Form preview

Get the free Sublease of Building template

Get Form
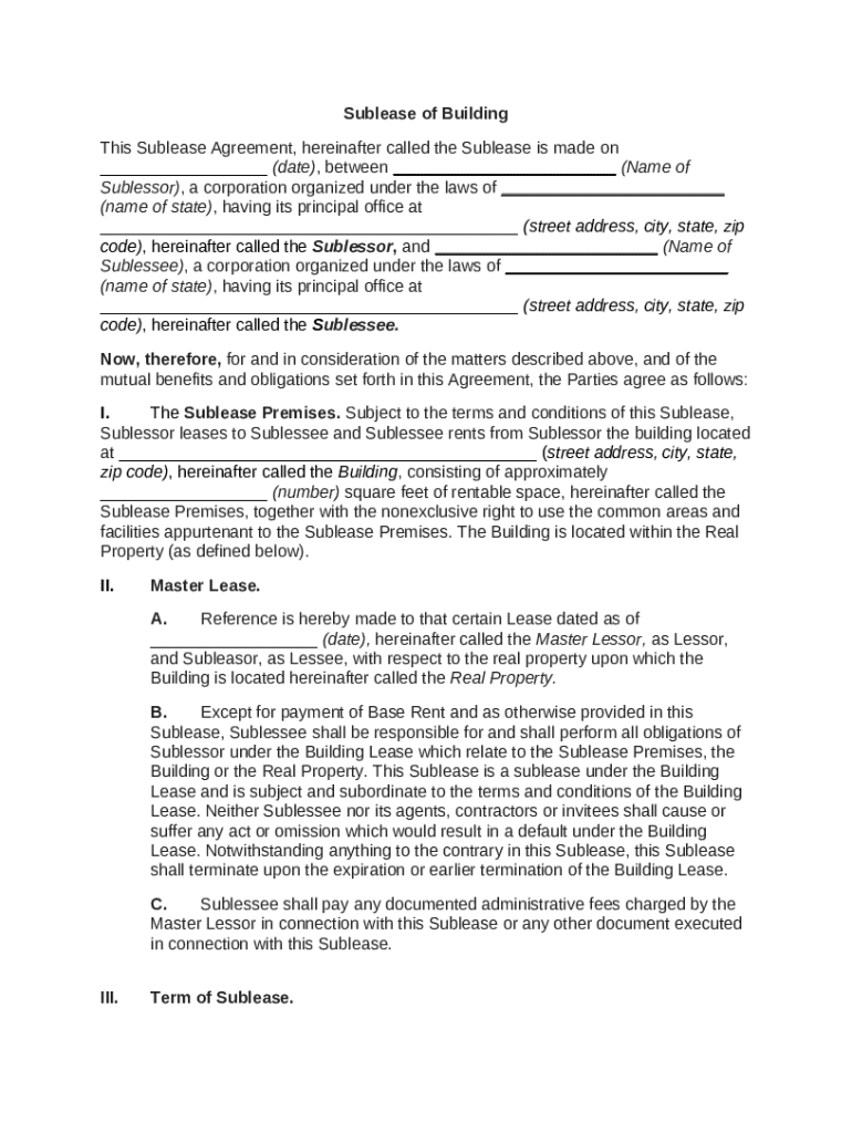
Sublease means to lease or rent all or part of a leased or rented property. A sublessee is someone who has the right to use and occupy rental property leased by a sublessor to a sublessee. A sublessee
We are not affiliated with any brand or entity on this form
Illustration
Fill out
Complete the form online in a simple drag-and-drop editor.
Illustration
eSign
Add your legally binding signature or send the form for signing.
Illustration
Share
Share the form via a link, letting anyone fill it out from any device.
Illustration
Export
Download, print, email, or move the form to your cloud storage.

Why choose pdfFiller for your legal forms?

GDPR
AICPA SOC 2
PCI
HIPAA
CCPA
FDA

All-in-one solution

pdfFiller offers a PDF editor, eSignatures, file sharing, collaboration tools, and secure storage—all in one place.

Easy to use

pdfFiller is simple, cloud-based, has a mobile app, and requires no downloads or a steep learning curve.

Secure and compliant

With encryption, user authentication, and certifications like HIPAA, SOC 2 Type II, and PCI DSS, pdfFiller keeps sensitive legal forms secure.
Form preview

What is sublease of building

A sublease of building is a legal agreement in which a tenant leases their rented space to another party for a specified duration under certain conditions.

pdfFiller scores top ratings on review platforms

Users Most Likely To Recommend - Summer 2025
Grid Leader in Small-Business - Summer 2025
High Performer - Summer 2025
Regional Leader - Summer 2025
Amazing tool! Easy and practic to use and it worked perfectly for me.
Glauber
There are a number of forms and editing them is very easy. Still learning the ins and outs so not yet ready to give it a 5 star.
Mike S
Awesome way to edit PDF. Go PDFFiller !!
Sandesh
For the most part, it is a helpful tool. However, I will need to cancel my initial free subscription because one of the documents I would be using on a bi-weekly basis would be for payroll purposes. Unfortunately, when I scanned the document, I was not able to enter numbers in the fields. After several attempts, I checked the hardcopy document and it has a feature, which requires an applicant to fill in the document with a blue pen, something I was not aware of ahead of time. Evidently, the company had the documented protected to only read "handwritten", blue pen entries. I would be using the document as mentioned above for other candidates on a weekly basis and since this product, through no fault of its own, won't allow me to do that, it doesn't serve my business purposes.
Antonia C
this really helps in my business to fill out forms from state to my clients.
Jeff H
Works very effectively, lots of options for amendments
Anonymous Customer
Show more Show less
Fill fillable sublease of building template form: Try Risk Free
Rate free sublease of building template form
4.7
satisfied
59 votes

Who needs sublease of building template?

