Form preview

Get the free Director's Proxy template

Get Form
Proxy refers to someone who is authorized to serve in one's place at a meeting, especially with the right to right to vote on behalf of another. It may be written authority given to someone to act
We are not affiliated with any brand or entity on this form
Illustration
Fill out
Complete the form online in a simple drag-and-drop editor.
Illustration
eSign
Add your legally binding signature or send the form for signing.
Illustration
Share
Share the form via a link, letting anyone fill it out from any device.
Illustration
Export
Download, print, email, or move the form to your cloud storage.

Why choose pdfFiller for your legal forms?

GDPR
AICPA SOC 2
PCI
HIPAA
CCPA
FDA

All-in-one solution

pdfFiller offers a PDF editor, eSignatures, file sharing, collaboration tools, and secure storage—all in one place.

Easy to use

pdfFiller is simple, cloud-based, has a mobile app, and requires no downloads or a steep learning curve.

Secure and compliant

With encryption, user authentication, and certifications like HIPAA, SOC 2 Type II, and PCI DSS, pdfFiller keeps sensitive legal forms secure.
Form preview

What is directors proxy

A director's proxy is a legal document that allows one director to appoint another director to act on their behalf during a meeting or vote.

pdfFiller scores top ratings on review platforms

Users Most Likely To Recommend - Summer 2025
Grid Leader in Small-Business - Summer 2025
High Performer - Summer 2025
Regional Leader - Summer 2025
It's doing filling up forms what other apps/web sites were not able to do.
Pedro R
SO EASY!!
Anonymous Customer
I'm still learning about it but its helping alot understand how things are stored and how I can open them faster and saved my documents I thought I lost it was here so yes I want to learn everything I can about it I'm new at this thanks so much
Iva T
easy to use
Audrey C
easy and amazing
reyo
mm m ,
Anonymous Customer
Show more Show less
Fill fillable directors proxy template form: Try Risk Free
Rate free directors proxy template form
4.3
satisfied
56 votes

Who needs directors proxy template?

Explore how professionals across industries use pdfFiller.
Picture
Directors proxy template is needed by:
  • Corporate board members
  • Directors unable to attend meetings
  • Investors involved in company governance
  • Legal representatives of companies

Comprehensive Guide to the Director's Proxy Form

What is proxy voting and why is it important?

Proxy voting allows a shareholder to delegate their voting rights to another person, enabling representation in corporate governance. This method is crucial, especially for those unable to attend meetings, ensuring their voice is heard in vital corporate decisions.
  • Proxy voting is governed by corporate laws that vary by jurisdiction, establishing the rights and processes involved in appointing proxies.
  • Proxy voting is frequently utilized in annual general meetings (AGMs), where shareholders decide on board members, compensation packages, and other significant matters.

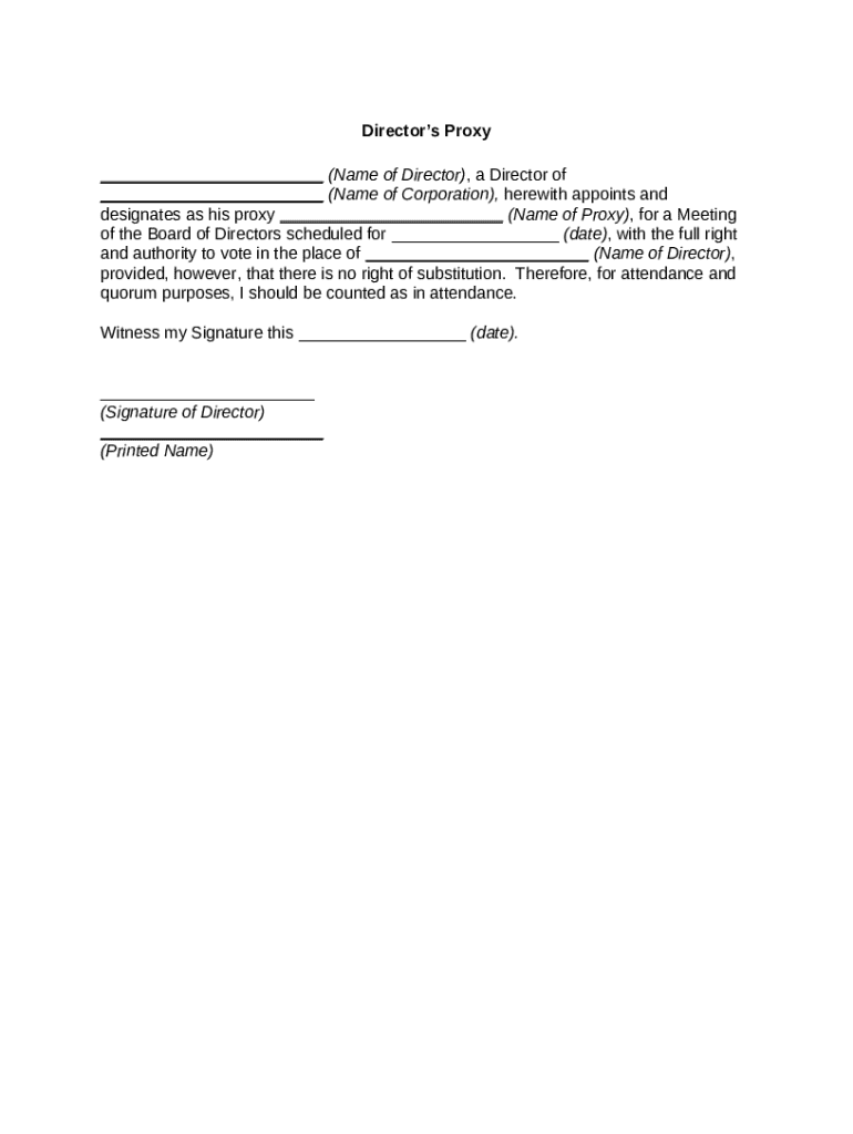
What are the key components of a director's proxy form?

