Form preview

Get the free License Agreement for Manufacture and Sale of Products in Foreign Country template

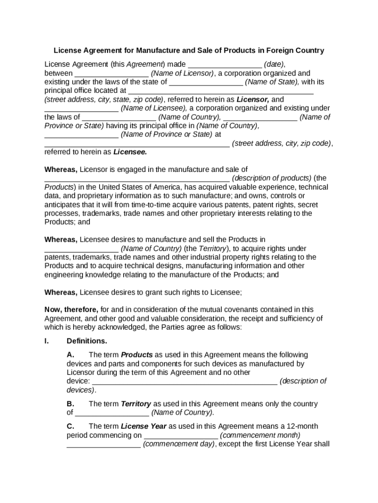
Get Form
A licensing agreement is a legal contract between two parties, known as the licensor & licensee.
We are not affiliated with any brand or entity on this form
Illustration
Fill out
Complete the form online in a simple drag-and-drop editor.
Illustration
eSign
Add your legally binding signature or send the form for signing.
Illustration
Share
Share the form via a link, letting anyone fill it out from any device.
Illustration
Export
Download, print, email, or move the form to your cloud storage.

Why choose pdfFiller for your legal forms?

GDPR
AICPA SOC 2
PCI
HIPAA
CCPA
FDA

All-in-one solution

pdfFiller offers a PDF editor, eSignatures, file sharing, collaboration tools, and secure storage—all in one place.

Easy to use

pdfFiller is simple, cloud-based, has a mobile app, and requires no downloads or a steep learning curve.

Secure and compliant

With encryption, user authentication, and certifications like HIPAA, SOC 2 Type II, and PCI DSS, pdfFiller keeps sensitive legal forms secure.
Form preview

What is license agreement for manufacture

A license agreement for manufacture is a legal document that permits one party to manufacture products under the brand or patent of another party.

pdfFiller scores top ratings on review platforms

Users Most Likely To Recommend - Summer 2025
Grid Leader in Small-Business - Summer 2025
High Performer - Summer 2025
Regional Leader - Summer 2025
I preffer if you can add a wedding contract forms to the pdfille
silvana
once I figured it out, it was pretty straight forward. I have lots more to learn to take advantage of all the features!
Howard K
I love the ease of using this program and the ability to convert files to PDF forms
Lymaris E
Sometimes its a little difficult to navigate around especially for making an application, but once its set it up it works well. Ive noticed 2nd pages are difficult for customers to see and fill out. Wish there was something that would prompt them to go to it.
Virgil
your software is simply to use. Makes my documents so much easier to send and receive back. Thank you!
Patty D
I used pdffiller everyday to do my paper work for the company I work for I have not had any problems with pdf filler so far.
Ray S
Show more Show less
Fill fillable license agreement for manufacture form: Try Risk Free
Rate free license agreement for manufacture form
4.8
satisfied
38 votes

Who needs license agreement for manufacture?

Explore how professionals across industries use pdfFiller.
Picture
License agreement for manufacture is needed by:
  • Manufacturers seeking to produce branded products.
  • Companies wanting to expand their product lines without investing in manufacturing.
  • Inventors licensing their creations to larger firms.
  • Businesses entering into joint ventures requiring shared production rights.
  • Entrepreneurs aiming to outsource manufacturing to third parties.

Comprehensive Guide to License Agreement for Manufacture

A license agreement for manufacture is a crucial document that enables manufacturers to legally produce and sell products using another party's intellectual property. This guide will walk you through the components of such agreements, when they are necessary, how to fill out the relevant form, and much more.
TL;DR: To fill out a license agreement for manufacture form, identify the agreement date, specify the licensor and licensee details, accurately describe the products, and clearly define the relationship between the parties involved.

What is a license agreement?

A license agreement for manufacture is defined as a legal contract between the licensor, who owns intellectual property rights, and the licensee, who receives permission to manufacture products under those rights. Forming this agreement is important as it protects both parties' interests and clarifies rights regarding product production.
  • Gives the licensee the sole right to manufacture the product in a defined market.
  • Allows multiple licensees to manufacture the same product, enhancing competition and market reach.

When should you use a license agreement for manufacture?

There are various situations that warrant the use of a license agreement for manufacture. For instance, if you plan to produce goods that involve patented designs or trademarks, an agreement ensures you are compliant with legal standards.
  • Ensure compliance with local laws governing manufacturing and product safety.
  • Evaluate the target market to determine the viability of manufacturing under a license.
  • Manufacturing without permission can lead to legal disputes and potential financial losses.

How to fill out the license agreement form?

Filling out a license agreement form requires careful attention to detail. Each field must be completed accurately to ensure clarity and legal validity.
  • Clearly state the date to validate when the agreement comes into effect.
  • Include the full legal names and corporate structures of both parties to avoid confusion.
  • Provide clear descriptions of the products included in the license to prevent ambiguity.
In defining the relationship between the Licensor and Licensee, it is crucial to articulate the obligations and rights, including financial arrangements such as royalties.

How to edit and e-sign the license agreement?

Using tools like pdfFiller can streamline both the editing and e-signing process. This online platform ensures compliance with e-signature laws, making the entire process efficient and easy.
  • Edit agreements in a collaborative environment, allowing multiple team members to contribute.
  • Ensure that all e-signatures meet legal standards, reducing the risk of disputes.

What are the compliance and legal considerations?

When drafting or entering into a license agreement for manufacture, local compliance plays a significant role in its legality. Each region has specific guidelines that must be followed to mitigate risks.
  • Be aware of the relevant laws in your region that could affect the enforceability of the agreement.
  • Understand the critical elements of any licensing process to avoid potential pitfalls.
  • Seek professional advice when complex intellectual property matters arise.

What related documentation and forms exist?

Understanding the various forms related to manufacturing license agreements aids in drafting tailored agreements. Sample agreements can provide clarity on standard practices.
  • Review templates to understand commonly accepted terms and conditions.
  • Learn about different types of license forms and their specific applications.

How to manage your license agreement post-signing?

After signing a license agreement for manufacture, it's crucial to manage the document effectively. Tools like pdfFiller can assist in storing and organizing documents.
  • Utilize digital storage solutions to keep agreements accessible and secure.
  • Maintain a record of changes and updates to ensure all parties are aligned.
  • Monitor vital timelines such as renewals and obligations to ensure continued compliance.

How to fill out the license agreement for manufacture

  1. 1.
    Access the license agreement for manufacture template on pdfFiller.
  2. 2.
    Review the pre-filled information for accuracy and relevance.
  3. 3.
    Begin by entering the names and addresses of the parties involved in the agreement.
  4. 4.
    Specify the products to be manufactured clearly, including any details about trademark or patent usage.
  5. 5.
    Outline the terms of the license, including duration, territory, and exclusivity.
  6. 6.
    Include any required fees or royalties the manufacturer must pay to the licensor.
  7. 7.
    Add clauses addressing confidentiality, dispute resolution, and termination conditions.
  8. 8.
    Thoroughly review the completed document for compliance and completeness.
  9. 9.
    Sign the agreement digitally if pdfFiller provides e-signature options; otherwise, print and sign it manually.
  10. 10.
    Save the finalized document securely and, if necessary, share it with relevant parties via pdfFiller's sharing options.
Regular content decoration
If you believe that this page should be taken down, please follow our DMCA take down process here .
This form may include fields for payment information. Data entered in these fields is not covered by PCI DSS compliance.