Explore how professionals across industries use pdfFiller.
Picture
Sublease of building template is needed by:
  • Landlords looking to re-rent unused space
  • Tenants needing to relocate without breaking their lease
  • Businesses seeking temporary office space
  • Students wanting short-term housing
  • Property managers facilitating subletting arrangements

Comprehensive Guide to the Sublease of Building Form

The sublease of building form allows tenants to legally rent out a portion or all of their leased property to another party, known as the sublessee. This guide provides a detailed look on how to properly fill out this essential document, empowering both sublessors and sublessees to navigate their subleasing responsibilities.

What is a sublease agreement?

A sublease agreement is a legal contract that allows a current tenant (the sublessor) to rent out their leased property to another individual (the sublessee). This type of arrangement is particularly important in real estate transactions, as it outlines the rights and responsibilities of all parties involved, ensuring clear communication and compliance with original lease terms.
  • It's a legal document detailing the terms under which a tenant can lease their rented property.
  • The sublessor is the person who rents out the property, while the sublessee is the person who takes over the rental agreement.
  • Subleases provide flexibility for tenants to manage space during changes in business needs without breaching lease agreements.

What are the core elements of the sublease agreement?

A comprehensive sublease agreement must include specific essential elements to ensure both parties are protected. These elements provide clarity about the lease terms and help manage expectations throughout the subleasing process.
  • This should include a detailed address and description of the property being subleased, including any specific areas included in the rental.
  • Include information regarding the original lease terms related to the building, restrictions, and permissions.
  • The sublessor must provide the sublessee with a copy of the master lease to ensure compliance with the original lease's stipulations.

How do fill out the sublease form?

Filling out the sublease form correctly is crucial. Inaccurate or incomplete forms can lead to misunderstandings or legal complications. Follow these steps to ensure a smooth process.
  • Clearly list both parties’ full names, contact information, and any relevant identification numbers to avoid confusion.
  • Provide a thorough and specific description of the space, including any common areas.
  • Integrate key terms from the master lease that affect the sublease, ensuring both parties are aware of all conditions.

Why are common clauses important?

Common clauses in a sublease agreement are vital for delineating responsibilities and protecting the interests of both parties. These clauses clarify terms that often lead to disputes if not clearly articulated.
  • Clearly outline how rent payments should be handled—who pays what and when.
  • Ensure the sublessee knows their rights to use shared spaces and any limitations that may apply.
  • Sublessees should be aware of their responsibilities under the original lease agreement to prevent penalties.

What interactive features does pdfFiller offer for creating sublease agreements?

pdfFiller provides a suite of tools to facilitate the creation and management of sublease agreements. This platform enables users to create customizable forms, ensuring their sublease fits their unique needs.
  • Users can easily modify document fields to tailor the sublease to specific agreements and requirements.
  • The platform offers secure electronic signature options that are legally recognized, making processes swift and efficient.
  • Teams can work together in real-time to complete and finalize sublease documents, streamlining the workflow.

What compliance and local considerations should keep in mind?

Local laws and regulations can significantly affect the terms of subleasing. Understanding these regional nuances is crucial for ensuring compliance and avoiding legal repercussions.
  • Different states have their own subleasing laws—North Carolina, for instance, has specific guidelines that must be adhered to.
  • Ensure to include any required disclosures or specific terms mandated by North Carolina law.
  • Different kinds of properties such as retail, office, or industrial may have distinct regulations regarding subleasing.

What are the best practices for managing and executing the sublease agreement?

Proper management and execution of a sublease agreement can mitigate potential disputes. Adhering to best practices ensures smooth operations post-signing.
  • Ensure that both parties receive a signed copy of the agreement immediately after execution for their records.
  • Users can securely store their signed forms in the cloud for quick access whenever necessary.
  • Regular communication about any changes or issues should take place to keep both parties informed and mitigate risks.

How to fill out the sublease of building template

  1. 1.
    Start by downloading the sublease of building template from pdfFiller.
  2. 2.
    Open the template in pdfFiller to begin filling it out.
  3. 3.
    Enter your name and contact information as the sublessor at the top of the form.
  4. 4.
    Fill in the details of the original lease, including the landlord's name and property address.
  5. 5.
    Provide the start and end dates of the sublease period under the sublease term section.
  6. 6.
    Specify the rental amount and payment terms, including due dates and acceptable payment methods.
  7. 7.
    List any utilities or services included in the rental agreement.
  8. 8.
    Include the name and contact information of the sublessee in the designated area.
  9. 9.
    Ensure any rules or restrictions from the original lease are reiterated in the sublease.
  10. 10.
    Review all filled information for accuracy and completeness before finalizing the document.
  11. 11.
    Save the completed form and either print it for signatures or send it electronically for signing.
Regular content decoration
If you believe that this page should be taken down, please follow our DMCA take down process here .
This form may include fields for payment information. Data entered in these fields is not covered by PCI DSS compliance.