Form preview

Get the free Agreement for the Repair of an Aircraft template

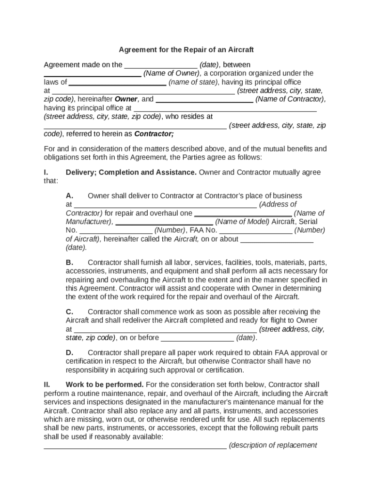
Get Form
The main source for aviation law then is federal law, such as administered by the Federal Aviation Administration (FAA), who issues directives on the airworthiness of aircraft. An airworthiness certificate
We are not affiliated with any brand or entity on this form
Illustration
Fill out
Complete the form online in a simple drag-and-drop editor.
Illustration
eSign
Add your legally binding signature or send the form for signing.
Illustration
Share
Share the form via a link, letting anyone fill it out from any device.
Illustration
Export
Download, print, email, or move the form to your cloud storage.

Why choose pdfFiller for your legal forms?

GDPR
AICPA SOC 2
PCI
HIPAA
CCPA
FDA

All-in-one solution

pdfFiller offers a PDF editor, eSignatures, file sharing, collaboration tools, and secure storage—all in one place.

Easy to use

pdfFiller is simple, cloud-based, has a mobile app, and requires no downloads or a steep learning curve.

Secure and compliant

With encryption, user authentication, and certifications like HIPAA, SOC 2 Type II, and PCI DSS, pdfFiller keeps sensitive legal forms secure.
Form preview

What is agreement for form repair

An agreement for form repair is a legal document outlining the terms and conditions under which a form or document will be repaired or restored.

pdfFiller scores top ratings on review platforms

Users Most Likely To Recommend - Summer 2025
Grid Leader in Small-Business - Summer 2025
High Performer - Summer 2025
Regional Leader - Summer 2025
It has made filling out Gov. and town code applications easy and possible
Mar
PDFfiller is so convenient and time-saving - I love it and highly recommend!
Patti B
Easy to use.. HELPS with the anxiety I was having.. AWESOME I would recommend this to everyone
Brandi O
It is a excellent service that has made my life so much easie
Israel W
this is a great tool. I love it and need to learn more on how to use it.
juan e c
Just signed up but I'm impressed so far!
David H
Show more Show less
Fill fillable agreement for form repair form: Try Risk Free
Rate free agreement for form repair form
4.9
satisfied
40 votes

Who needs agreement for form repair?

Explore how professionals across industries use pdfFiller.
Picture
Agreement for form repair is needed by:
  • Individuals requiring document restoration
  • Businesses needing form repairs for records
  • Legal firms managing damaged documents
  • Archivists preserving historical forms
  • Contractors restoring property-related documents

Comprehensive Guide to Crafting a Repair Form Agreement

How to effectively understand the repair agreement structure?

A well-structured repair agreement is crucial for ensuring clarity between parties. Key components to include in the agreement are identification of the parties involved, description of the work to be performed, and payment terms. Legal language helps in minimizing ambiguities, thus protecting both parties' interests. By formalizing these details, you can significantly reduce conflicts and misunderstandings, creating a smoother repair process.
  • Include identification of the parties, scope of work, and payment conditions.
  • Ensure the use of legal language to avoid ambiguities.
  • Formal agreements minimize misunderstandings.

Who are the parties in the agreement?

Typically, a repair agreement involves at least two parties: the Owner, who possesses the item needing repair, and the Contractor, responsible for executing the repair work. Each party has distinct legal obligations and rights outlined in the contract to ensure accountability. Using precise language for identification clauses reinforces the commitment of both parties and clarifies roles.
  • The individual or entity that owns the property being repaired.
  • The service provider responsible for the repair work.
  • Clearly define responsibilities and rights for each party.

What should be included in delivery and completion expectations?

Setting clear delivery timelines and expectations for completion is vital in a repair agreement. Outline the conditions under which the work is to be carried out and specify any standards or certifications needed upon completion. This provides both parties with a clear view of the expectations and the procedures for redelivery if applicable.
  • Specify the time frame for when repairs will begin and end.
  • Define what constitutes satisfactory completion, possibly including certifications.
  • Outline how and when the repaired item will be returned.

How to define work scope and responsibilities?

Detailing the work scope in your agreement minimizes scope creep, which can complicate repairs. Make sure to clarify the specific work to be performed, the materials and tools needed, and potential services that may be rendered. Additionally, outlining user responsibilities can help prevent disputes over who is liable for damages or additional costs.
  • Clearly outline the repairs to be conducted on the item.
  • List all materials and tools required for the repair.
  • Define responsibilities of the owner during the repair process.

What compliance and certification requirements should be covered?

For any repair agreement, especially in regulated industries such as aviation, understanding compliance with certification requirements is key. Contractors must be aware of FAA approval processes if applicable, as their role often includes obtaining necessary certifications. This focuses on risk mitigation by ensuring repairs meet legal standards.
  • Necessary for aviation repairs; understand the criteria well.
  • They should handle obtaining all relevant certifications.
  • Ensure compliance to reduce risks associated with repairs.

What are the legal considerations and terms for the agreement?

Incorporating essential legal terms into the repair agreement underpins its enforceability. Prioritize cancellation provisions and crafting amendments or termination clauses that meet both parties' needs. These legal considerations not only protect against unexpected changes but also enhance the integrity of the contract.
  • Include cancellation and amendment clauses to protect parties.
  • Assess the impact of legal terms on agreement feasibility.
  • Strong terms preserve the contract's enforceability.

How can pdfFiller help you create your repair agreement?

pdfFiller offers a user-friendly solution for creating, editing, and managing your repair agreement. It provides a step-by-step guide on how to fill out a PDF agreement effectively. Features like document collaboration and e-signatures enhance the convenience and legality of your agreements, allowing for an efficient loop from creation to storage.
  • Step-by-step guidance on using pdfFiller for agreement creation.
  • Explore tools for easy edits and customization.
  • Make your agreements legally binding with e-signatures.

What steps to finalize and manage your agreement?

Finalizing your repair agreement includes cloud storage and easy access for all involved parties. Utilizing pdfFiller, you can track changes and discussions with team members efficiently. Managing multiple versions of the agreement seamlessly ensures all parties are on the same page, mitigating potential conflicts.
  • Store agreements for easy access for all authorized users.
  • Monitor edits and discussions enabling better collaboration.
  • Keep track of multiple versions to avoid confusion.

How to fill out the agreement for form repair

  1. 1.
    Open the agreement for form repair document in pdfFiller.
  2. 2.
    Enter the date at the top of the document.
  3. 3.
    Fill in the full name and contact information of the party requesting the repair.
  4. 4.
    Provide a detailed description of the document needing repair, including its type and condition.
  5. 5.
    Include the estimated date by which the repair is expected to be completed.
  6. 6.
    Add any specific instructions or requirements for the repair process in the designated section.
  7. 7.
    Review all entered information for accuracy before signing.
  8. 8.
    Sign the document electronically using pdfFiller's signature tool.
  9. 9.
    Optionally, add additional signers if necessary and send the agreement to the repair service for their signature.
Regular content decoration
If you believe that this page should be taken down, please follow our DMCA take down process here .
This form may include fields for payment information. Data entered in these fields is not covered by PCI DSS compliance.