Form preview

Get the free Equipment Lease of Patented Machinery with License Agreement template

Get Form
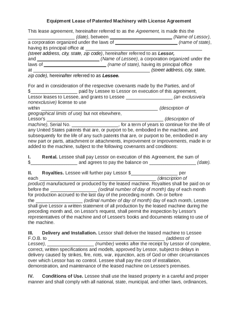
This form is an equipment lease of patented machinery with license agreement.
We are not affiliated with any brand or entity on this form
Illustration
Fill out
Complete the form online in a simple drag-and-drop editor.
Illustration
eSign
Add your legally binding signature or send the form for signing.
Illustration
Share
Share the form via a link, letting anyone fill it out from any device.
Illustration
Export
Download, print, email, or move the form to your cloud storage.

Why choose pdfFiller for your legal forms?

GDPR
AICPA SOC 2
PCI
HIPAA
CCPA
FDA

All-in-one solution

pdfFiller offers a PDF editor, eSignatures, file sharing, collaboration tools, and secure storage—all in one place.

Easy to use

pdfFiller is simple, cloud-based, has a mobile app, and requires no downloads or a steep learning curve.

Secure and compliant

With encryption, user authentication, and certifications like HIPAA, SOC 2 Type II, and PCI DSS, pdfFiller keeps sensitive legal forms secure.
Form preview

What is equipment lease of patented

An equipment lease of patented is a legal agreement that allows one party to use patented equipment owned by another party for a specified time in exchange for payment.

pdfFiller scores top ratings on review platforms

Users Most Likely To Recommend - Summer 2025
Grid Leader in Small-Business - Summer 2025
High Performer - Summer 2025
Regional Leader - Summer 2025
I wanted to merge multiple PDFs to… I wanted to merge multiple PDFs to make a unique Journal. but BOOK BOLT didn't have that feature, I was disappointed.. Then I was watching a YouTube video and it mentioned this PDF editor.. I have created my unique Journal and I am ready to sell it on Amazon... Thank you so much. This is a money making software. Hats off to you ALL!!! Peace, Power and Success. David Star is Zodicus Prime..
Jesse Martin
I'm 77 with very little computer… I'm 77 with very little computer skills. I found it easy to use after a few trials and errors. I seem to work for me. Thank you.
Rufus Mazzell
Great pdf editor for a really fair… Great pdf editor for a really fair price. They make editing is so easy even your granny could do it!
Kylie Delia
Satisfactory
Akeem Akintola
good good service across the board
mystery
This app is easy to use for new user This app is easy to use for new user! Especially for a beginner such as myself, the way I am able to navigate and find certain tools is something I've been praying for since I was able to type!! I appreciate the time and effort that was put into making an awesome site like this!!
Angel Sanders
Show more Show less
Fill fillable equipment lease of patented form: Try Risk Free
Rate free equipment lease of patented form
4.8
satisfied
60 votes

Who needs equipment lease of patented?

Explore how professionals across industries use pdfFiller.
Picture
Equipment lease of patented is needed by:
  • Inventors looking to monetize their patents
  • Businesses needing specialized equipment without the cost of purchase
  • Contractors requiring temporary use of patented technology
  • Startups seeking reduced capital expenditure
  • Manufacturers seeking to expand product offerings

Mastering the Equipment Lease of Patented Machinery with License Agreement

How to fill out an equipment lease of patented form form

Filling out an equipment lease of patented form form requires attention to detail to ensure compliance and clarity in the agreement. Begin by understanding the contract's elements, like payment terms and licensing rights. Utilize pdfFiller to edit and manage your lease efficiently, ensuring all necessary details are included.

Understanding the equipment lease agreement basics

An equipment lease agreement is a contractual arrangement where one party (the lessor) allows another party (the lessee) to use equipment for a specified time in exchange for payment. This is particularly important for patented machinery, which has legal protections that can influence lease conditions.
  • This sets forth the utilization terms between the lease parties, emphasizing the importance of legally binding agreements.
  • Patented machinery has a competitive edge in the market due to its protected innovations, making lease terms critical.
  • Understanding the roles of the lessor and lessee assists in establishing clear communication throughout the leasing process.

