Form preview

Get the free Grubstake Agreement template

Get Form
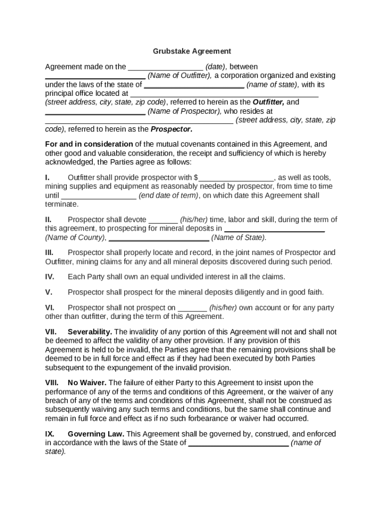
Grubstakes are supplies or funds furnished a mining prospector on promise of a share in his discoveries. It is also material assistance (such as a loan) provided for launching an enterprise or for
We are not affiliated with any brand or entity on this form
Illustration
Fill out
Complete the form online in a simple drag-and-drop editor.
Illustration
eSign
Add your legally binding signature or send the form for signing.
Illustration
Share
Share the form via a link, letting anyone fill it out from any device.
Illustration
Export
Download, print, email, or move the form to your cloud storage.

Why choose pdfFiller for your legal forms?

GDPR
AICPA SOC 2
PCI
HIPAA
CCPA
FDA

All-in-one solution

pdfFiller offers a PDF editor, eSignatures, file sharing, collaboration tools, and secure storage—all in one place.

Easy to use

pdfFiller is simple, cloud-based, has a mobile app, and requires no downloads or a steep learning curve.

Secure and compliant

With encryption, user authentication, and certifications like HIPAA, SOC 2 Type II, and PCI DSS, pdfFiller keeps sensitive legal forms secure.
Form preview

What is grubstake agreement

A grubstake agreement is a contract between an investor and an entrepreneur, where the investor provides funding for a specific project in exchange for a share of the profits.

pdfFiller scores top ratings on review platforms

Users Most Likely To Recommend - Summer 2025
Grid Leader in Small-Business - Summer 2025
High Performer - Summer 2025
Regional Leader - Summer 2025
works fine works fine!!
Ferdinand Van Dam
It's great instead of recreating a… It's great instead of recreating a document.
Kathleen Campbell
Rep had helped me with my refund.
Lyneth Canlas
GOOD GOOD SERVICE RENDERED
Debra Newlin
The representative from PDF Filler was…terrific!!! The representative from PDF Filler was great. I received a message in response to my question right away, and was granted my request. If the support team is any indication of what the company is like, I'm very impressed!
Rachel
easy to use gets task done
MURJANIE ALEXANDER
Show more Show less
Fill fillable grubstake agreement template form: Try Risk Free
Rate free grubstake agreement template form
4.1
satisfied
27 votes

Who needs grubstake agreement template?

Explore how professionals across industries use pdfFiller.
Picture
Grubstake agreement template is needed by:
  • Gold miners seeking funds for prospecting.
  • Entrepreneurs launching startups needing initial capital.
  • Investors looking to support high-risk ventures.
  • Small business owners refining their business model.
  • Individuals exploring joint ventures in resource extraction.

How to fill out the grubstake agreement template

  1. 1.
    Step 1: Start by accessing the grubstake agreement template on pdfFiller.
  2. 2.
    Step 2: Enter the names and contact information of both parties involved in the agreement in the designated fields.
  3. 3.
    Step 3: Clearly outline the terms of the financial contribution, including the exact amount being provided by the investor.
  4. 4.
    Step 4: Specify the nature of the project or business venture that the funds will support.
  5. 5.
    Step 5: Detail the profit-sharing structure, indicating how and when profits will be distributed between the parties.
  6. 6.
    Step 6: Add any additional clauses related to the duration of the agreement, exit strategies, or specific responsibilities.
  7. 7.
    Step 7: Review all entered information to ensure accuracy and completeness.
  8. 8.
    Step 8: Save the document, then either print or share it electronically with the involved parties for their signatures.
Regular content decoration
If you believe that this page should be taken down, please follow our DMCA take down process here .
This form may include fields for payment information. Data entered in these fields is not covered by PCI DSS compliance.