A director's proxy form contains essential fields that capture necessary information to validate the proxy's authority. Understanding these components ensures compliance and reduces the risk of errors during the voting process.
  • Clearly indicates the director who is granting the proxy.
  • Identifies the corporation involved in the proxy voting process.
  • Specifies the individual designated to act on behalf of the director.
  • Provides context for when the proxy is valid.
  • Allows the appointed proxy to delegate their voting rights to another person if necessary.

How do fill out the director's proxy form?

Filling out the director's proxy form accurately is vital for effective corporate representation. pdfFiller offers an intuitive interface that simplifies this process.
  • Begin by accessing the form through pdfFiller and inputting the required fields, ensuring all data is accurate.
  • Utilize pdfFiller’s tools to edit, highlight, and sign the form digitally.
  • Check for compliance with corporate requirements before submitting the completed proxy form.

What are the rights and responsibilities of proxies?

Being appointed as a proxy comes with significant responsibilities and rights that influence the board meeting outcome.
  • Proxies have the right to vote as directed by the shareowner and to ask questions during meetings.
  • Proxies must act in the best interest of the shareholders they represent, ensuring transparency and integrity.
  • Failure to follow the voting directives can lead to legal ramifications and loss of shareholder trust.

How do manage and revoke proxies?

Managing multiple proxies can be complex, but a clear procedure exists for revocation and proper handling.
  • A shareholder can revoke a proxy by sending a written notice before the meeting.
  • It’s essential to track which proxies are active and ensure that updated directives are communicated effectively.
  • pdfFiller provides features to help manage and track proxies, making oversight easier.

How does technology support proxy voting?

Digital platforms like pdfFiller can significantly enhance the proxy voting process, streamlining submissions and management of documents.
  • Using a cloud platform facilitates easier access to documents and collaboration amongst stakeholders.
  • Cloud solutions offer heightened security protocols to protect sensitive voting documents and information.

How to fill out the directors proxy template

  1. 1.
    Open the PDF file of the director's proxy in pdfFiller.
  2. 2.
    Review the document to ensure it is the correct format for your needs.
  3. 3.
    Enter the name of the director granting the proxy in the designated field.
  4. 4.
    Fill in the name of the director who will receive the proxy rights.
  5. 5.
    Specify the meeting date or the duration the proxy is valid for in the appropriate section.
  6. 6.
    Indicate any specific instructions or limitations regarding the proxy's authority if needed.
  7. 7.
    Sign the document electronically or print it out to sign by hand.
  8. 8.
    If printed, make sure to scan it back into the system if electronic submission is required.
  9. 9.
    Finally, submit the completed proxy to the relevant parties, such as the company secretary or board members, as per company policies.
Regular content decoration
If you believe that this page should be taken down, please follow our DMCA take down process here .
This form may include fields for payment information. Data entered in these fields is not covered by PCI DSS compliance.