What are the key components of rental terms and payment structures?

The rental terms should clearly define initial payment requirements and the schedule for subsequent payments, which create financial transparency. These elements are crucial for both parties to manage expectations and cash flow effectively.
  • Typically, a security deposit or first month’s rent is required upon agreement signing.
  • Clearly outline when payments are due, whether monthly, quarterly, or at other specific intervals.

How are royalties calculated in equipment leases?

Royalties may be a substantial part of the equipment lease, especially if the patented machinery generates revenue through product manufacturing. A clear royalty payment structure should be included, highlighting how much will be paid per product and the timeline for royalty reporting.
  • Specify the rate of royalties per unit or revenue generated which provides clarity in financial expectations.
  • Establish regular reporting intervals to ensure accuracy and compliance with contractual obligations.

How to define the terms of use and licensing?

Licensing terms are vital as they define how the patented machinery can be used. Exclusive licenses grant specific rights, while nonexclusive licenses allow multiple parties to use the invention. Geographic limitations and the duration of the licensing period must be defined to avoid conflicts.
  • Exclusive licenses provide singular rights to the lessee, fostering more competitive use of the equipment.
  • These terms specify where the equipment can be utilized, which can impact operational strategy.
  • Establish how long the original patent protections will intertwine with the lease period.

What important covenants and conditions should be considered?

Contracts have various covenants that should be accounted for, ensuring both lessor and lessee understand their responsibilities. Dispute resolution mechanisms and compliance with regional laws are also critical to include, which aids in smoothly navigating potential conflicts.
  • Both parties should have their obligations clearly defined to prevent misunderstandings.
  • Having defined methods for conflict resolution, such as mediation or arbitration, can significantly reduce litigation costs.
  • Understanding specific regulations pertaining to the region affects the execution of equipment leases.

How can pdfFiller enhance document management?

pdfFiller provides users with a powerful platform to manage their documents related to equipment leases. This includes seamless editing of lease templates, eSigning, and collaboration features, all backed by cloud-based accessibility.
  • Users can modify templates swiftly, ensuring they meet specific terms and conditions.
  • Multiple parties can easily sign and collaborate on agreements without needing physical copies.
  • Access your lease agreements from anywhere, ensuring that important documents are always at your fingertips.

What are practical tips for filling out the equipment lease agreement?

Accurate information is essential when filling out an equipment lease agreement. Ensure that all parties' information is correct, and that rental amounts and royalty payments are clearly specified to avoid future disputes.
  • Make sure to be precise with names and addresses to ensure that the contract is legally binding.
  • Outline all financial elements clearly to promote transparency between parties.
  • Ensure all attributes of the machine are included so there is no ambiguity regarding the leased asset.

What are some examples of equipment lease scenarios?

Understanding real-world scenarios can help prospective lessors and lessees in tailoring their agreements to meet industry demands. Different industries may have various leasing practices that could influence the terms of an equipment lease.
  • These real-world examples provide insight into practical applications of equipment leases.
  • Different sectors may require varied terms based on specific operational needs.
  • Market demands and regulations in different regions can significantly change leasing terms.

How to fill out the equipment lease of patented

  1. 1.
    Start by downloading the equipment lease of patented form from pdfFiller.
  2. 2.
    Open the document using the pdfFiller platform.
  3. 3.
    Fill in the names and contact details of both the lessor (owner) and lessee (user).
  4. 4.
    Specify the details of the patented equipment, including patent number and description.
  5. 5.
    Indicate the lease term, including start and end dates of the agreement.
  6. 6.
    Detail the payment terms, including the amount due and payment schedule.
  7. 7.
    Include provisions for maintenance, repairs, and insurance responsibilities.
  8. 8.
    Review the document for accuracy and completeness.
  9. 9.
    Add any additional clauses, such as termination rights or renewal options.
  10. 10.
    Sign the document and have it signed by the other party.
  11. 11.
    Save a copy for your records and distribute copies to the involved parties.
Regular content decoration
If you believe that this page should be taken down, please follow our DMCA take down process here .
This form may include fields for payment information. Data entered in these fields is not covered by PCI DSS compliance.