trust.
  • Beneficiaries desiring updates due to personal circumstances.
  • Attorneys managing estate plans.
  • Financial advisors adjusting client trusts.
  • Individuals wanting to clarify trust provisions.

How to fill out the pdffiller template

  1. 1.
    Open the pdfFiller website and log in to your account or create a new one if necessary.
  2. 2.
    Search for the 'amendment of trust agreement' template in the search bar.
  3. 3.
    Select the appropriate document from the results and click on it to open.
  4. 4.
    Fill in the required fields, such as the names of the grantor, trustee, and any beneficiaries if necessary.
  5. 5.
    Modify the specific clauses of the trust that need changes, ensuring accurate wording to reflect your intentions.
  6. 6.
    Review the changes for clarity and legality; it may be prudent to consult a legal advisor at this stage.
  7. 7.
    Once completed, save the document, and prepare to download or print as needed.
  8. 8.
    If sending to parties involved, consider using pdfFiller's e-signature feature to gather necessary signatures electronically.
Regular content decoration
If you believe that this page should be taken down, please follow our DMCA take down process here .
This form may include fields for payment information. Data entered in these fields is not covered by PCI DSS compliance.